Estratto del documento

Notazione

N = {1, 2, 3...} Numeri Naturali

N0 = N ∪ {0}

0 = |∅| Insieme Vuoto

Z = {...-2, -1, 0, 1, 2...}

Q = P/q

P.9 ∈ Z

9≠0

P/q = P'/q' ⇔ Pq' = P'q

Esempio

3/2 = 6/4

(3,2) Parentesi Tonde = Sistemi Ordinati

{3,2} Parentesi Graffe = Insieme Non Ordinati

(3,2) + (2,3)

Inclusioni

N C No C Z Q + + + + + SOMMA ⊙ ⊙ ⊙ ⊙ (Ce l'ero c'è o non c'è) - - ---- Differenza x x x Moltiplicazione

NOTAZIONE

N = {1, 2, 3 ...} Numeri Naturali

N₀ = N ∪ {0}

0 = |∅| Insieme Vuoto

Z = {... -2, -1, 0, 1, 2 ...}

Q = p/q

p, q ∈ Z q ≠ 0

- Classe di Equivalenza

p/q = p'/q' ⇔ pq' = p'q

ESEMPIO

3/2 = 6/4

(3,2) Parentesi Tonde = SISTEMI ORDINATI

{3,2} Parentesi Graffe = INSIEME NON ORDINATI

(3,2) + (2,3)

INCLUSIONI

N C N₀ C Z C Q

  • +
  • +
  • +
  • +
  • SOMMA
  • (se sono c'è o non c'è)
  • ×
  • DIFFERENZA
  • ×
  • ×
  • ×
  • ×
  • MOLTIPLICAZIONE

1 1 1 1 (le memorie di)

Divisione

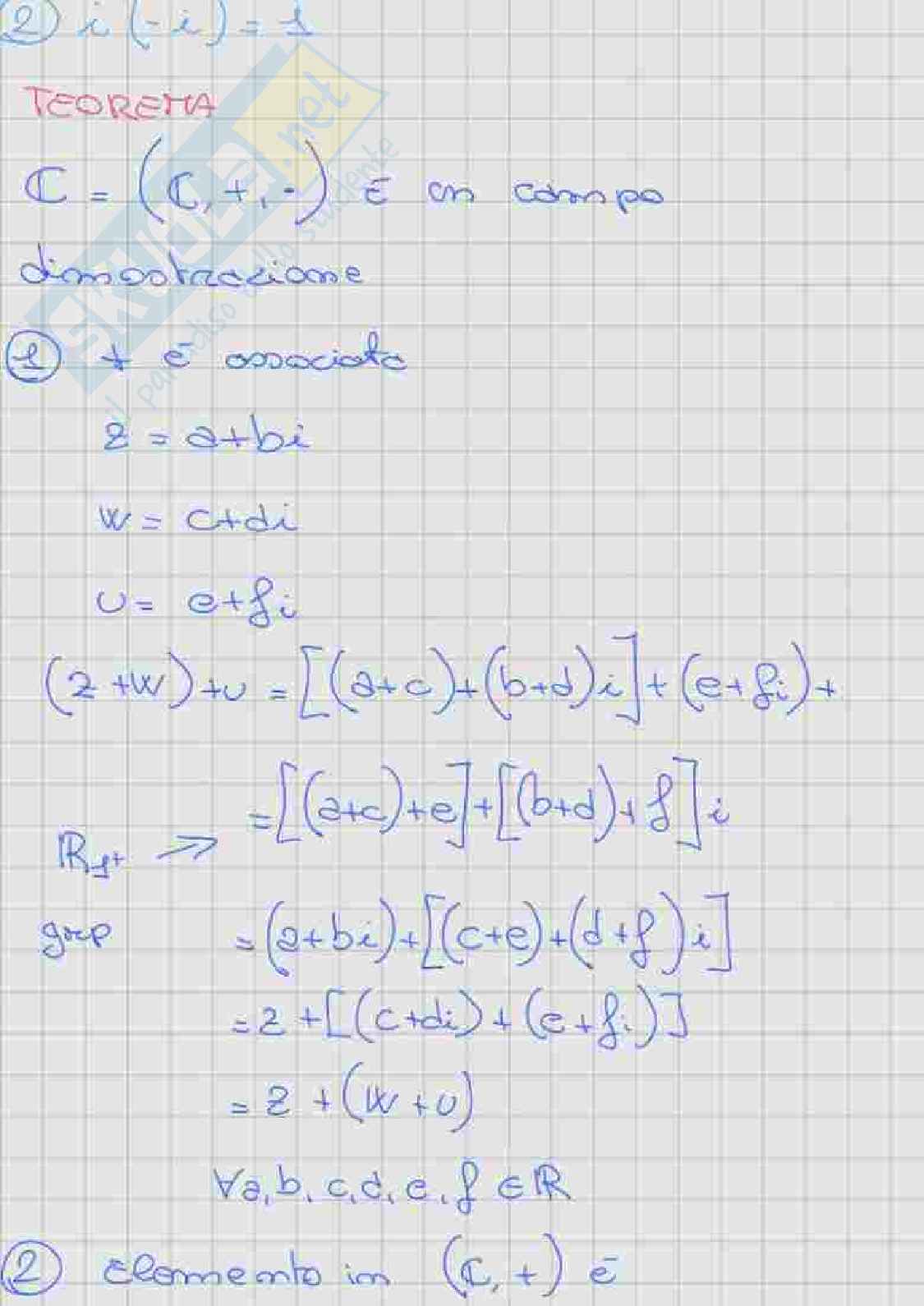
Anello Campo

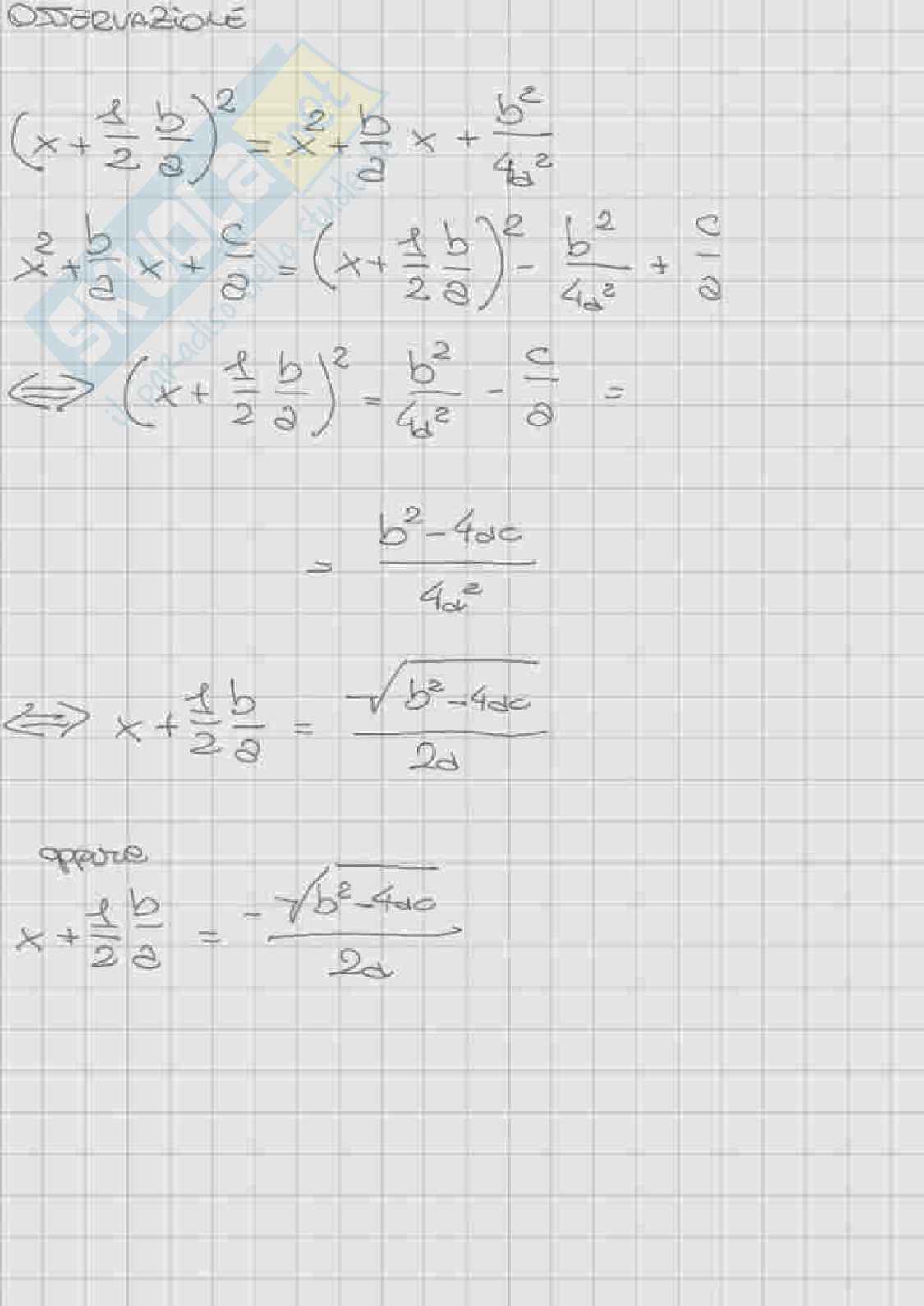
Proprietà della somma

(1)

(a+b)+c = a+(b+c) Proprietà associativa

(2)

a+0 = 0+a = a Esistenza dell’elemento neutro

(3)

a+(-a) = 0 = (-a)+a Esistenza dell’opposto

(4)

a+b = b+a Proprietà commutativa

NB (linguaggio tecnico specifico)

Quantificatori:

Sono 2: “∀” per ogni, tutti “dato comunque”

“∃” esiste

Ogni formula necessita di un quantificatore

Esempio

2 N := { numeri Pari }

= “spiegare Devono”

2N := {2n} Linguaggio specifico matematico tecnico

—> SBAGLIATO (non c'è il quantificatore)

2N := {2n | ∀m ∈ ∪}

—> significa "tale che"

—> CORRETTA

DEFINIZIONE

Sia X un insieme un'operazione su X è una funzione che ha come dominio

X × X := {(x, y) | ∀ x, y ∈ X}

—> coppia ordinata

—> si legge X prodotto cartesiano X con codominio X

Un'operazione ⊛ su X è quindi una funzione che ha un certo dominio e un certo codominio

⊛ : X × X -> X

Dominio -> Codominio

(x, y) -> x ⊛ y

—> "freccia" "mappa in" "la in"

ESEMPIO

+ : N × N -> N

x : 2 × 2 -> 2

non ESEMPIO =

-: ℕ × ℕ → ℕ

÷: ℤ × ℤ → ℤ

{ queste due espressioni non sono applicazioni }

DEFINIZIONE

Un gruppo è una coppia (G, ∗) dove G è un insieme e ∗ è un'operazione che gode delle seguenti proprietà:

PROPRIETÀ

  1. Associativa(g ∗ h) ∗ k = g ∗ (h ∗ k)    ∀ g, h, k ∈ G
  2. Elemento neutro∃ e ∈ G t.c.    g ∗ e = g = e ∗ g    ∀ g ∈ G
  3. Elemento opposto∀ g ∈ G   ∃ h ∈ G t.c.    g ∗ h = h ∗ g = g.

*Il gruppo che gode della proprietà commutativa è definito gruppo commutativo

  1. Commutativa (Abeliano)g ∗ h = h ∗ g    ∀ g, h ∈ G

ESEMPIO

(2, +)(Q, +)(Z, ∅2, ∅3, ×3) → *così risulta un gruppo commutativo.

G ⇒ Amplifica *modificare *differenza

(ℚ \ {0}, x) gruppo commutativo

Non Esempi

  • (ℤ, x) non è un gruppo
  • (ℚ, x) non è un gruppo

NOTAZIONE

La moltiplicazione di numeri non la scriviamo con la regolazione posiziona

2 ∙ 3 = 2 × 3

ab = 2 × b

∀a, b ∈ ℕ, ℤ, ℚ

DEFINIZIONE

Un CAMPO è un insieme K dotato di 2 operazioni.

  • + : K x K -> K "somma"
  • ∙ : K x K -> K "prodotto"

t.c.

  1. (K, +) gruppo commutativo
  2. (K \ {0_{K}}, ∙) è un gruppo commutativo
  3. Proprietà distributiva rispetto alla somma

a + (b ∙ c) = ab + ac t.c. ab, c ∈ K

ESEMPIO

  • (ℝ, +) è un campo R = numeri reali
  • (ℝ \ {0}, ∙) è un campo
Anteprima
Vedrai una selezione di 10 pagine su 650
Appunti lezioni Geometria Pag. 1 Appunti lezioni Geometria Pag. 2
Anteprima di 10 pagg. su 650.
Scarica il documento per vederlo tutto.
Appunti lezioni Geometria Pag. 6
Anteprima di 10 pagg. su 650.
Scarica il documento per vederlo tutto.
Appunti lezioni Geometria Pag. 11
Anteprima di 10 pagg. su 650.
Scarica il documento per vederlo tutto.
Appunti lezioni Geometria Pag. 16
Anteprima di 10 pagg. su 650.
Scarica il documento per vederlo tutto.
Appunti lezioni Geometria Pag. 21
Anteprima di 10 pagg. su 650.
Scarica il documento per vederlo tutto.
Appunti lezioni Geometria Pag. 26
Anteprima di 10 pagg. su 650.
Scarica il documento per vederlo tutto.
Appunti lezioni Geometria Pag. 31
Anteprima di 10 pagg. su 650.
Scarica il documento per vederlo tutto.
Appunti lezioni Geometria Pag. 36
Anteprima di 10 pagg. su 650.
Scarica il documento per vederlo tutto.
Appunti lezioni Geometria Pag. 41
1 su 650
D/illustrazione/soddisfatti o rimborsati
Acquista con carta o PayPal
Scarica i documenti tutte le volte che vuoi
Dettagli
SSD
Scienze matematiche e informatiche MAT/03 Geometria

I contenuti di questa pagina costituiscono rielaborazioni personali del Publisher matteo.balia.1999 di informazioni apprese con la frequenza delle lezioni di Geometria e studio autonomo di eventuali libri di riferimento in preparazione dell'esame finale o della tesi. Non devono intendersi come materiale ufficiale dell'università Università degli Studi di Roma La Sapienza o del prof Ianni Isabella.
Appunti correlati Invia appunti e guadagna

Domande e risposte

Hai bisogno di aiuto?
Chiedi alla community