Anteprima
Vedrai una selezione di 4 pagine su 12
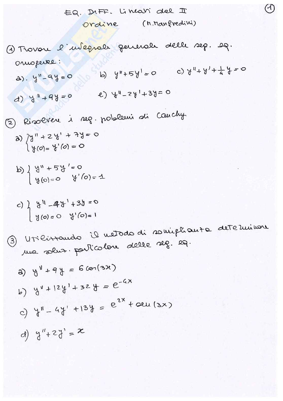
Equazioni differenziali a variabili separabili Pag. 1 Equazioni differenziali a variabili separabili Pag. 2
Anteprima di 4 pagg. su 12.
Scarica il documento per vederlo tutto.
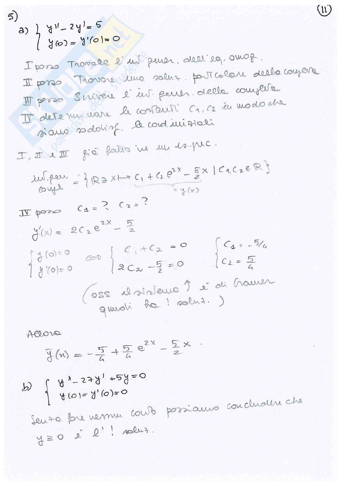
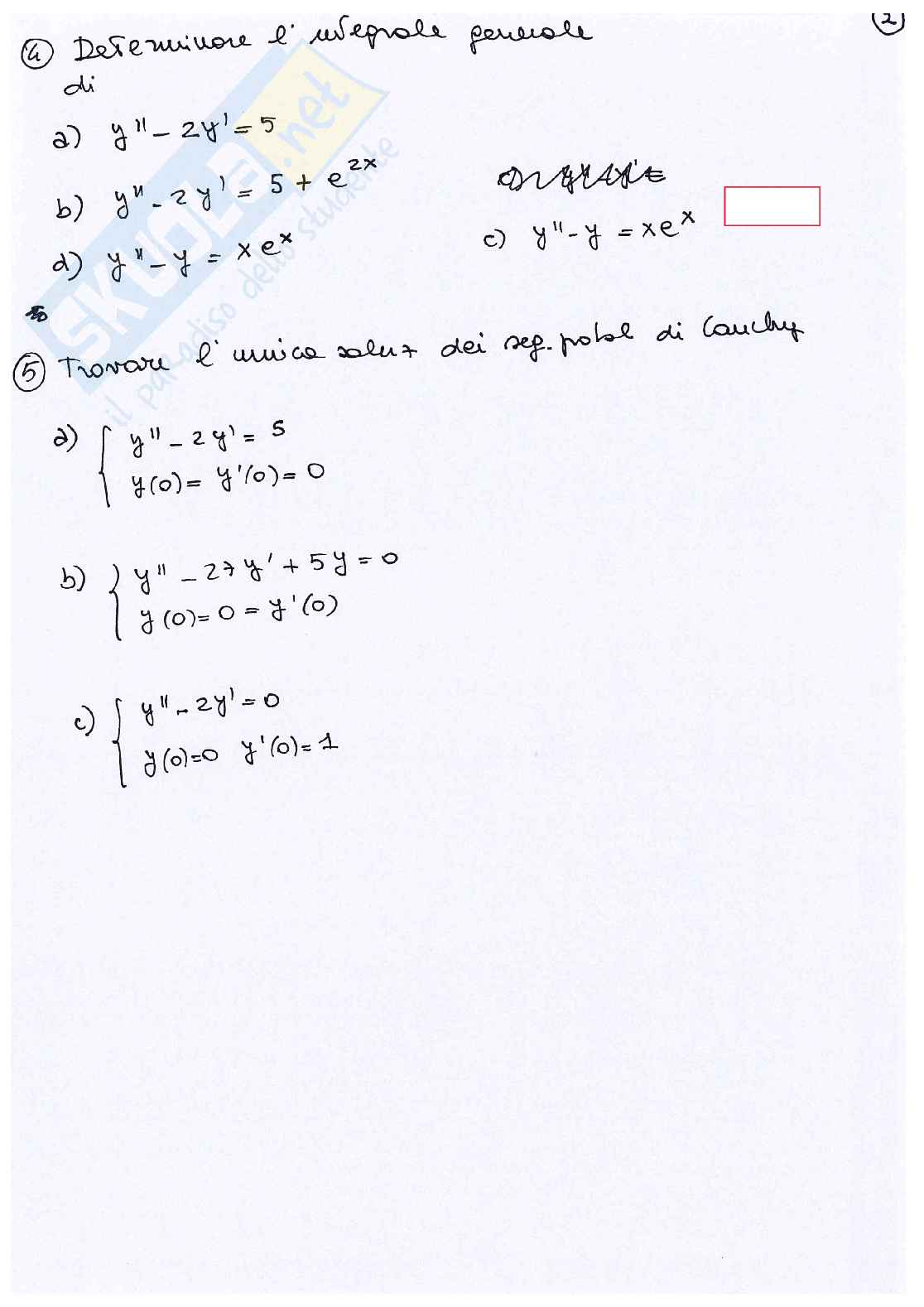
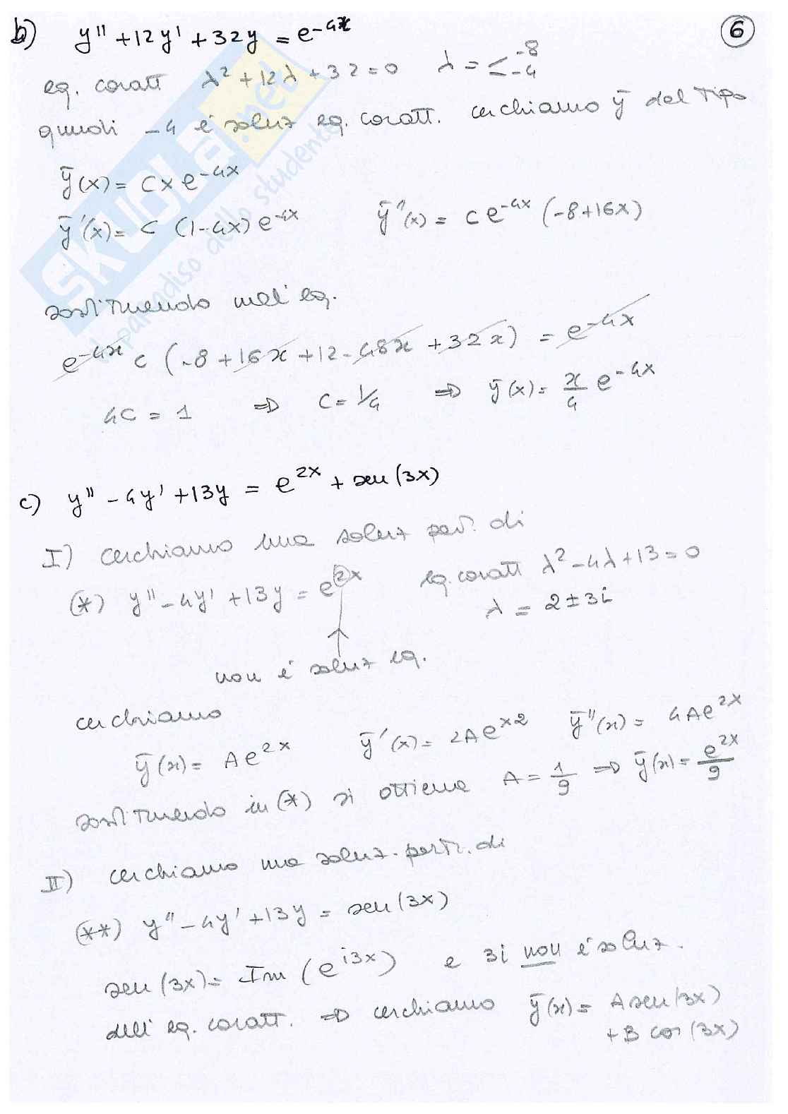
Equazioni differenziali a variabili separabili Pag. 6
Anteprima di 4 pagg. su 12.
Scarica il documento per vederlo tutto.
Equazioni differenziali a variabili separabili Pag. 11
1 su 12
D/illustrazione/soddisfatti o rimborsati
Acquista con carta o PayPal
Scarica i documenti tutte le volte che vuoi
Dettagli
SSD
Scienze matematiche e informatiche MAT/05 Analisi matematica

I contenuti di questa pagina costituiscono rielaborazioni personali del Publisher pinguu1 di informazioni apprese con la frequenza delle lezioni di Analisi matematica e studio autonomo di eventuali libri di riferimento in preparazione dell'esame finale o della tesi. Non devono intendersi come materiale ufficiale dell'università Università degli Studi di Modena e Reggio Emilia o del prof Manfredini Maria.
Appunti correlati Invia appunti e guadagna

Domande e risposte

Hai bisogno di aiuto?
Chiedi alla community