Estratto del documento

Applicazioni lineari SIMMETRICHE CANTISIMMETRICHE

p

Def: un'applicazione lineare A:P Si può dimostrare che: se e è una base on.

è detta è detta d: V'e ◦ e'la matrice di A nella base ≤

Antisimmetrica

simmetrica A è simmetrica ⇔ a ,

VI. ÀEV}

KEEV" A- è antisimmetrica 4=02 È_a

ACM.TE-E.AE)

ALFIE = ALFIE

Generica matrice simmetrica di, dia di} E Parametri indipendenti

222 223

da 233

213 223

Generica matrice antisimmetrica 0 212 013 3 Parametri indipendenti

-22, 0 223

-213 -223 0

Corena spettrale per le applicazioni simmetriche

⇒ ∃ base on. 1 di Vita.

Se A:b'◦ V'è aprlin.si metrica

A (F) =L: 7: per un qualunque tier

, O 0 teo di Diagonalizzazione ⇒ Geom

◦ 72 O

0 0 13

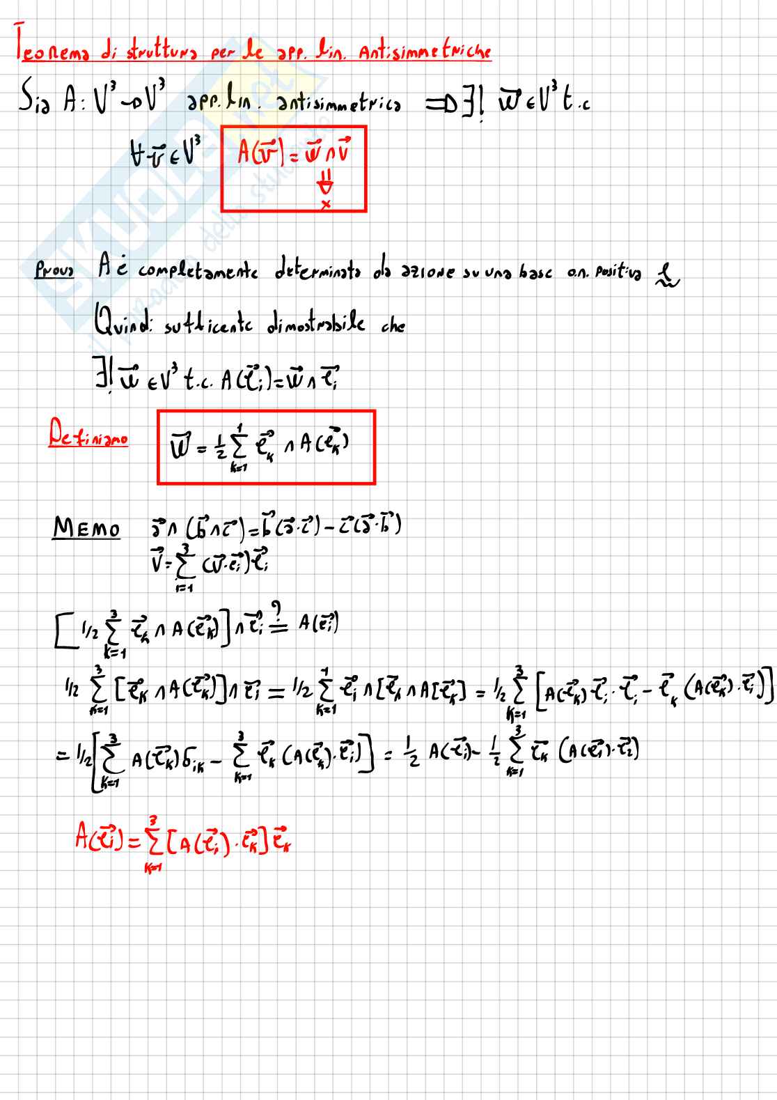
carena di struttura per le app. Lin. Antisimmetriche

⇒ ∃! ☑ EV't..

Si, A: V'→ V'aprlin.int: simmetrica

ALFIERE

HEEV :

Prova A è completamente determinata da azione su una base on. Positiva ≈

Quindi sufficente dimostrabile che

∃! ← V't.c.AE:

KENT

Definiamo ☑ = è race:)

MEMO In Line) =_

'là 1- ELI-Ì)

È:[CEE)

È

"È MA (E) 1? ± Alè)

- 1 ACE, È. -e, (ACE).

E)

"È! FACED nei-½, è: RENALE)-½ È

4=1

= ½ ÈALEE-E. ECALE). ED = ½ ACE! E Caceti.

E)

ALÈ) [ALÉ). E) È

Analisi vettoriale

È: I-U' Intervallo di ll

V'→ E = È (E) È + VICE) Et VILE) = VÌCE) è:{ÉTÉ}:) Vi:[→ R

aliian, FEI =P a II. g. Wilhal: in..

13 (3) =? 015' e

43

p

• E: T

Operazioni # (A g) =!¼ 9+7:#

BE: ◦ V3

OR Leibnite

h:

T'+ È [nel = ↳ è + no◦te

}

0

d}

n [F. F) -de -E + e di

d

i. È }

d}

0 d}

in [ENTI = de ne + µ note

13 13

01# [(E. "131:). È:c

¾:

in

= O è:c.

13 [È, Ne (3) V. (3) ⅓ [[NHN.CH

= O

dm µ + Nader "

Ì - due È::#

-

d} µ t

)- 2 d}

13 F. dò

K1 k-1 d}

¼."

Analisi' Prop/ Sia è:[→ V'derivabile:

7:[→ R (Intervallo di D) ① EC})-E ← di-è

federivabile ⅔

CHE d01u2e = ↓,,", =)

ti costante 017=0

da ② FEEL TI dò (e te

(mÈodcuolstoante in ) d} µ, =D)

③ se &Egr

Anteprima
Vedrai una selezione di 4 pagine su 15
Appunti Fisica matematica - Prima parte Pag. 1 Appunti Fisica matematica - Prima parte Pag. 2
Anteprima di 4 pagg. su 15.
Scarica il documento per vederlo tutto.
Appunti Fisica matematica - Prima parte Pag. 6
Anteprima di 4 pagg. su 15.
Scarica il documento per vederlo tutto.
Appunti Fisica matematica - Prima parte Pag. 11
1 su 15
D/illustrazione/soddisfatti o rimborsati
Acquista con carta o PayPal
Scarica i documenti tutte le volte che vuoi
Dettagli
SSD
Scienze matematiche e informatiche MAT/07 Fisica matematica

I contenuti di questa pagina costituiscono rielaborazioni personali del Publisher kappatosta di informazioni apprese con la frequenza delle lezioni di Fisica matematica e studio autonomo di eventuali libri di riferimento in preparazione dell'esame finale o della tesi. Non devono intendersi come materiale ufficiale dell'università Università degli studi di Genova o del prof Ferrari Claudio.
Appunti correlati Invia appunti e guadagna

Domande e risposte

Hai bisogno di aiuto?
Chiedi alla community