Estratto del documento

più

Limiti Funzioni Variabili

di a

Sia F R DERh

D

: Con

+ 2

n

per

es =

. y)EDcR

f(x y) (x

con

, ,

y)

f(X li y) l

~ f(x

, =

,

(X0 Y0)

(x y) +

, ,

& in variabile

una XXo

elcE XXIg(Xo) con

278//f(x)

-X -

B

Ly dire

in variabili (X0

4) 40) scrivere

(X S Ma

ha senso posso

non < +

+ ,

,

definizione

/X-XolS

anche Allora no una

di R

luite

definizione per

hiu y)

f(x e

=

,

(X (X0

y) 40)

+

, , ! YoY/

EDIGX0 y)

f(x

5830/f(X 4) 8 Sina

11 (X1 etE

-E

3) (X0 Yd11

Faco < <

< ,

, . - ,

R

definizione limite

di per

*

lin )

+( e

=

T

* -> *

-118

7830/FLED13/ * )<

e-ecf( ete

sina

11

Faco

>

- *

lin )

+( =

T

* -> Il- 16

FMc07630/CLEDIE3/ sinaF) M

>

>

- *

lin )

+( =

* N

- FMcOFNso/CleDIG/ NsinaF) M

> >

>

- *

lin ) l

+( =

* N

- FEcOENso/CLEDI) * )

f( <etE

N single

> <

- 1)

X2(y +

Lim y)

f(x

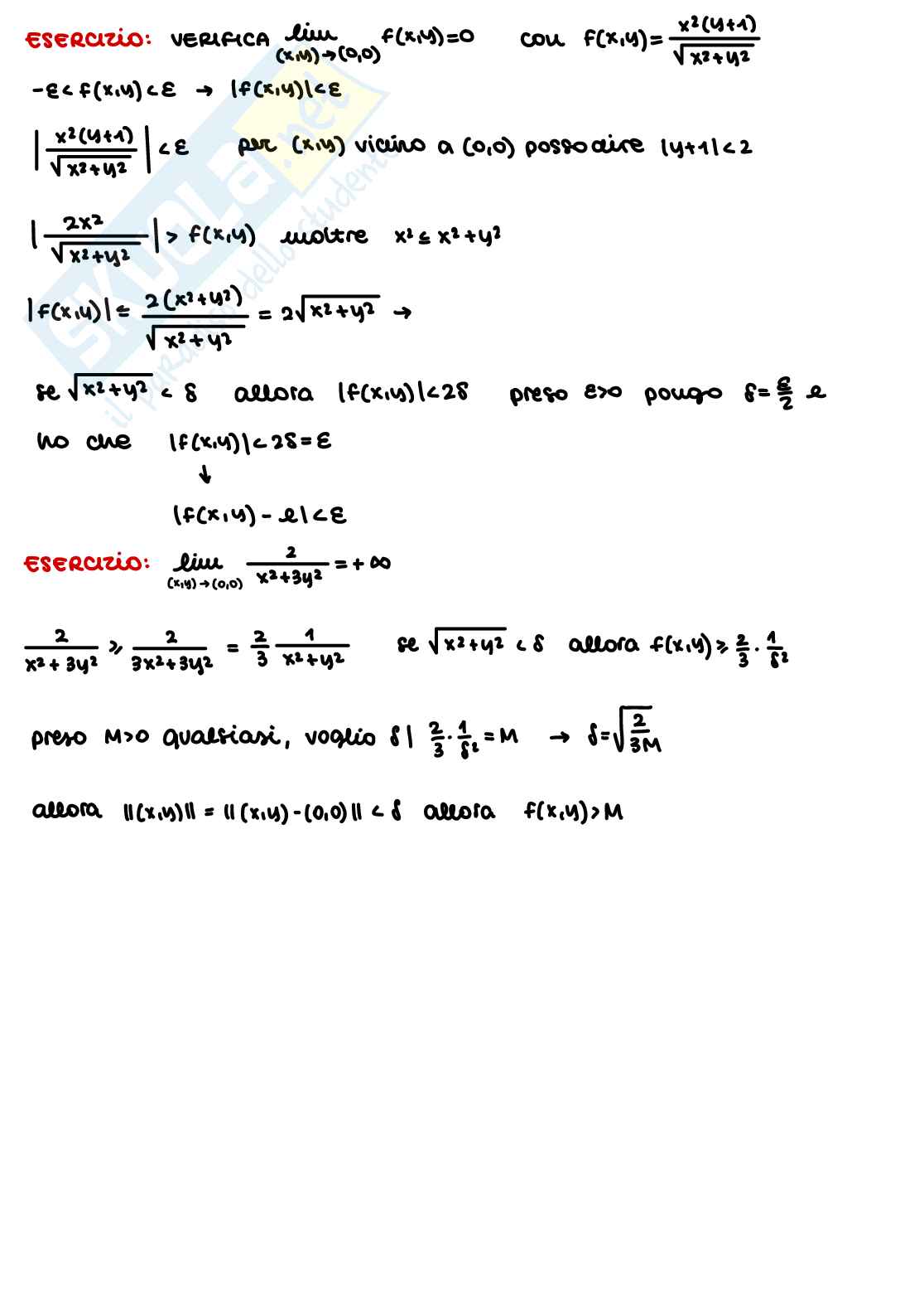
ESERCIZIO 0 y)

conf(x

VERIFICA =

: , =

,

(0 0)

u)

(X + 42

X2 +

, ,

(f(x y)kE

y)(2

f(x

E < + ,

- ,

1)

X2(y + dire

vicino

(X y) 0)

(0 1/2

per (y

posso

LE a +

1 ,

42

X2 +

12x2 4)

f(x 42

moltre x12x1 +

> ,

y2

x2 + yx)

2(x +

y))

( yz

f(x 2x

= + =

=

, x2 y2

+ =

y2 4)/28

sexi (f(x

8 8

+ eso

allora e

preso pougo

> ,

E

4) /25

no If(x

che =

.

↓ y)

(f(x e)E

, - 2

Esercizio Mi 8

+

: =

3yz

(00X2 +

3x

2 2 E

4)

8 f(x

allora

x2 y2

se + <

3 = .

y

3y)3x2 3yz

xz +

+ =

15

qualsiasi voglio

io

preso +

, /16 4)

f(x

allora 4)I) 0) allora M

11 (X

ll(X 4) 10 /

= - ,

,

. .

Gaussiana

funzione

ESEMPIO : dall'origine

distanza

-X2- y2 y)

-coux + =

y)

f(x =

,

verifico lim

che y) 0

(x

+

>

- =

,

y

X a

+

, X- y)

I - - E

e ,

le- "E

okE allora

y)

If(x -

, Xi y2,

- -

-e E

-

(-x)-y2)

allora en cene e variabili

,

più

funz

Anteprima
Vedrai una selezione di 3 pagine su 7
Appunti Analisi matematica 2 Pag. 1 Appunti Analisi matematica 2 Pag. 2
Anteprima di 3 pagg. su 7.
Scarica il documento per vederlo tutto.
Appunti Analisi matematica 2 Pag. 6
1 su 7
D/illustrazione/soddisfatti o rimborsati
Acquista con carta o PayPal
Scarica i documenti tutte le volte che vuoi
Dettagli
SSD
Scienze matematiche e informatiche MAT/05 Analisi matematica

I contenuti di questa pagina costituiscono rielaborazioni personali del Publisher giuly.ss_ di informazioni apprese con la frequenza delle lezioni di Analisi matematica 2 e studio autonomo di eventuali libri di riferimento in preparazione dell'esame finale o della tesi. Non devono intendersi come materiale ufficiale dell'università Università degli Studi di Roma Tor Vergata o del prof Sinestrari Carlo.
Appunti correlati Invia appunti e guadagna

Domande e risposte

Hai bisogno di aiuto?
Chiedi alla community