Estratto del documento

Marzo 2024

Calcolare centro di taglio

Risolvo

Fisso un sdr centrato per il calcolo delle coordinante baricentroli

As = 1/2 (3a . s) + 2a . s = 3a . s

yc = 0

σyA As = 3σsB 2a . s =

3/8 a = -0,375 a

σyc = 0 + 2∫3es (-e/2) s

-3 σs

Diventa un poi muoviamo il nuovo sdr, due il verticale d'inverse (o; xo, x1, x2)

Calcoliamo i due momento d'inverse

IXoA = 2 IIx1 + IIx2 + 1/12 (a³)s + 2 σy(*30 s) + 3 (1/8 a) e

IXox = IIx1 + IIx2 = 1/12 (a³)s + 2 σy 3σ s { -0.3 e }

3 σs 0 = 20/3 σs = :

Forze applicate: la σc1 nel centro di taglio

Calcolo centro di taglio

RISOLVOFisso un sdr convoto per il calcolo delle coord. baricentriche (x̄; ȳ)z.

AiT = 1/2 (3a,s) + 2a,s = 3a,s

ȳi0 = 0     Σyi0 = -3 Σi0 = -3 * ȳB

Σyi0ȳi0 + 2/3 (3a,s) (-e/2) = -3 * 2a,s

Disegno un poi nuovoo il nuovo sdr. due il verticale d’inercia (o, ȳi, ȳi).

Calcoliamo i due momenti d’inercia

x0 = 2Ix1 + Ixl - (1/12) (2a) (3) + 2a,s (1/2 a) (e)2

x = Ix + Ixl = 1/12 (12a)3 + (1/12) (21/3) + 3a,s (-o2) = 20/3 a 5

Forze applicate : le P1 nel centro è taglio

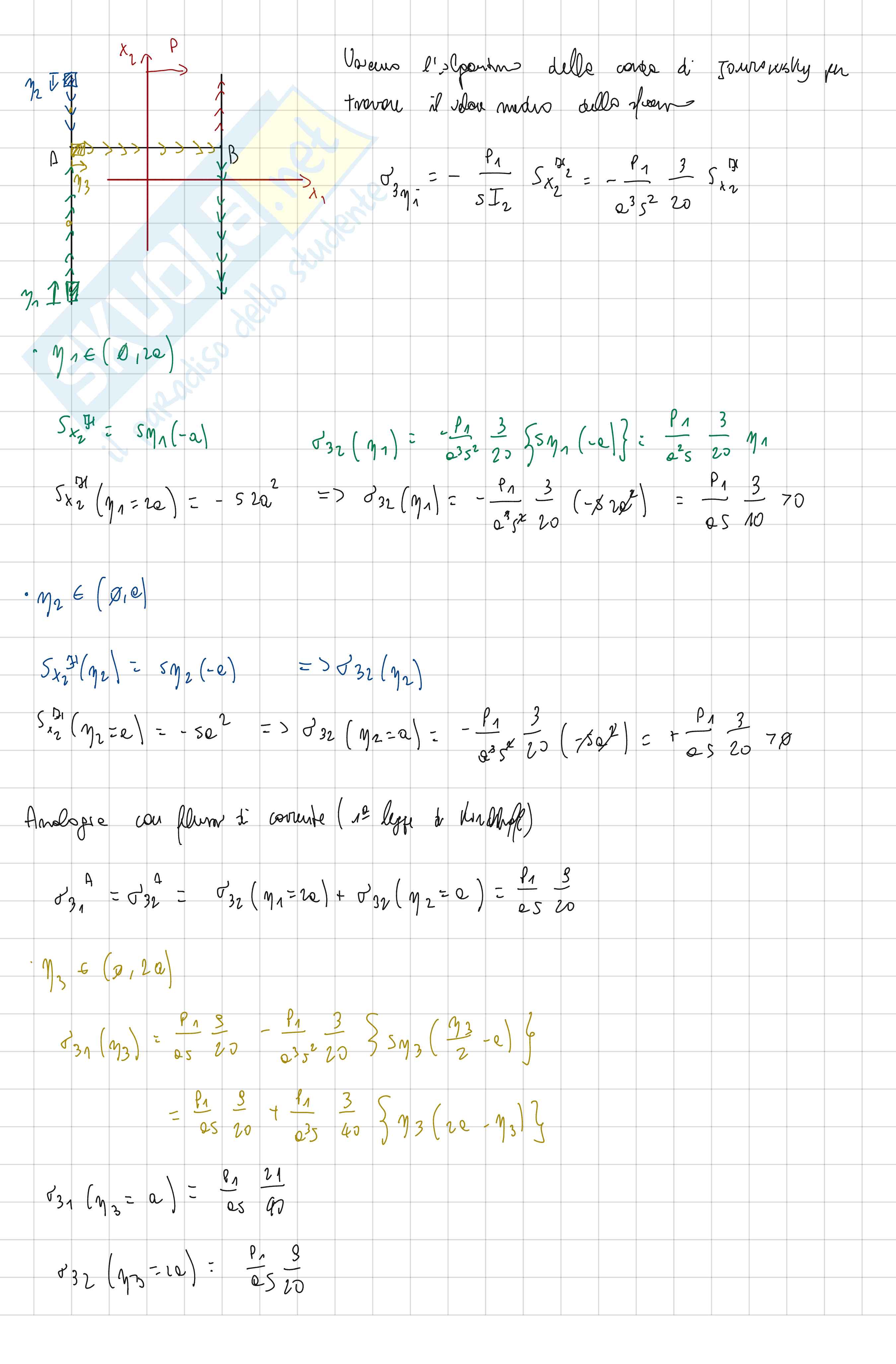
σ3η₁ = P₁ / sI₂ Sxx₂ = P₁ / e³I₂ 3 / 20 Sxx₂

η₁ ∈ (0, 2a)

Sx₁x = SM(-a)

SD₁x₂(η₁ = 2a) = - S20² =   ⇒   σ3I(η₁) = - P₁ / a²s² 3 / 20 (-5X12) = P₁ / a5 3 / 10 70

η₂ ∈ (0, e)

Sx12(η₂ = e) = Sη₂(-e)

⇒ σ32(η₄)

SD₁12(η₂ = e) = - 502   ,   ⇒ σ32(η₂ = 2a) = - P₁ / a²s² 3 / 20 (-752) = P₁ / a5 3 / 20 70

Analogie con plurmi e corrente (1° leff & Kinthoff)

σ51a + σ32(η₁ = 2a) + σ32(η₂ = e) = P₁ / a5 3 / 20

η₃ ∈ (2, 2a)

S(η₃ = o3) = P₁ / a 3 / 20 3 / a² 20

= 3 / a²s² 20 {-50 / a² 20} =

(α) = η₂ - e}3(η₂ = x) = S323 / a 3 / 20

(η₃ = a)}

σ32 (η₃ = 2e) = P1 / s3 3 / 20(e - η3)

σ32 (η₃ - 1e) = Pn / a 3 / 2020

σx1 = σ1 c = p1 L1 / a5 40 Tmax

Per calcolare il centro di spinta:

Calcoliamo le risultanti degli sforzi:

H = 5 ∫0e σx21) dη1 = 5 ∫0e η1 / a2 3 / 20 η11 = p1 / a2 3 / 20 η12 / 2 |0e

= p1 / a2 3 / 20 x2 e2 /2 = 3 / 10 p1

V = 5 ∫0a σy22) dη2 = 5 ∫0a p1 3 / a2 20 η22 = p1 3 / 40

p1 δ = (H - V) 2a => ρ = H - V / p1 2a => 8 / 20 e

CT (0, 33 / 40 e)

GIUGNO 2025

RISOLVO

• Trova i momenti d’inerzia

Pezzo obliquo

dA = z·s = dx√2s

z = x√2

I = ∫S x² dA = ∫0a/√2 x²√2 s dx = √2s [x³/3]0a/√2 = √2s [a³/4 ] = √2/12 sa³

Iz = 2 [—¹/₁₂a s³ + as (ε/₁₂ a²) + ¹/₁₂ s³ + as(ε/L²) + I* + as (³/₂ ε/a)] 2 =

= 10 + √2 /6 ε³ s

  1. η1 ∈ (0, aε)
  2. SL1) = η1 s (-3α + η1 / L)
  3. SL1 = aε) = - ³/₂a ε² s
  4. η2 ∈ (√2a)
  5. SL2) = η2 s (–2α + η2 + √2 / 2) - ³/₂ ε² s
  6. SL2 = √2a) = √2α s (–2α + ± √2α√2 / 2 ) - ³/₂ ε² s = - 5 + 3√2 / 2 α² s
  7. η3 ∈ (0, ε)
  8. SL3) = η3 s (–α + η3 + α / 2 ) - 5π + 3√2 / 2 2 a² ε
  9. SL3 = ε) = α s (–ε + α / 2) a²s = 6 + 3√2 / 2 α² s
Anteprima
Vedrai una selezione di 3 pagine su 6
Raccolta di esercizi svolti di Meccanica dei solidi sul calcolo e determinazione del centro di taglio  Pag. 1 Raccolta di esercizi svolti di Meccanica dei solidi sul calcolo e determinazione del centro di taglio  Pag. 2
Anteprima di 3 pagg. su 6.
Scarica il documento per vederlo tutto.
Raccolta di esercizi svolti di Meccanica dei solidi sul calcolo e determinazione del centro di taglio  Pag. 6
1 su 6
D/illustrazione/soddisfatti o rimborsati
Acquista con carta o PayPal
Scarica i documenti tutte le volte che vuoi
Dettagli
SSD
Ingegneria industriale e dell'informazione ING-IND/34 Bioingegneria industriale

I contenuti di questa pagina costituiscono rielaborazioni personali del Publisher airelav_1211 di informazioni apprese con la frequenza delle lezioni di Meccanica dei solidi e studio autonomo di eventuali libri di riferimento in preparazione dell'esame finale o della tesi. Non devono intendersi come materiale ufficiale dell'università Università degli Studi di Roma La Sapienza o del prof Nardinocchi Paola.
Appunti correlati Invia appunti e guadagna

Domande e risposte

Hai bisogno di aiuto?
Chiedi alla community