Estratto del documento

M

Flil

Fx me

b

lo

e b

s

la molx

c

Indra b

ONOTONIA Mlb 01

Mlb il paldx

M

fixidx

me I

Io t

b

f fai

e continui

controesempio non

e ti

10,1

E I ma t.si fla

FIX f

e 1,0

INTEGRALE

FUNZIONE R b

continuo

b s o

Sia o

p b

E o

sin

s R

FIX b

DEFINIAMO a

HH.lt

Fin di

dell'estremo integrazione di

detto

è b

Su

integrale

funzione p o

sentust to

in

IO CALCOLO

FOND INTEGRALE b

continuo

R

b su o

F

o

Sia f FM

consideriamo

0,5 Fftldt

E

sia Fit

aib 10,41

su

FAI

F e

derivabile su

11 e di

primitiva

6 b

su

una

Sia o

2 61

6111

FIN 01

DING 1

SII.it Sfholt

Flahl Flint

fly i

h

f MEDIA

b cu

c F

x

cn h

da

dipende

e IE t.I

It Fin

rlal FH

ii h

quando un

anche vo a

c

Fin la b

E

FAI 6 primitivo

DIMG sia K

Fin 6H

R t

N e 61

Ne

Mio

6H 01

FIN o

MA 1

61 61 01

FAI

OROLIARIO b

di

6 o

su

b primitiva

fa F

su

CONT

F fluido 611

6161 6H

FIN GH

DI S.FM

o

bbiano di

calcolo

il

tuo integrali

il

dimostrato l'e

che

legame

indefiniti

integrali

definiti e 611

6411 6161

Irido estremi

i cui

una funzione

Holt integrale

non e

61 1 ad

da

andare

devono punto

un 14

I 91

1

FAI 91 lati

GIA 11

F i

ftp.I.lt ripitth'ltl.fi hit

Flhltl Fl9

gltllg'ltl Hlgilh

DUE FUNZIONI

TRA

REA COMPRESA b

continue su o

Sia f 9 PIANO TRA

COMPRESA

DI f

DELLA REGIONE e g

AREA di

1 girl

fly eEEE

e

t.it b

S

it

st

f

IIIIIIII R b

b illimitato

b E

a per

E I a f

F Iloti

Kontinual Soffydx

definire

I Voglio

IL b mo

strivare o

a

so

non di b

prima

poco ftp

poppy su

b E

o

l'area sotto tende

E compreso coprire

a

o

se f

b

tra

l'area

tutto a e R b

l b illimitato

0,51 e

a f in

E

Def sia f I

filolx I Dicano SHE e

se di b

in

l'INTEGRALE si

e scrive

a

f

improprio

I

Sfindre dice

esiste finito che

I in

si integrabile

se senso

f e

1 ha fly

b

in e

generalizzato è CONVERGENTE

dire

I b

infinito integrabile

si e su

f

e a

non e

se

2 DIVERGENTE

che DX

fa e fa b

diciamo che su

esiste integrabile e

non

I f e

non

se

31 ESISTE

Jobffldx NON

the α 92

α

SEMPIO LIMITATA

O

ab se

R α 0

a

b 1

e S

In fa b

SU

CONT

F b

o

α b

illimitato

1 in 11

lb

Faso 1 LIFT

o

In b

ne o

f filtri

aI Inetta

gli b o IDIVEROE

a DIVERGEI

1

1 II 1 Indrid e.tk to

II

III

I S

a c KONVERCE

III se

o

dr convergente 0,1

α

se

continua b integrabile

Oss e

so o

su

se e

S

In

STESSO MODO

ALLO la A

valgono proprieta

gli spesso analoghe

impropri

integrali

SS per In particolare

definiti

degli

quelle integrali

a A

b E

β

α

e

o

su

integrabili in senso

9

f improprio

se F1H Y1y

P

FHtB9IY a

Far.in IIIIIIIIIIIII fl4dX

considerare ftp.o

farsa poi

si può piada e

SoFHdr dice

I

I integrale

Def improprio

si

se pity Ndr

1

I

si

to scrive

di e

su

f che

dice 00

I f INTEGRABILE 0

SU

e

si

Finito

e

Se I CONVERGENTE

che e

e dice che

I NON

si 00

SU

infinito e INTEGRABILE

e

se

1 I DIVERGENTE

che e

e dite che SU

INTEGRABILE

Si

I 7,100

Se NON e

ESISTE

NON f

I

che ESISTE

e NON

SEMPIO 11 a

se

1091

ER f dr

Fadr

Io ti senti

se a

loghi ta α

se 1

o IDIVINGEI

fadr.to

Li noci

se α I IONVENCII

È

NON

VOLTE FATTIBILE

DELLE

PARTE

MAGGIOR CALCOLARE

A E

UN IMPROPRIO

INTEGRALE MA

DI

VALORE IMPORTANTE

IL

SPLICITAMENTE MENO

O

CONVERGE

SE

TABILIRE b lo

svisede b

continua CE

cosa su o

fa e

se

illimitato in c b solo

se

integrabile

tal se

s a

Def e

in e

caso f Cib

su

c

integrabile 0

su e

SEPARATAMENTE

e

f

Nial caso find

find

indr Hii

simmetria

usare

si

non possono

Oss il dominio simmetrico

e

dispari e

da

f.it e

f

es dr 0

TUTTAVIA

dr I

f dx

dr lo

foto MA o

INFATTI NON INTE GRABILE NON

SU 1

I SU

INTEGRABILE 1

O t.ci

f.EC IR

E

7,5

Def b

sia lo e inb

illimitata

F in se

dice

si in senso fa b

in

integrabile

è

che se

improprio e

f

solo fissato

se 0,51

arbitrariamente f e

a integrabile in

in

sic IN

b Tal caso

a

e ftp.lldr fattura Spludr

le dice

Siaf faro si

E in sensoimproprio

ef è integrabile

che f

fissato R

se 1

E F S to

e INTEGRABILE 00 s

e

c

tal

in f.fi

naso Ii

dx dxtJ.fHdx

LE

NON

SS VALGONO SIMMETRIE studiare

si deve

un

studiamo

quando improprio

integrale

volta

alla

L'integrabiliti un passo

INTE

GRALE 3 POSSIBILI

STUDIO IMPROPRIO PASSI

integrale improprio

1 studio

1 convergenza

calcolo esplicito

3 ESISTENZA INTEGRALI IMPROPRI

R b

b

E b

0 IN

E

D ILLIMITATA

F

f

sia ftp.f 00

X

b

PER

30 DEFINITIVAMENTE

se f dx Finito

ESISTE

ftp.lx 00

o

DIRTI otxe

t.s.ph b b

5 E

DEF per è

O s

o

FIHdt F

FIX derivabile

CONSIDERIAMO su 10,4

e

teso Fiat 1H

F Pib 4

DERIVABILE Su

e

Sofifff BEN DEFINITA

F b E

I E

DEFINIAMO 015

If 9

continua su

E

E F b

0 7,0

SE E 30

PARTICOLARE

N be l Feed

è b

b e 1

F 1

b E F

se b a

CECE

E

PER

4 DEF 0

MONOTONA O

e PER

LIMITE 0

4 ADDETTE Sottholt

Sfinot

414

il di

dell'esistenza

problema generalizzato

Oss si

integrale

un pone

di volte

cambia vicino un

soltanto a a

se i segno

problematito

punto 1

Eosrdre

1

es posinx

sinx che

dimostrare

da

Stsin può

si

f converge

es volte problematico

p.to

51 cambia vicino

f a

a un

segno esistere

esistere come

L'integrale può non

improprio può

STUDIO

2 CONVERGENZA

del

criterio confronto pepe

er

eggs

e

si p b

Per

Dir

girl

Fly

se

ALLORA 1,7

1 CONVERGE

CONVERGE

se DIVERGE

Joby

f DIVERGE

se f

I R

R

C b

enuntisto E

vole E

2

se E

analogo F 0,61

un

Ss del

criterio asintotico

confronto b

R 112

e

4 0,51 E

0

E

Fig

SIANO b R

le AIIORA

DEF ftp

per E se

se f o

g figholt

10,10 SpFIHdx

l E

1 KI

CONVERGE converge

se

Il tra

L JIH

Jobghdx

1.0 de

se CONVERCE

se CONVENCE

1 Job

FAI

I 9H SONVERCE

se 00 CONVERCE

se YI

SEMPIO L 01 E

l'UNICO O

IN PROBLEMA

dy SONT

1 4

in 1

Isin CONVERGE

e

U tool 1

p f convince

sin

SEMPIO t.lt Si ott S

1 lt

Itsuida S alt

t.to S

cit

e io ti 1

L

il f 2

di f.tt IIdt i

sin cerce

converge

Earl

SEMPIO Be

BER FIN è 0

oso IN 1

cont

problems in o

Pt

e È

In 1 Foxconn

YPe

f da Conv

SEMPIO cont in tool

1 XP e

p 1 XP

32

se 2

è è

c

o

ft di conv

SEMPIO ce

1

1109

1 µ oso p

I

È

ir

1 X Dio

CHE

Koso

di

1 aiu

Hya il

ftp.lxumlosxelogfitk il

si

t.tn e a

l'Enea dxdiutoso

S.tt

t.tl

Fund Si y.dx

a

esente

SEMPIO e

lloyx

Sfogeld 110,13

V11 log

losy a y

e

II

5

S

Illogildr di comu

c

I i

follosxtdx conv

di 4,04

D

ii

succede p.to

Cosa volte

cambia vicino un

se f segno a

a

problematico

VITAINTEGRABILITÀ

R I O

LIMITATO

intervallo Illimitato

I E

Dep sia I

SU

INTEGRABILE e

se

ASSOLUTAMENTE integrabile su

e

F INTEGRABILITÀ

ASSOLUTA

CRITERIO I

I

INTEGRABILE INTEGRABILE

e

SU

ASS F S

e

se f b

di I a

perdere generoliti

DITI senza POSITIVA

PARTE FAI

ft 0

Definiamo se f

Immhmunitinhummni se fco

PARTE NEGATIVA

H

Definiamo F fly se Fco

mmhtmmhhmmmnyththun se Flx 70

ftp ft y

FINE 1 p

170 b

la

e Ftalt Al

1714

It so

F f

FINI FAI

E

O

NOITRE FINI

e FA Irlanda

Specidre

ftp.idxeffltlldrctoo 00

e e

Soft CONVERGONO

e li Ier

I

l

rs I

r r

e ERER

SFER

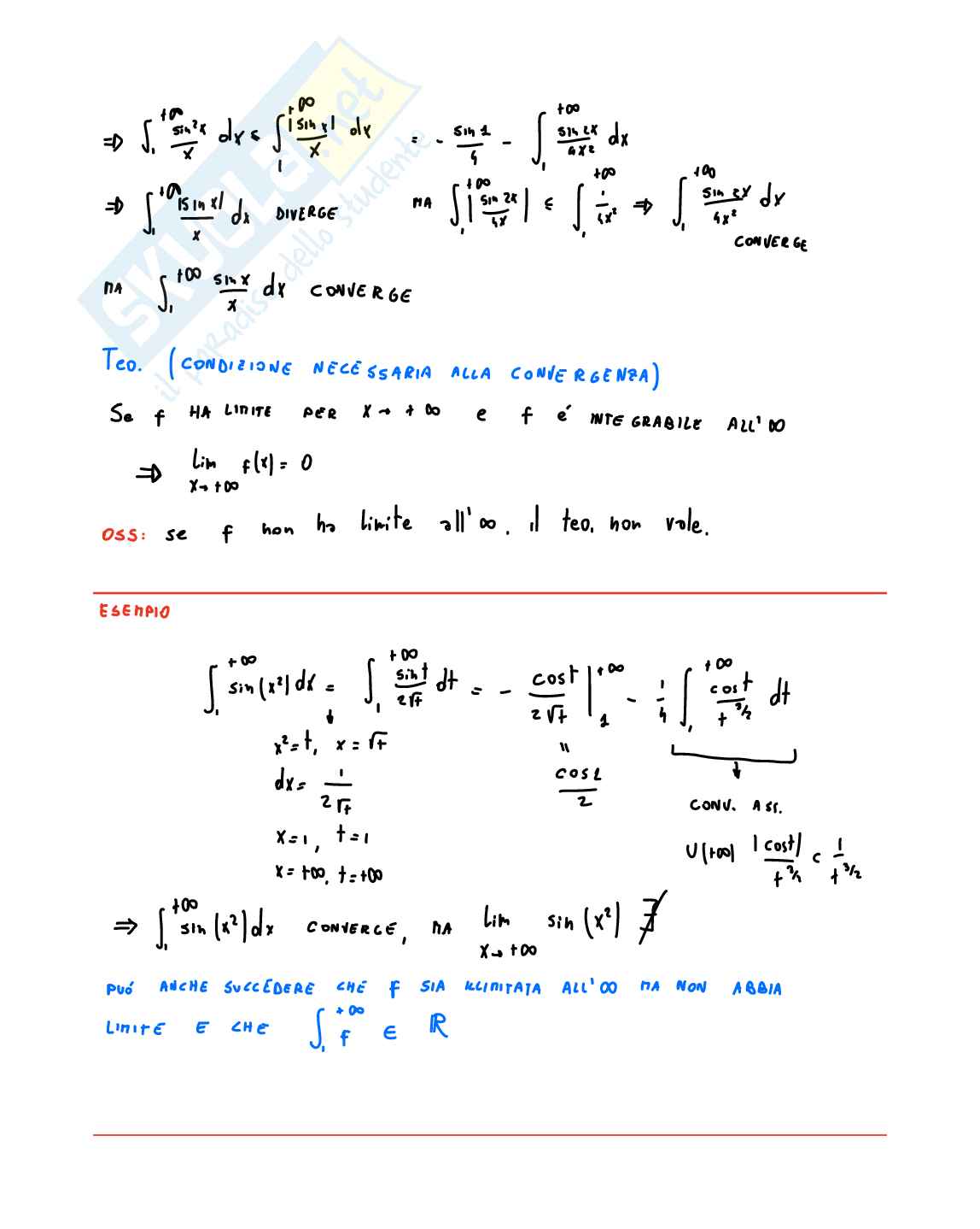
NON VALE IL VICEVERSA

SS 5 00

1

SU

INTEGRABILE

e

SII

Fly È ASS INTEGRABILE

MA NON ISINISI

TEI 1

da

INFATTI ma sin sinx

t.tl

a III S.IE da DIVEROE

DIVERGE III

di 1

Ettore

f de Ieri

1

I.IE

EHI DIVERCE CONVERGE

DX

SI

1

A CONVERGE

CO CONDIZIONE NECESSARIA ALLA CONVERGENZA

0

S

Anteprima
Vedrai una selezione di 8 pagine su 31
Teoria integrali Pag. 1 Teoria integrali Pag. 2
Anteprima di 8 pagg. su 31.
Scarica il documento per vederlo tutto.
Teoria integrali Pag. 6
Anteprima di 8 pagg. su 31.
Scarica il documento per vederlo tutto.
Teoria integrali Pag. 11
Anteprima di 8 pagg. su 31.
Scarica il documento per vederlo tutto.
Teoria integrali Pag. 16
Anteprima di 8 pagg. su 31.
Scarica il documento per vederlo tutto.
Teoria integrali Pag. 21
Anteprima di 8 pagg. su 31.
Scarica il documento per vederlo tutto.
Teoria integrali Pag. 26
Anteprima di 8 pagg. su 31.
Scarica il documento per vederlo tutto.
Teoria integrali Pag. 31
1 su 31
D/illustrazione/soddisfatti o rimborsati
Acquista con carta o PayPal
Scarica i documenti tutte le volte che vuoi
Dettagli
SSD
Scienze matematiche e informatiche MAT/05 Analisi matematica

I contenuti di questa pagina costituiscono rielaborazioni personali del Publisher fils24 di informazioni apprese con la frequenza delle lezioni di Analisi matematica 1 e geometria e studio autonomo di eventuali libri di riferimento in preparazione dell'esame finale o della tesi. Non devono intendersi come materiale ufficiale dell'università Politecnico di Milano o del prof Turri Luca.
Appunti correlati Invia appunti e guadagna

Domande e risposte

Hai bisogno di aiuto?
Chiedi alla community