Estratto del documento

CINEMATICA DEL PUNTO, DEL CORPO RIGIDO E DI SISTEMI DI CORPI RIGIDI

ESERCIZIO 1

Si consideri un punto materiale che si muove lungo una traie oria e di questo moto è nota

la legge oraria: (3 )⃗

() = 9⃗ + + 2

 Calcolare e

⃗() ⃗()

 Calcolare l’espressione dei versori tangente e normale alla traie oria nell’istante

= 3

 Calcolare il raggio di curvatura della traiettoria nell’istante

(3) = 3

RISOLUZIONE

Varrà che: () ⃗()

⃗() = = 9⃗ + 4⃗ ⃗() = = 4⃗

Sappiamo che l’ascissa curvilinea consente di misurare lo spazio lungo una traie oria data

una legge oraria. Dato che viene chiesto di calcolare l’espressione dei versori tangente e

normale alla traie oria nell’istante vuol dire che ci si trova nel sistema di

⃗ = 3

riferimento intrinseco alla traie oria, cioè quello che segue istante per istante mentre si

muove lungo la traie oria.

Il ve ore che ha intrisecamente in sé l’informazione sul versore tangente è la velocità. Vale

che: () ⃗ |⃗|⃗

⃗() = = = ̇ =

⃗(3) 9⃗ + 4 ∙ 3 ∙ ⃗ 3 4

⃗| = = = ⃗ + ⃗

|⃗(3)| 5 5

+ 12

√9

Per ricavare sfru amo il fa o che è perpendicolare a (e quindi il prodo o scalare tra

ques due versori è nullo) e che essendo un versore il suo modulo è unitario. Indichiamo in

modo generico :

⃗ = ⃗ + ⃗ 4

3 4 = ±

⃗ × = 0 5+ = 0 5

→ →

5 3

+ =1 =∓

+ =1 5

Dobbiamo capire quale sia la soluzione corre a. Data:

(3 )⃗

() = 9⃗ + + 2

Ricaviamo:

() = 9 → = () = 3 + 2

9

Ricaviamo l’equazione della traie oria: 2

= =3+

9 81

Questa traie oria sarà una parabola con concavità rivolta verso l’alto e che interseca l’asse

ver cale in = 3: ⃗

3

27

Sappiamo che quando = 3 → (3) = 27

Per visualizzare il versore normale disegnamo un cerchio osculatore alla traie oria e dire o

verso il centro si avrà il versore normale.

Visualizzato come è dire o possiamo dire che:

⃗ 4 3

⃗ = − + ⃗

5 5

La componente che invece con ene l’informazione sul raggio di curvatura è l’accelerazione

normale. Sappiamo che:

⃗ ⃗

⃗ = +

⃗ = +

Sappiamo che: 4 3 12

= ⃗ ×

⃗ = 4⃗ × − + ⃗ =

5 5 5

Allora: 12

=

5

81 + 16 ∙ 9 12

= → = 93,75

5

ESERCIZIO 2

Un vagone ferroviario schema zzabile come un punto materiale che si muove su un piano

compie il seguente percorso con una legge di moto assegnata:

5

4 100

100

3

2 = 500

100

0 1

Nota la velocità in ciascuno dei cinque step, calcolare tu gli intervalli di tempo di ciascuno

step e realizzare i diagrammi di spostamento, accelerazione tangenziale e

, , , ,

normale in funzione del tempo.

Il profilo di velocità è il seguente:

2 () 20 /

15 /

0

RISOLUZIONE

Ci me amo nel sistema di riferimento della traie oria stessa e ricordiamo che:

() ⃗

⃗() =

()

⃗() = +

() = + ()

()

() = +

TRATTO 0-1

Vediamo che = 0, = 20 , = 15 , = 100

Dato che la decelerazione nel tra o 0-1 è costante:

) () ( )

( = + = + − = +

)

= ( = +

= = −0,98 /

Poi: 1

() = + + = + +

2

1 ( )

− = = + +

2

2

= = 5,71

+

Per ricavare il diagramma dello spostamento nel tempo, dall’equazione di no amo che

()

abbiamo ancora una volta una parabola facendo a enzione al fa o che l’accelerazione

tangenziale e quindi la concavità della parabola sarà rivolta verso il basso.

< 0

Considerando che nel tra o 0-1 che è re lineo il raggio di curvatura allora:

→ ∞

= =0

TRATTO 1-2

Si ha un moto circolare uniforme. Abbiamo: = 5,71 , = 200, = = 15 /

Allora: () = = =

() = + () = + ( − )

) ( )

( = + − → = + = 19,021

No amo da che lo spostamento è una re a.

()

L’accelerazione tangenziale, data la pologia di moto, è nulla.

Vale poi che: 15

= = 0,45 /

500

TRATTO 2-3

Si ha ancora moto circolare uniforme. Abbiamo = 19,021, = 100

= + = 25,71

La re a che descrive lo spostamento avrà la stessa pendenza di quella del tra o 1-2,

()

l’accelerazione tangenziale è ancora nulla e l’accerazione normale è rimasta invariata dato

che non sono variate né velocità né raggio di curvatura.

TRATTO 3-4

Si ha ancora moto circolare uniformemente accelerato ma questa volta si sta accelerando.

Abbiamo che: = 25,71 , = 15 , = 20 , = 100

Si avrà che: −

= −

() = + ( − )

− ( )

− − −

( ) ( ) ( )

() = + − = + − + − −

− − 2

( + ) 2

) ( )

( = = − → = + = 3,41

2 ( + )

Per i diagrammi: ( )

− −

( ) ( )

() = + − + − −

− 2

Dato che: −

= = 0,88 =

1

( ) ( ) ( )

() = + − + − − −

2 1 1

( )

() = + − + − − +

2 2

1

( ) ( )

() = + − + −

2

Lo spazio è una parabola con concavità verso l’alto.

In questo caso invece: ( )

() −

= = + ()

TRATTO 4-5

Sappiamo che: = 100

= = 20

= + = 36,42

Dall’andamento della velocità vediamo che l’accelerazione tangenziale è nulla e poiché

abbiamo un moto re lineo anche l’accelerazione normale è nulla.

()

()

0

−0,98

ESERCIZIO 3

Si consideri un sistema meccanico composto da un'asta rigida collegata a due carrelli. Un

carrello scorre in direzione orizzontale, mentre l'altro carrello scorre in direzione ver cale.

L'elemento fondamentale è che si tra a di un unico corpo rigido, ovvero l'asta man ene la

sua forma e le sue dimensioni durante il movimento, senza deformarsi.

Nel sistema si iden ficano alcuni pun cara eris ci importan . Il punto G rappresenta il

baricentro dell'asta, ovvero il suo centro di massa. I pun A e B rappresentano i due estremi

dell'asta, dove sono posiziona rispe vamente i due carrelli. L'asta ha una lunghezza totale

pari a L, che è un dato geometrico noto del problema.

È nota inoltre la coordinata principale del sistema, indicata con α, che rappresenta l'angolo

di inclinazione dell'asta rispe o a un sistema di riferimento fisso. In par colare, si

conoscono non solo la posizione angolare α(t) come funzione del tempo, ma anche la

velocità angolare α̇(t) e l'accelerazione angolare α̈(t).

L'esercizio richiede di calcolare diverse grandezze cinema che. Per quanto riguarda le

velocità, si devono determinare la velocità del punto A, indicata come , la velocità del

punto B, indicata come , e la velocità del baricentro G, indicata come . Analogamente,

⃗ ⃗

si dovranno poi calcolare anche le accelerazioni dei tre pun : , e .

⃗ ⃗ ⃗

Questo esercizio verrà risolto u lizzando due metodologie diverse per mostrare la versa lità

degli strumen disponibili nella cinema ca dei corpi rigidi. Il primo metodo u lizza il

teorema di Rivals mentre il secondo metodo invece sfru a le coordinate polari per

descrivere il movimento.

RISOLUZIONE CON TEOREMA DI RIVALS

Nel caso specifico del sistema con l'asta e i carrelli, si può u lizzare il teorema di Rivals

scegliendo come pun di riferimento due pun qualsiasi del corpo rigido. Una scelta

naturale è quella di prendere i due estremi A e B dell'asta, perché sono i pun dove sono

applica i vincoli.

Scrivendo il teorema di Rivals riferendosi al punto A come punto di cui si vuole calcolare la

velocità, e al punto B come punto di riferimento, si o ene:

⃗ = ⃗ +

⃗ ∧ ( − )

La prima domanda fondamentale da porsi è: quanto vale la velocità angolare ω se si

considera il corpo rigido in esame? Bisogna tenere presente che si conosce la coordinata

principale del corpo rigido, ovvero l'angolo α e le sue derivate temporali.

La velocità angolare è semplicemente la derivata temporale dell'angolo di rotazione.

Tu avia, bisogna fare molta a enzione al verso della rotazione e alla convenzione dei segni

u lizzata.

Un aspe o cruciale che può generare errori se non ges to corre amente riguarda la

convenzione dei segni per le rotazioni. Nella maggior parte degli esercizi che verranno

affronta , salvo alcune eccezioni esplicitamente indicate, il sistema di riferimento u lizzato

ha la rotazione posi va quando è an oraria. Questa è la convenzione standard nella

maggior parte dei tes di meccanica. Nel problema specifico, l'angolo α è stato definito

come crescente quando la rotazione avviene in senso orario. Osservando il sistema

disegnato, quando α aumenta l'asta ruota in senso orario. Però, secondo la convenzione

standard del sistema di riferimento, il verso posi vo per le rotazioni è quello an orario,

opposto a quello in cui cresce α. Di conseguenza, il ve ore velocità angolare deve essere

scri o come: ⃗

⃗ = −̇

Il secondo elemento che compare nell'equazione di Rivals è il ve ore posizione (A - B), che

rappresenta il ve ore che va dal punto B al punto A. Questo ve ore deve essere espresso

nel sistema di riferimento fisso u lizzando le componen lungo gli assi coordina .

Osservando la geometria del sistema, il ve ore (A - B) è dire o lungo l'asta, dal punto B in

basso a destra verso il punto A in alto a sinistra. La lunghezza di questo ve ore è

semplicemente L, che è la lunghezza dell'asta. Per trovare le componen , si deve proie are

questo ve ore lungo gli assi coordina .

Esprimendo il ve ore in termini delle sue componen cartesiane:

( − ) = () ⃗ − () ⃗

Il punto A è vincolato da un carrello che scorre in direzione orizzontale. Questo vincolo

cinema co impone che il punto A possa muoversi solamente lungo la direzione orizzontale,

non può avere componen di velocità in direzione ver cale. Di conseguenza, la velocità di A

ha la seguente forma: ⃗ = ̇ ⃗

Si conosce quindi la direzione del ve ore velocità (è orizzontale), mentre non si conosce

ancora . Analogamente, il punto B è vincolato da un carrello che scorre in direzione

ver cale. Per lo stesso mo vo, il punto B può muoversi solamente lungo la direzione

ver cale: ⃗ = ̇ ⃗

L'equazione del teorema di Rivals che si è scri a è un'equazione di po ve oriale, che opera

nello spazio bidimensionale del piano. Un'equazione ve oriale nel piano è equivalente a

due equazioni scalari, una per ciascuna componente indipendente.

Quindi, proie ando l'equazione ve oriale lungo le direzioni degli assi coordina i e j, si

o ene un sistema di due equazioni scalari indipenden . Si hanno due equazioni e due

incognite scalari (ẋ e ), quindi il sistema è determinato e può essere risolto

algebricamente.

Questa è la chiave per risolvere il problema: trasformare l'equazione ve oriale in un sistema

di equazioni scalari a raverso la proiezione sugli assi coordina . Sos tuendo nell'equazione

di Rivals: ⃗

(ẋ ⃗) (ẋ ⃗)

⃗, +ẏ = ⃗, +ẏ − ̇ ∧ [ () ⃗ − ()⃗]

(ẋ (0 ⃗)

⃗ + 0) = + ẏ − ̇ ()⃗ − sin ()̇ ⃗

⃗ → ẋ = −̇ sin ()

⃗ → 0 = ẏ − ̇ ()

⃗ → ⃗ = −̇ sin ()⃗

⃗ → ⃗ = ̇ ()⃗

L'ul ma richiesta per quanto riguarda le velocità è il calcolo della velocità del baricentro

dell'asta. La strategia più naturale è u lizzare nuovamente il teorema di Rivals. Si è già

calcolata la velocità di due pun del corpo rigido (A e B), e si conosce la velocità angolare.

Quindi si possono applicare le stesse formule per trovare la velocità di qualsiasi altro punto

del corpo, compreso il baricentro G.

Si può scrivere il teorema di Rivals per il punto G prendendo come riferimento, per esempio,

il punto A di cui si conosce già la velocità. Si potrebbe equivalentemente prendere come

riferimento il punto B, il risultato finale sarebbe iden co. Scegliendo A come riferimento:

⃗ = ⃗ +

⃗ ∧ ( − )

(ẋ ⃗)

⃗ + ẏ = −̇ sin ())⃗ − ̇ ∧ − cos() ⃗ + sin ()⃗

2 2

(ẋ ⃗)

⃗ + ẏ = −̇ sin ()⃗ + ̇ cos() ⃗ + ̇ sin() ⃗

2 2

⃗ → ẋ = − ̇ sin()

2

⃗ → ẏ = ̇ cos()

2

Ques risulta hanno senso fisico: le componen della velocità del baricentro sono

esa amente la metà delle corrisponden componen delle velocità degli estremi, come ci si

potrebbe aspe are dal fa o che il baricentro è a metà strada e il moto è rigido.

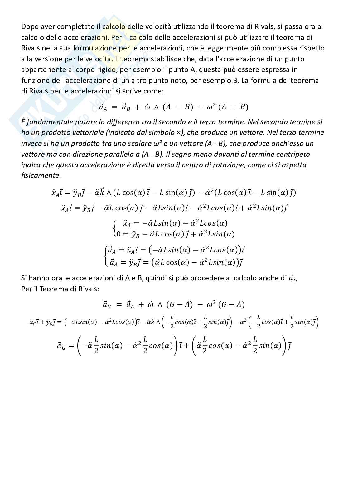
Dopo aver completato il calcolo delle velocità u lizzando il teorema di Rivals, si passa ora al

calcolo delle accelerazioni. Per il calcolo delle accelerazioni si può u lizzare il teorema di

Rivals nella sua formulazione per le accelerazioni, che è leggermente più complessa rispe o

alla versione per le velocità. Il teorema stabilisce che, data l'accelerazione di un punto

appartenente al corpo rigido, per esempio il punto A, questa può essere espressa in

funzione dell'accelerazione di un altro punto noto, per esempio B. La formula del teorema

di Rivals per le accelerazioni si scrive come:

⃗ = ⃗ + ̇ ∧ ( − ) − ² ( − )

È fondamentale notare la differenza tra il secondo e il terzo termine. Nel secondo termine si

ha un prodo o ve oriale (indicato dal simbolo ×), che produce un ve ore. Nel terzo termine

invece si ha un prodo o tra uno scalare ω² e un ve ore (A - B), che produce anch'esso un

ve ore ma con direzione parallela a (A - B). Il segno meno davan al termine centripeto

indica che questa accelerazione è dire a verso il centro di rotazione, come ci si aspe a

fisicamente. ⃗ ( ⃗) ( ⃗)

̈ ⃗ = ̈ ⃗ − ̈ ∧ cos() ⃗ − sin() − ̇ cos() ⃗ − sin()

̈ ⃗ = ̈ ⃗ − ̈ cos() ⃗ − ̈ ()⃗ − ̇ ()⃗ + ̇ ()⃗

̈ = −̈ () − ̇ ()

0 = ̈ − ̈ cos() ⃗ + ̇ ()

⃗ = ̈ ⃗ = −̈ () − ̇ () ⃗

⃗ = ̈ ⃗ = ̈ cos() − ̇ () ⃗

Si hanno ora le accelerazioni di A e B, quindi si può procedere al calcolo anche di ⃗

Per il Teorema di Rivals: ⃗ = ⃗ + ̇ ∧ ( − ) − ² ( − )

̈ ⃗ + ̈ ⃗ = −̈ () − ̇ () ⃗ − ̈ ∧ − ()⃗ + ()⃗ − ̇ − ()⃗ + ()⃗

2 2 2 2

⃗ = −̈ () − ̇ () ⃗ + ̈ () − ̇ () ⃗

2 2 2 2

RISOLUZIONE CON COORDINATE POLARI

Alterna vamente a quello che è stato visto finora con il teorema di Rivals, si può affrontare

lo stesso problema u lizzando un approccio completamente diverso basato sulle coordinate

polari. Questo metodo offre una prospe va differente sulla cinema ca dei corpi rigidi e può

risultare più intui vo in cer contes .

Il conce o chiave è quello di costruire una iden tà ve oriale a par re da un punto fisso del

sistema. Con il termine iden tà ve oriale si intende l'espressione della posizione di un

punto del sistema in due maniere differen , ma che ovviamente sono equivalen dal punto

di vista matema co.

Il procedimento prevede alcuni passi fondamentali. Prima di tu o ci si deve posizionare in

corrispondenza di un punto fisso del sistema di riferimento. Nel caso specifico di questo

problema, si sceglie come origine del sistema di riferimento il punto O che si trova

nell'angolo in basso a sinistra, dove si intersecano le guide dei due carrelli. Questo è un

punto fisso del piano che non si muove durante il moto del sistema.

Una volta fissata l'origine O, è necessario esprimere la posizione di un punto del sistema. Si

sceglie di considerare il punto B. Come si può esprimere la posizione del punto B rispe o

all'origine O? Ci sono fondamentalmente due modi equivalen di farlo, ed è proprio questa

doppia rappresentazione che cos tuisce l'iden tà ve oriale.

Il primo modo, il più dire o, è semplicemente scrivere la posizione di B come il ve ore che

va dall'origine O fino al punto B: Il secondo modo, apparentemente più complicato

( − ).

ma che si rivelerà molto u le, è quello di spezzare il percorso da O a B passando a raverso

un punto intermedio, per esempio il punto A. Si può scrivere: (A - O) + (B - A)

Uguagliando le due espressioni equivalen della posizione di B si o ene l'iden tà

ve oriale: ( − ) = ( − ) + ( − )

Questa è un'uguaglianza che deve valere in ogni istante di tempo, qualunque sia la

configurazione del sistema. È un'iden tà nel senso matema co stre o del termine: è vera

sempre, per costruzione geometrica.

L'idea delle coordinate polari è che ogni ve ore nel piano può essere individuato

completamente specificando due quan tà: il suo modulo, ovvero la sua lunghezza, e la sua

anomalia, ovvero l'angolo che il ve ore forma con il semiasse posi vo reale, che nel nostro

caso è l'asse x orizzontale dire o verso destra.

Facciamo un esempio concreto partendo dal primo ve ore dell'iden tà. Il ve ore B - O va

dall'origine O fino al punto B. Nel sistema considerato, questo ve ore è dire o

ver calmente verso l'alto lungo l'asse y. Si può cara erizzare questo ve ore indicando il suo

modulo con la le era e l'angolo che forma con il semiasse posi vo dell'asse x, che in

questo caso è l'angolo re o π/2 radian , ovvero 90 gradi. Si può chiamare questo angolo β

per comodità.

U lizzando la notazione esponenziale complessa, che è molto comoda per le coordinate

polari, si scrive: ( − ) = ·

Analogamente. ( − ) = ·

( − ) = ·

L'iden tà ve oriale completa in coordinate polari diventa quindi:

· =· +·

Si è così costruita un'iden tà ve oriale esprimendo la posizione di B in due maniere diverse

u lizzando la rappresentazione polare. A questo punto viene la parte importante: questa

equazione con ene apparentemente molte incognite, ma in realtà molte di queste quan tà

sono note o determinate dai vincoli del sistema.

Il modulo B, che rappresenta la lunghezza del ve ore B - O, cosa rappresenta nel sistema

fisico che si sta esaminando? Guardando il disegno, questo ve ore va dall'origine O, che si

trova nell'angol

Anteprima
Vedrai una selezione di 10 pagine su 173
Fondamenti di meccanica teorica ed applicata - esercitazioni Pag. 1 Fondamenti di meccanica teorica ed applicata - esercitazioni Pag. 2
Anteprima di 10 pagg. su 173.
Scarica il documento per vederlo tutto.
Fondamenti di meccanica teorica ed applicata - esercitazioni Pag. 6
Anteprima di 10 pagg. su 173.
Scarica il documento per vederlo tutto.
Fondamenti di meccanica teorica ed applicata - esercitazioni Pag. 11
Anteprima di 10 pagg. su 173.
Scarica il documento per vederlo tutto.
Fondamenti di meccanica teorica ed applicata - esercitazioni Pag. 16
Anteprima di 10 pagg. su 173.
Scarica il documento per vederlo tutto.
Fondamenti di meccanica teorica ed applicata - esercitazioni Pag. 21
Anteprima di 10 pagg. su 173.
Scarica il documento per vederlo tutto.
Fondamenti di meccanica teorica ed applicata - esercitazioni Pag. 26
Anteprima di 10 pagg. su 173.
Scarica il documento per vederlo tutto.
Fondamenti di meccanica teorica ed applicata - esercitazioni Pag. 31
Anteprima di 10 pagg. su 173.
Scarica il documento per vederlo tutto.
Fondamenti di meccanica teorica ed applicata - esercitazioni Pag. 36
Anteprima di 10 pagg. su 173.
Scarica il documento per vederlo tutto.
Fondamenti di meccanica teorica ed applicata - esercitazioni Pag. 41
1 su 173
D/illustrazione/soddisfatti o rimborsati
Acquista con carta o PayPal
Scarica i documenti tutte le volte che vuoi
Dettagli
SSD
Ingegneria industriale e dell'informazione ING-IND/13 Meccanica applicata alle macchine

I contenuti di questa pagina costituiscono rielaborazioni personali del Publisher mattirotundo di informazioni apprese con la frequenza delle lezioni di Fondamenti di meccanica teorica ed applicata e studio autonomo di eventuali libri di riferimento in preparazione dell'esame finale o della tesi. Non devono intendersi come materiale ufficiale dell'università Politecnico di Milano o del prof Di Gialleonardo Egidio.
Appunti correlati Invia appunti e guadagna

Domande e risposte

Hai bisogno di aiuto?
Chiedi alla community