Anteprima
Vedrai una selezione di 5 pagine su 18
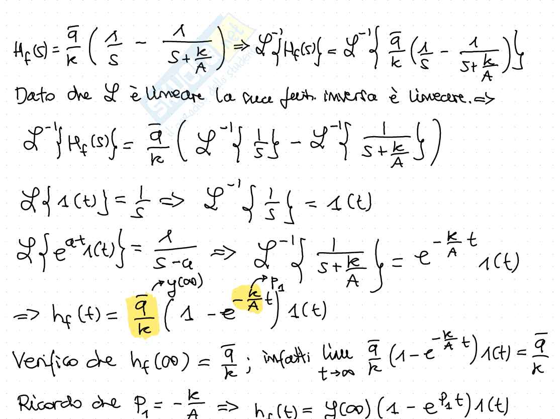
Antitrasformata di Laplace Pag. 1 Antitrasformata di Laplace Pag. 2
Anteprima di 5 pagg. su 18.
Scarica il documento per vederlo tutto.
Antitrasformata di Laplace Pag. 6
Anteprima di 5 pagg. su 18.
Scarica il documento per vederlo tutto.
Antitrasformata di Laplace Pag. 11
Anteprima di 5 pagg. su 18.
Scarica il documento per vederlo tutto.
Antitrasformata di Laplace Pag. 16
1 su 18
D/illustrazione/soddisfatti o rimborsati
Acquista con carta o PayPal
Scarica i documenti tutte le volte che vuoi
Dettagli
SSD
Ingegneria industriale e dell'informazione ING-INF/04 Automatica

I contenuti di questa pagina costituiscono rielaborazioni personali del Publisher pro0707 di informazioni apprese con la frequenza delle lezioni di Fondamenti di automatica e studio autonomo di eventuali libri di riferimento in preparazione dell'esame finale o della tesi. Non devono intendersi come materiale ufficiale dell'università Politecnico di Bari o del prof De Cicco Luca.
Appunti correlati Invia appunti e guadagna

Domande e risposte

Hai bisogno di aiuto?
Chiedi alla community