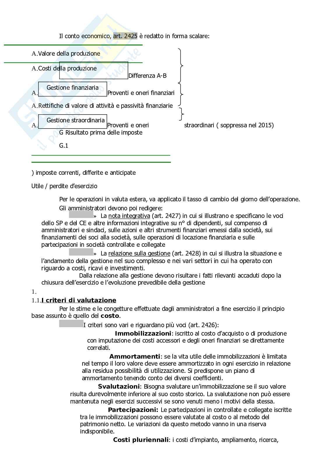
Estratto del documento

Capitolo 1. Imprenditore

NOZIONE

Art. 2082:È imprenditore chi esercita professionalmente una attività economica

organizzata al fine della produzione e dello scambio di beni o di servizi.

A = i.

» serie di atti finalizzati allo scopo della produzione di beni o di serviz

TTIVITÀ

Indipendentemente dalla natura dei beni e dei servizi svolti, prodotti o scambiati , nonché dal tipo di bisogno

che gli stessi sono destinati a soddisfare.

l’art 2082 non richiede requisiti particolari circa la natura dell’attività svolta, ben potendosi

considerare imprenditoriali anche attività di tipo assistenziale , ricreativo , culturale

Non costituisce attività di impresa il mero godimento di beni ,l’attività cioè che non da luogo alla

produzione di nuovi beni o servizi . Es il proprietario di immobili che ne gode i frutti concedendoli in

locazione .

Non vi è incompatibilità fra attività di godimento ed impresa in quanto la stessa attività può

costituire nel contempo godimento di beni preesistenti e produzione di nuovi beni o servizi: cosi è

attività di godimento è produttiva di nuovi beni quella del proprietario di un fondo agricolo che destini lo

stesso a coltivazione ; è godimento e produzione di servizi l’attività del proprietario di un immobile che

adibisca lo stesso ad albergo , pensione o residence e in tal caso le prestazioni lavorative sono

accompagnate dall’erogazione di servizi collaterali ( pulizia locali, cambio biancheria ecc) che eccedono

il mero godimento indiretto del bene

Le attività di investimenti , speculazione e finanziamento possono dar vita ad un’impresa

( commerciale ) se ricorrono i requisiti dell’organizzazione e della professionalità : cosi sono imprese

commerciali sia le società di investimento ( società che hanno per oggetto l’impiego del proprio

patrimonio nella compravendita di titoli secondo il criterio della diversificazione degli investimenti e del

frazionamento dei rischi in modo da offrire ai soci un dividendo tendenzialmente costante ) sia le

società finanziarie ( società che erogano credito con mezzi propri o comunque non raccolti fra il

pubblico e che per tale motivo non sono imprese bancarie ) sia le holding ( società che hanno per

oggetto esclusivo l’acquisto e la gestione di partecipazioni azionarie in altre società , con finalità di

direzione , coordinamento e finanziamento della loro attività cd. Gruppo di società.

» E

CONOMICITÀ

= - secondo una parte della dottrina dovrebbe intendersi quale mero sinonimo di “attività

produttiva" ( volta cioè alla produzione dello scambio di beni o servizi )

- secondo altra parte della dottrina l’attività imprenditoriale si identificherebbe con “ il metodo

Economico “ (si tratta di cioè di una gestione orientata a realizzare quantomeno la copertura

dei costi sostenuti con i ricavi dell’attività.

Collegato è il problema se la l’attività economica debba essere esercitata con scopo di lucro :

scopo di lucro inteso in senso soggettivo : l

secondo alcuni autori è necessario uno a gestione

dell’attività d’impresa deve essere finalizzata ad ottenere un lucro, un eccedenza dei ricavi sui costi

sostenuti e non una mera copertura dei secondi

Secondo altri autori lo scopo di lucro va inteso in senso oggettivo :cioè l’attività imprenditoriale

gestita con modalità tali da ottenere almeno potenzialmente un profitto

Altra parte della dottrina e giurisprudenza sostiene che l’art 2082 non faccia menzione di uno

scopo lucrativo considerando del tutto irrilevante lo stess, ritenendo viceversa sufficiente che

l’imprenditore agisca con metodo economico ( copertura dei costi con i ricavi ) . Infatti il nostro

ordinamento prevede l’esistenza di imprese quali le società cooperative e le imprese pubbliche che sono

ex lege sprovviste dello scopo di lucro abituale non occasionale

» P = esercizio e dell’attività d’impresa.( non è

ROFESSIONALITÀ

impreditore chi compie un’isolata operazione di acquisto e successiva rivendita di merci; non è

imprenditore chi organizza un singolo servizio di trasporto o un singolo spettacolo sportivo )

la professionalità non implica che l’attività debba essere necessariamente svolta immondo

continuato e senza interruzioni basta il costante ripetersi degli atti d’impresa (es. attività stagionali )

La professionalità non implica che l’ attività sia l’unica o la principale dell’imprenditore (es.

professore che gestisce negozio è imprenditore)

Si può essere imprenditori anche per un unico affare (es. costruzione di un edificio) quando

l’affare implichi il compimento di operazioni molteplici complesse e l’utilizzo di un apparato produttivo

idoneo ad escludere il carattere occasionale e non ordinato dei singoli atti economici

al mercato

Inoltre la legge non prevede che l’attività d’impresa debba destinarsi ma possa

anche riguardare un attività fatta per destinazione personale (cd impresa per conto proprio).

» O = che implica l’impiego di un apparato strumentale e quindi il coordinamento

RGANIZZAZIONE

di fattori della produzione , quali lavoro proprio o altrui e capitale fisso e circolante. ( cd etero-organizzazione

). - superfluita del lavoro altrui: è imprenditore anche chi opera utilizzando solo il fattore

capitale ed il proprio lavoro senza dar vita d alcuna organizzazione intermediatrice del lavoro. Si pensi

ad una gioielleria gestita dal solo titolare o alle imprese produttrici di Servizi automatizzati ( lavanderie

automatiche a gettoni , sale di videogiochi ) che possono operare senza alcun dipendente.

- Organizzazione del fattore capitale: non è necessario che l’attività organizzativa

dell’imprenditore si concretizzi nella creazione di un apparato strumentale fisicamente percepibile

( locali , macchinari mobili ) come tipicamente accade per l’attività di finanziamento o investimento.

Collegato è la distinzione tra imprenditore e lavoratore autonomo : si può parlare di

impresa anche quando il processo produttivo si fonda esclusivamente sul lavoro personale del soggetto

agente ? Tale problema assume rilevanza rispetto ai prestatori autonomi d’opera manuale

( elettricisti ,idraulici , lustrascarpe. ) o di servizi fortemente personalizzati ( mediatori , agenti di

commerci ).

- secondo il libro : il lavoratore autonomo si limita ad auto-organizzare il proprio lavoro ,

senza far ricorso all’utilizzazione di alcun fattore produttivo .

- contestata da una parte della dottrina che fa leva sulla nozione di piccolo imprenditore :

questa considera imprenditore anche chi svolge attività organizzata prevalentemente con il lavoro

proprio e dei componenti della famiglia ( art 2083) e quindi il requisito dell’organizzazione sarebbe uno

pseudo requisito . Tesi non condivisibile poiché una cosa è l’organizzazione del proprio lavoro, altro è

organizzare un’attività d’impresa .

L’IMPRESA PER CONTO PROPRIO

L’impresa dovrebbe essere definita per conto proprio quando l’attività produttiva svolta non

sia destinata al mercato , ma allo stesso imprenditori ( è il caso di chi costruisce un edificio non allo

scopo di rivenderlo , ma allo scopo di farne un uso personale )

È controversa la possibilità di ricondurre una siffatta ipotesi nel paradigma normativo dell’art

2082 . parte della dottrina ha osservato che tale norma non richiede la destinazione al mercato

dell’attività produttiva per cui non può escludersi che quando ricorrono i requisiti dell’articolo 2082 sia

imprenditore anche chi produce beni o servizi destinandoli ad un consumo personale

Di contrario avviso la dottrina maggioritaria , secondo cui l’impresa per conto proprio non è

impresa in quanto difetterebbero alcuni requisiti della norma : secondo alcuni mancherebbe il requisito

della professionalita e secondo altri il requisito dell’economicità dell’attività svolta.

L’IMPRESA ILLECITA

L’impresa è illecita quando svolge un’attività contraria a norme imperative, all’ordine

pubblico o al buon costume(si pensi alla produzione e allo scambio di sostanze stupefacenti,oppure al

traffico diarmi).

La dottrina si è interrogata sulla possibilità di applicare all’impresa illecita lo statuto

dell’imprenditore

alcuni autori tendono a negare l’applicazione dell’art 2082 all’impresa illecita , tale impostazione

dottrinale muove dall’esigenza di giustizia sostanziale: quella cioè di evitare che l’attribuzione della

qualifica di imprenditore a tali tipi di imprese possa condurre all’applicazione. delle norme sulla

concorrenza sleale che tutelano gli imprenditori nei confronti dei terzi. L’illiceità determinerebbe quindi

l’inesistenza dell’impresa

Altra parte della dottrina ritine che l’illiceità dell’attività svolta non inficierebbe la qualificazione

in termini di imprenditori. Poiché da un lato , consentirebbe l’applicazione della disciplina prevista per la

responsabilità patrimoniale dell’imprenditore commerciale e l’assoggettamento alle procedure

concorsuali , dall’altro non potrebbe invocare norme di tutela a proprio favore in virtù del principio

secondo cui nessuna protezione giuridica può essere accordata a chi opera illecitamente. (. campobasso )

Altra parte della dottrina distingue le attività contraddistinte da illiceità in senso forte o imprese

immorali(ad es attività vietate dal codice penale ad es contrabbando ) quelle dotate d’un illecita in

senso debole ( esercizio di alcune attività senza la necessaria autorizzazione preventiva quali l’esercizio

di giochi o scommesse ) considerando imprenditoriali solo le prime

Capitolo 2. Le categorie di imprenditori

Il nostro sistema giuridico prevede due grandi ambiti:

PREMESSA.

1. Statuto generale dell’imprenditore

Si applica a tutti gli imprenditori e riguarda azienda, segni distintivi,

concorrenza, consorzi tra imprese, tutela concorrenza.

1. Statuto speciale dell’imprenditore commerciale

Si applica solo agli imprenditori commerciali (da art. 2195) e riguarda l’iscrizione

nel registro delle imprese con effetti di pubblicità legale, tenuta scritture contabili,

rappresentanza commerciale e fallimento.

A.

IN BASE ALL’OGGETTO:

I

MPRENDITORE AGRICOLO

Art. 2135:É imprenditore agricolo chi esercita una delle seguenti attività: coltivazione

del fondo, selvicoltura, allevamento di animali e attività connesse.Possiamo quindi distinguere

tra: Attività essenziali

»

= coltivazione del fondo, selvicoltura e allevamento di animali

La riforma del 2001 (2135 c. 2) ha specificato la natura delle attività essenziali, visto lo

sviluppo dell’agricoltura industrializzata con la creazione di prodotti che prescindono dallo

sfruttamento della terra che poteva portare a difficoltà nell’applicazione dell’esatta disciplina: Per

coltivazione del fondo, per selvicoltura e per allevamento di animali si intendono le attività dirette

alla cura e allo sviluppo di un o di una fase necessaria del ciclo stesso di carattere

ciclo biologico

vegetale o animale che utilizzano o possano utilizzare il fondo, il bosco o le acque dolci, salmastre o

marine. = Sono quindi attività agricole essenziali le coltivazioni “fuori terra”, le coltivazioni in

serra, l’orticoltura, la floricoltura, gli allevamenti in batteria, l’allevamento di animali da cortile

(animali invece di bestiame nella norma), l’acquacoltura e l’attività ittica.

Attività connesse

» (art. 2135 c.3)

= attività commerciali esercitate in connessione alle attività agricole essenziali. Cioè

- dirette alla manipolazione, conservazione , trasformazione , commercializzazione e

valorizzazione di prodotti ottenuti prevalentemente da un’attività agricola principale

- dirette alla fornitura di beni o servizi mediante l'utilizzazione prevalente di attrezzature

o risorse dell'azienda normalmente impiegate nell'attività agricola esercitata, ivi comprese le attività

di valorizzazione del territorio e del patrimonio rurale e forestale, ovvero di ricezione ed ospitalità

come definite dalla legge. Requisito soggettivo: stesso soggetto che svolge l’att.

agricola e ke l’att. connessa sia coerente

Cosi è certamente imprenditore commerciale chi trasforma o commercializza

prodotti altrui. Ed è parimenti imprenditore commerciale il viticultore che produce formaggi.

Resta invece imprenditore agricolo Il viticoltore che produce vino. Deroga per le cooperative

di agricoltori e consorzi per chi produce (i soci) e chi evidentemente svolge l’attività connessa

(la società).

Requisito oggettivo:prodotti ottenuti prevalentemente dall’esercizio dell’attività agricola

essenziale. (attività connessa non deve prevalere su qll agricola essenziale)

L’imprenditore agricolo gode dello statuto generale + l’obbligo d’iscrizione nel registro

delle imprese (con effetti di pubblicità dichiarativa ).

l'imprenditore agricolo può fallire, ma solo se supera i limiti dell'attività agricola pura

(coltivazione, allevamento, silvicoltura) e svolge in via prevalente attività commerciali, perdendo

così l'esenzione dalla fallibilità, secondo la giurisprudenza della Cassazione che valuta l'attività

concreta e non solo la denominazione sociale. Se l'attività agricola rimane prevalente,

l'imprenditore è esonerato dal fallimento, ma può ricorrere ad altre procedure di composizione

della crisi da sovraindebitamento, come l'accordo di ristrutturazione.

generale + lo statuto speciale dell’impr.

commerciale

I

MPRENDITORE COMMERCIALE che esercitano:

Art. 2195: Sono imprenditori commerciali coloro

A. attività industriale diretta alla produzione di beni e servizi

A.1)

un’attività intermediaria nella circolazione dei beni

A.2)

un’attività di trasporto per terra, per acqua o per aria

A.3)

un’attività bancaria o assicurativa

A.4)

altre attività ausiliarie delle precedenti.

A.5) A.6)

Impresa civile : la circostanza che l’art. 2195 individui analiticamente quali attività devono

A.7)

ritenersi commerciali ha indotto parte minoritaria della dottrina ad ammettere la configurabilità di

attività che , pur essendo qualificabili come d’impresa ai sensi dell’art 2082 non risultino comprese in

quelle due Definizioni legislative. Ciò darebbe luogo ad un terbium genus d’impresa .

- secondo un primo orientamento, minoritario, ilConcetto di attività industriale dovrebbe essere

A.8)

inteso secondo quella che è l’eccezione corrente ed economica del termine. Di conseguenza

sarebbe tale soltanto l’attività che mediante l’utilizzo di materie prime , realizza un nuovo bene ,

attraverso la trasformazione delle stesse. Non sarebbe ricompreso pertanto nella categoria in esame

le imprese civili quali aventi ad oggetto l'estrazione mineraria o le imprese di caccia o di pesca .,

imprese di trasporto , imprese di assicurazioni La conseguenza sarebbe quella della sottrazione allo

statuto dell’imprenditore commerciale e di conseguenza alla sottoesposizione delle procedure

concorsuali e all’obbligo di iscrizione nel registro delle imprese

A.9)- secondo il prevalente orientamento dottrinale , in ragione delle gravita delle conseguenze ,

tutte le attività esercitate in forma d’impresa ove non siano agricole sono necessariamente

commerciali ex art 2195cc.

1 A. IN BASE ALLE DIMENSIONI

P

ICCOLO IMPRENDITORE e IMPRENDITORE

MEDIO GRANDE .

Premessa il codice civile definisce e delimita la nozione di piccolo imprenditore all’art.2083 ;in via

residuale va individuata l’impresa medio grande( è tale l’impresa commerciale non piccola ). Il fine di tale

distinzione è quello di evitare l’applicazione di talune norme al piccolo imprenditore ( anche commerciale ):

non è obbligato alla tenuta delle scritture contabili

Non è assoggettato in caso di insolvenza alle procedure concorsuali

È tenuto all’iscrizione nel registro delle imprese ma solo con funzione di pubblicità notizia

ART 2083 Sono piccoli imprenditori i coltivatori diretti del fondo, gli artigiani, i piccoli

commercianti e coloro che esercitano un’attività organizzata prevalentemente con il lavoro proprio e dei

componenti della famiglia.

Quindi si tratta di una categoria aperta atta a ricomprende non solo le tre figure previste ma anche

tutte quelle situazioni che sono caratterizate dalla prevalenza di attività lavorative proprie o dei propri

familiari nel senso che Il proprio lavoro:- deve prevalere sugli altri fattori (capitale)

qualitativo-funzionale

- deve essere cioè deve

caratterizzare i beni (es. sarto) e non - inteso in senso quantitativo e numerico .

Lgg. fallimentare art 1 com 2. Anche la legge fallimentare fissava una definizione di piccolo

imprenditore , definizione che ha costituito un rompicapo per gli interpreti.

la versione originaria stabiliva la definizione di piccolo imprenditore basata sul mancato

superamento di determiante soglie quantitative ( avere un reddito inferiore minimo imponibile ai fini

dell’imposta sulla ricchezza mobile e , in mancanza di accertamento di tale imposta, aver investito

nell'azienda un capitale superiore a l.900.00) inoltre non erano mai piccoli imprenditori le società

commerciali

N

Anteprima
Vedrai una selezione di 20 pagine su 142
Riassunto esame Diritto amministrativo, Prof. Pennisi Roberto, libro consigliato Manuale di diritto commerciale, Campobasso Pag. 1 Riassunto esame Diritto amministrativo, Prof. Pennisi Roberto, libro consigliato Manuale di diritto commerciale, Campobasso Pag. 2
Anteprima di 20 pagg. su 142.
Scarica il documento per vederlo tutto.
Riassunto esame Diritto amministrativo, Prof. Pennisi Roberto, libro consigliato Manuale di diritto commerciale, Campobasso Pag. 6
Anteprima di 20 pagg. su 142.
Scarica il documento per vederlo tutto.
Riassunto esame Diritto amministrativo, Prof. Pennisi Roberto, libro consigliato Manuale di diritto commerciale, Campobasso Pag. 11
Anteprima di 20 pagg. su 142.
Scarica il documento per vederlo tutto.
Riassunto esame Diritto amministrativo, Prof. Pennisi Roberto, libro consigliato Manuale di diritto commerciale, Campobasso Pag. 16
Anteprima di 20 pagg. su 142.
Scarica il documento per vederlo tutto.
Riassunto esame Diritto amministrativo, Prof. Pennisi Roberto, libro consigliato Manuale di diritto commerciale, Campobasso Pag. 21
Anteprima di 20 pagg. su 142.
Scarica il documento per vederlo tutto.
Riassunto esame Diritto amministrativo, Prof. Pennisi Roberto, libro consigliato Manuale di diritto commerciale, Campobasso Pag. 26
Anteprima di 20 pagg. su 142.
Scarica il documento per vederlo tutto.
Riassunto esame Diritto amministrativo, Prof. Pennisi Roberto, libro consigliato Manuale di diritto commerciale, Campobasso Pag. 31
Anteprima di 20 pagg. su 142.
Scarica il documento per vederlo tutto.
Riassunto esame Diritto amministrativo, Prof. Pennisi Roberto, libro consigliato Manuale di diritto commerciale, Campobasso Pag. 36
Anteprima di 20 pagg. su 142.
Scarica il documento per vederlo tutto.
Riassunto esame Diritto amministrativo, Prof. Pennisi Roberto, libro consigliato Manuale di diritto commerciale, Campobasso Pag. 41
Anteprima di 20 pagg. su 142.
Scarica il documento per vederlo tutto.
Riassunto esame Diritto amministrativo, Prof. Pennisi Roberto, libro consigliato Manuale di diritto commerciale, Campobasso Pag. 46
Anteprima di 20 pagg. su 142.
Scarica il documento per vederlo tutto.
Riassunto esame Diritto amministrativo, Prof. Pennisi Roberto, libro consigliato Manuale di diritto commerciale, Campobasso Pag. 51
Anteprima di 20 pagg. su 142.
Scarica il documento per vederlo tutto.
Riassunto esame Diritto amministrativo, Prof. Pennisi Roberto, libro consigliato Manuale di diritto commerciale, Campobasso Pag. 56
Anteprima di 20 pagg. su 142.
Scarica il documento per vederlo tutto.
Riassunto esame Diritto amministrativo, Prof. Pennisi Roberto, libro consigliato Manuale di diritto commerciale, Campobasso Pag. 61
Anteprima di 20 pagg. su 142.
Scarica il documento per vederlo tutto.
Riassunto esame Diritto amministrativo, Prof. Pennisi Roberto, libro consigliato Manuale di diritto commerciale, Campobasso Pag. 66
Anteprima di 20 pagg. su 142.
Scarica il documento per vederlo tutto.
Riassunto esame Diritto amministrativo, Prof. Pennisi Roberto, libro consigliato Manuale di diritto commerciale, Campobasso Pag. 71
Anteprima di 20 pagg. su 142.
Scarica il documento per vederlo tutto.
Riassunto esame Diritto amministrativo, Prof. Pennisi Roberto, libro consigliato Manuale di diritto commerciale, Campobasso Pag. 76
Anteprima di 20 pagg. su 142.
Scarica il documento per vederlo tutto.
Riassunto esame Diritto amministrativo, Prof. Pennisi Roberto, libro consigliato Manuale di diritto commerciale, Campobasso Pag. 81
Anteprima di 20 pagg. su 142.
Scarica il documento per vederlo tutto.
Riassunto esame Diritto amministrativo, Prof. Pennisi Roberto, libro consigliato Manuale di diritto commerciale, Campobasso Pag. 86
Anteprima di 20 pagg. su 142.
Scarica il documento per vederlo tutto.
Riassunto esame Diritto amministrativo, Prof. Pennisi Roberto, libro consigliato Manuale di diritto commerciale, Campobasso Pag. 91
1 su 142
D/illustrazione/soddisfatti o rimborsati
Acquista con carta o PayPal
Scarica i documenti tutte le volte che vuoi
Dettagli
SSD
Scienze giuridiche IUS/04 Diritto commerciale

I contenuti di questa pagina costituiscono rielaborazioni personali del Publisher dannidi di informazioni apprese con la frequenza delle lezioni di Diritto amministrativo e studio autonomo di eventuali libri di riferimento in preparazione dell'esame finale o della tesi. Non devono intendersi come materiale ufficiale dell'università Università degli Studi di Catania o del prof Pennisi Roberto.
Appunti correlati Invia appunti e guadagna

Domande e risposte

Hai bisogno di aiuto?
Chiedi alla community