Estratto del documento

Sistemi Idraulici Urbani M Modulo1 Sistemi di distribuzione idrica

NOME _____________________ COGNOME ________________________ DATA ______________

1. Definire il volume Non-Revenue Water e indicare da quali componenti è composto (secondo il bilancio idrico

adottato da ARERA) (punti 2)

2. Classificazione delle perdite idriche reali (punti 2)

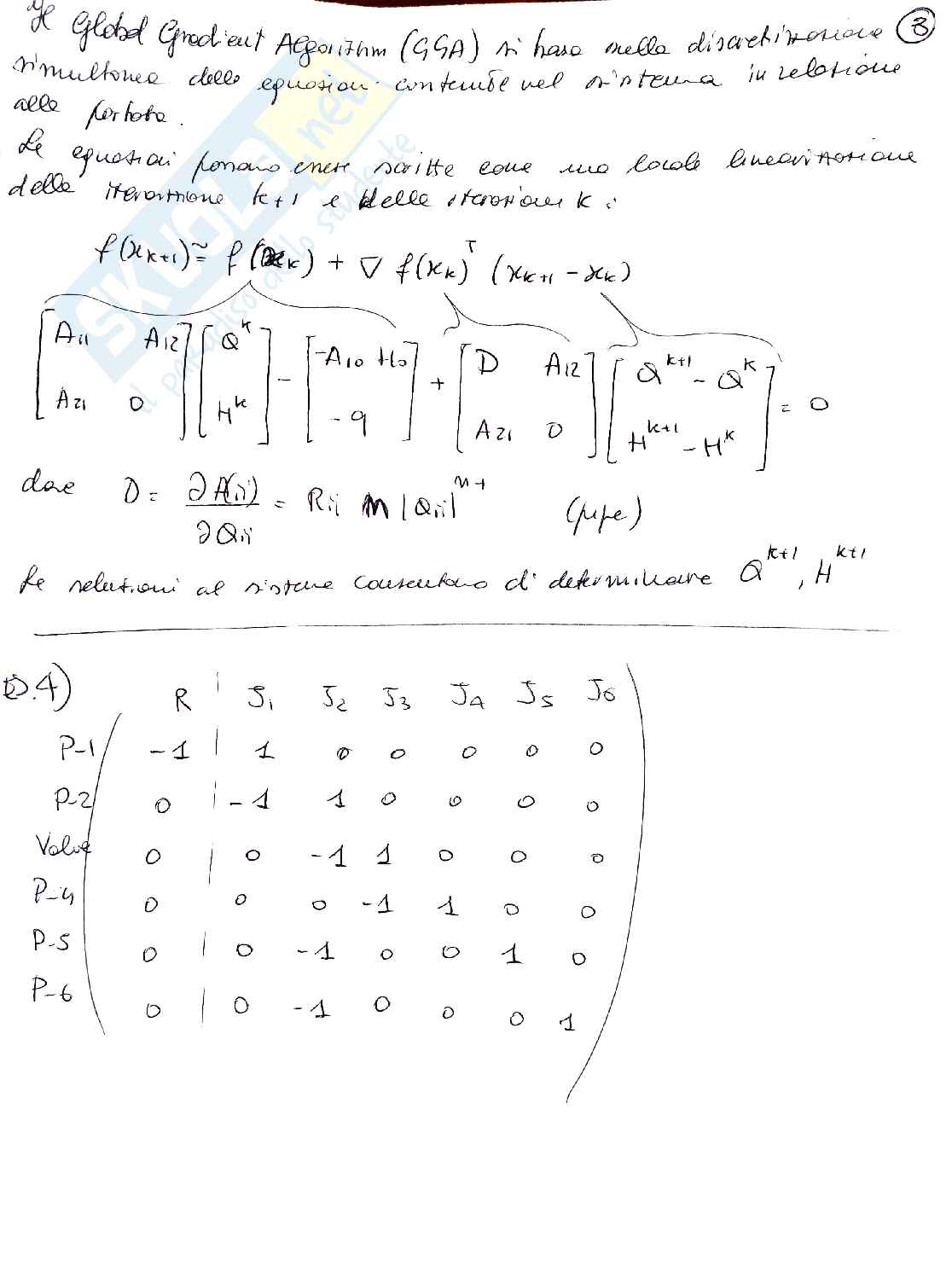
Algorithm) per l’analisi stazionaria in moto permanente delle reti

3. Metodo del Gradiente Globale (Global Gradient

in pressione (punti 3)

Considerando l’impostazione matriciale del Global Gradient Algorithm, scrivere le matrici (A

4. , A , A , Q, H)

11 12 21

per la rete di distribuzione idrica di Figura 1 (punti 3):

   

 

A A - A H

Q

11 12 10 0

=

   

  −

   

 

A 0 H q

21 J-3

J-4 P-4

Valve

Reservoir J-1 J-2

P-1 P-2 P-5 J-5

P-6

J-6

Figure 1

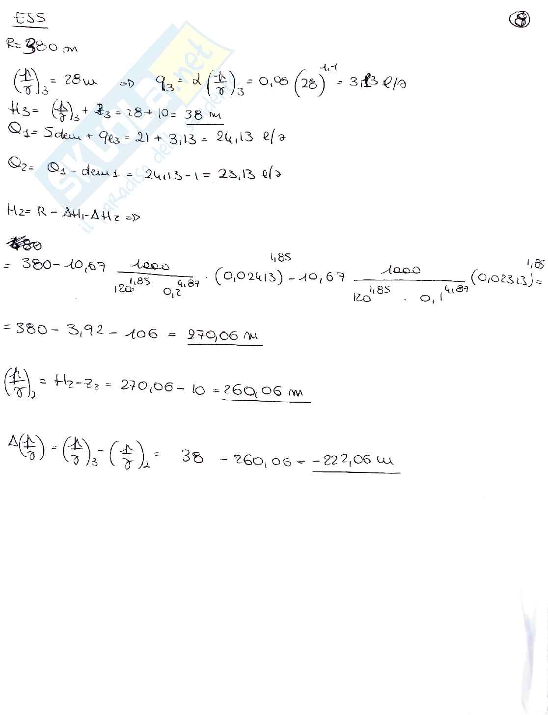
5. Per la rete di distribuzione idrica di Figure 1 sono assegnati i dati nelle Tabelle 1 e 2, mentre il carico idraulico del

serbatoio R è di 380 m. Trovare la riduzione di pressione che deve essere effettuata dalla valvola riduttrice di

pressione (Valve) per mantenere al junction J3 una pressione pari a 28 m, sapendo che in J3 è presente anche una

perdita idrica reale (l/s) con emitter coefficient pari a 0.08 e emitter exponent pari a 1.1. (punti 4)

Tabella 1

Pipe length (m) diameter (mm) Hazen-Williams C-factor

P-1 1000 200 120

P-2 1000 100 120

P-4 1000 100 80

P-5 1000 100 90

P-6 1000 100 90

Tabella 2

Node elevation demand (l/s)

J-1 150 1

J-2 10 2

J-3 10 3

J-4 40 4

J-5 180 5

J-6 160 6

Sistemi Idraulici Urbani M Modulo1 Sistemi di distribuzione idrica

NOME _____________________ COGNOME ________________________ DATA ______________

6. Nella simulazione su periodo esteso (EPS), con riferimento al modello Epanet, per ogni passo temporale come

viene calcolato il consumo idrico in ogni junction (Actual demand) e come viene aggiornato il livello dei serbatoi

(tanks)? (punti 2)

Considerando il modello per la qualità dell’acqua implementato in Epanet, con riferimento alla Figura

7. 2, in cui Q

indica la portata e C la concentrazione, scrivere l’espressione letterale per il calcolo di C4(x=0) se in J-i è presente

in ingresso una portata qJ-i con concentrazione CJ-i (punti 2) J-4

Q-4, C4 (x=L4)

Q-1, C1 (x=L1)

J-1 J-i Q-3, C3 (x=0) J-3

Q-2, C2 (x=L2)

J-2

Figure 2

8. Per la rete in pressione di Figura 3 sono assegnati i dati di Tabella 3 e 4 (punti 8):

R2

P-2

Check

Pump Valve J-3

J-2

R1 P-1 J-1 Figura 3

“minimum

8.1 Trovare la minima prevalenza pump head” Hp necessaria per trasferire al serbatoio R2 una portata

pari a 55 l/s.

Determinare l’intensità di energia 3

8.2 (kWh/m ) della pompa nel caso 9.1, in cui inoltre la pompa funzioni 12 ore al

giorno e il rendimento complessivo sia pari a 0.65.

8.3 Determinare il punto di funzionamento (Qp, Hp) nel c

Anteprima
Vedrai una selezione di 6 pagine su 23
Prove di esame svolte di Sistemi idraulici urbani Pag. 1 Prove di esame svolte di Sistemi idraulici urbani Pag. 2
Anteprima di 6 pagg. su 23.
Scarica il documento per vederlo tutto.
Prove di esame svolte di Sistemi idraulici urbani Pag. 6
Anteprima di 6 pagg. su 23.
Scarica il documento per vederlo tutto.
Prove di esame svolte di Sistemi idraulici urbani Pag. 11
Anteprima di 6 pagg. su 23.
Scarica il documento per vederlo tutto.
Prove di esame svolte di Sistemi idraulici urbani Pag. 16
Anteprima di 6 pagg. su 23.
Scarica il documento per vederlo tutto.
Prove di esame svolte di Sistemi idraulici urbani Pag. 21
1 su 23
D/illustrazione/soddisfatti o rimborsati
Acquista con carta o PayPal
Scarica i documenti tutte le volte che vuoi
Dettagli
SSD
Ingegneria civile e Architettura ICAR/01 Idraulica

I contenuti di questa pagina costituiscono rielaborazioni personali del Publisher Ferros94 di informazioni apprese con la frequenza delle lezioni di Sistemi Idraulici Urbani e studio autonomo di eventuali libri di riferimento in preparazione dell'esame finale o della tesi. Non devono intendersi come materiale ufficiale dell'università Università degli Studi di Bologna o del prof Bragalli Cristiana.
Appunti correlati Invia appunti e guadagna

Domande e risposte

Hai bisogno di aiuto?
Chiedi alla community