Estratto del documento

ESERCIZIO 1

PRESSO FLESSIONE

Risolvere

Sviluppo uno schema comodo per il calcolo delle coordinate del centro d'inerzia (x0, y0).

Sezione simmetrica → xa=ya, y0=0

y20 = Sy2/As*

A* = 2{5(6a - xx) + 2x - 2} = 16e2;

Sy1 = ΣiNxSy1 = O + 2{-(xa)(6e2) = -24a3}

→ y0x = -24e3/16e2 = -3/2x

Momento alla centrale d'inerzia (o; xa=xa; e1)

Iya* = ΣiΣN = 1/12(2x)4 = Σ1x12(de + a)3 + (6e1)(3/2e)4 → = /3 θ: Iy

Ixy* = ΣiNyx* = 7/12(e)4 +{(12) [3/2]} + 2 1/12(e(6a)3 + 6(e) } = 148/3e4-Iz

(ĉ) = (-C0) × Ne3 = x2CNe1-xCNe2

N = ᜰ

ESERCIZIO 1

PRESSO FLESSIONE

Risolvere

Sviluppo un asse comodo per il calcolo delle coordinate del centro d'area (x0, y0)

Sezione simmetrica → x0= ys, y0 = 0

ys2 = Sy2At

At = 2 [5a - 2a] + 2e - 2e = 16e2 ;

Syt = 3ᴵ2ᴵ=1 &sum Syi = Ф2 + 2 [ -2a ] ( 6e2) - 24 a3 ⇒ y0e = - 24 e316 e2 = - 32 x

Momento attraverso centrale d'inerzia (o; xdac, ydat)

Iyt = 3ᴵ2ᴵ=1 &sum Iyt2a = 1⁄12 (2a)4 + &sum 1⁄

12 [ (6e) e ]a3 + (6e)2( 32-et)² = 118⁄3 E4 ; Iy

Itx = 3ᴵ2ᴵ=1 &sum Ixti = 1⁄2 (ea)4 + (12) [32 ] e2 + &sum 1⁄12 e (6a)3 + (6e) ( a2)2 = 148⁄3 ⊖4-I2

m1 = (- C - O ) ⨯ N e &sub3 ; KE = N C N ec &gsub; ⨷ C C Nen Nc-1]

N = E [ptimo ptérón]

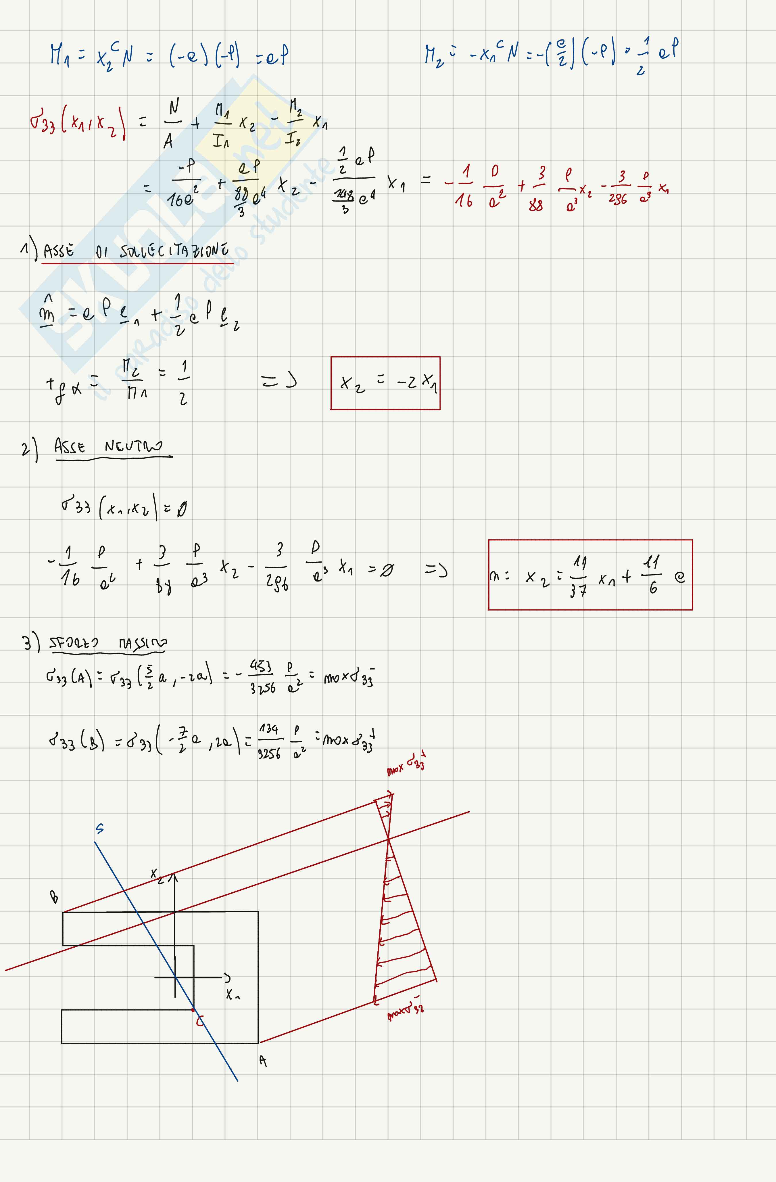
M1 = xccN = (-e)(-12) - eρl

M2 = -xncN = (-e2)(-ρl) - 12eρl

σ33(xA xL xZ) = NA + MzIxxn - MzIzxc

= - ρ16θ2 + ρ3a4xz - ρ4a4x1 =

= 116 0a2 + 88 - ρa2xz - 286 ρa3xn x2

1) ASSE DI SOLLECITAZIONE

m̂ = ερle + 12 ρ lz

tg α = &Pie; = 12

= > x2 = -2x1

2) ASSE NEUTRO

σ33(xA xL xZ) ≠

= 1b 1a2 + bθ4 x3 - b6 xn > 0

=> n: x2 = 1137xn + 116ã

3) SFORZO MASSIMO

σ33(A1) = σ33(Σ2 α - 2a) = - 42331256 ρa2 = max σ33

σ33(b3) = σ33(=2lL𝔵) = -13943256 ρa2 = max σ33

Esercizio 2

Συ → 0

Calcolare centro di taglio

Risolvo

Fissiamo un asse comodo per il calcolo del centro di area

ȳ = x₂ → ȳ° = 0

ȳᴺ = Σyᴺ Aᴺ = 3/8 a

3eS = -3/8 a

Aᵍ = 2(3eS) + 1eS = 8eS

5y̆ᴱᶧ = 0 + 2{ 3eS( a/2 ) } = 32eS

Ι̇ ᴺᵪᵪ̇, Ι̇ ᵢᵪᵦ - 2 Ι̇ ᵢᵦᵦ̇ = 1/12[3eS]ᵅ + 1/12 s(3x2)ᵅ + (3eS)

Ι̇ ᴱᵪᵪ̇ = 1/12 s (2e)ᵅ + 1/12 s(3x0)ᵅ + (3eS)

= 20/3 eᶜ s = Ι̇₂

Forza applicata sulla linea

σ₃ = - Rₐ e₁

σ₃ᴺ = -Rᶜ/s

- ) η2 ∈ (0, 2a)

σ322) = - Pn/a2 3/20 {s η1(-e1)}

= Pn/a2 3/20 η2

σ322 ≥ e) = Pn/e3 3/20 η2

σ32 η2 = - Pn/a2 3/20 {s η2(-e)}

- ) η2 ∈ (0, 2a)

σ322) = Pn/a2 3/20 {s η2(-e)}

σ322 ≥ a) = Pn/a5 3/20 η2

a = Pn/a5 3/20

σ322 ≥ e) = Pn/a5 8/20

σ3n = σ3y 8

η3 ∈ (0,2a)

σ313) = Pn/a2 3/20 (s η32 - e))

= Pn/a5 3/20 (s η3 (20 - η3))

σ313 ≥ e) ⩰ Pn4/a25 3/40 = σdA3n = σdB3y

σ313 ≥ e) ⩰ Pna5/a5 8/10 + Pn/a3 3/40 {s (e (20 - e))}

3nAmax = σ3nC3n = Pn/a5 21/40 }

Settembre 2021

Esercizio 3

Calcolare σ32 nel punto

Risolv. Fisso un nastro comodo per il calcolo delle coordinate del centro di massa.

(b; y01; z1)

A0A = 3a + a + l (2a; e) = 7a2

y0o = 0

y0A = 5y4A = 60 63 a7a2

SyAA, ++ = 0 + 2 {20 2 (3 a) ( 3/ 23) = 60 2

Diamo un nastro inverso a+ idN presso (ol x1 x1) che il centro d'inerzia

IxAA = Ix + Im22 = {= 1/ 2 (3a)(a)3 + (2c)(e)( 6/7 a2) + 2 ( 7/12) (a)(b2) + (e)(1c) ( 3/ c1 12) }

= 1/ 12 3a4 + 108/ 49 a2 + 2/ 3 a4 + 81/82 a2 = 457/84 a4

* Utilizzamo l'algoritmo della corda 11 esercizio, subtituiti di volti un volte il insieme avvolgione dinave

η1 = (β1; o)

d32A) = p/ Ix2 ≈ - √59 ηA(MA) =

= ( p/ 9o ) 84/ 45 a2 { ++( 1)/ 23 { (e) (1c1) }

d32A-a) = {(D/ o5 84/ 45(7) = (e/ 12) 48/ 14 o)(2c)(a)

ηn ∈ (0,20)

σ32n) =

σ32n = 2a) = (-p/a2 42/457 ) ( 9/7 a2 ) = 408/457 = 0.36 p/a2

σ32n = 2/3 η2 a) = (-p/a2 42/457 ) 2 ( 2/3 a2 ) = 1587/6358 ~ 0.268 p/a2

σ32n = a) = (-p/a2 42/457 ) 2 ( 8/7 a2) = 86/457 p/a2 ~ 0.121 p/a2

Giugno 2023

Esercizio

1) Diagramma dello sforzo tangenziale

Fisso un sda centrale d'inerzia (0; x1, x2) e calcolo il momento d'inerzia

Ixxn = 1/12 5(|e2|(|e1|)3) = 1/12 {|2a|(|e3|)3} = 5/3 a4 =: In

Iyyn = 1/12 5 ( |3/2 (|e1 2) a4 (e1)/2 |e1| 2/3a4

Riesce il metodo dell'algoritmo della corso di Sovrasuck, adattato si volte a volte in massima unidiriscia opportuna

x1n1є(ŁżŖ)

d322) = -P/s1In - s1α2- -P/ai0 - 48/53 {24(σn) ( ηγ/2 1 (η)1/2 )}

d321Ɛż) = -P/ai 48/53a5 - u2 = P/ЦII 5/3qæð

x32 (ƃ) = P/aυ1n2

ɸ32 (η) = P/2 12/53 {o3 q3} 15/10g = P/ac

2 (Ц) ( c/ä ) = P/Ԙη [{-o3 1Ηη2 е3 ηγ2(ƐЯ)} ]

d32 (Ƃ) = P/2αIn { - ǝ3 +n3useq t12/16 } q2 } ф = P/foLn - 12/16c ц4г = 3f1/0

σz = (ρσzE)

σ (x1) = -ρa I2 [94α3 + θg212 - 1a)]

σ (a) = ρ3 I1 [3⁄2 (ε⁄2 I - 2ε)2] = -ρ3 I2 [3⁄2 I (ε⁄e)]

σ (a-x2) = -ρ3 I1 [3⁄2 I (ε⁄2e - 2a)] = -27124 I2 [5⁄4α3]= 271824 ρ⁄a2

tg2∊(g2)

θx (δx2 - a) = -ρe I2 [114α3] = 338 I2 [ρ⁄α2]

  • ρ
  • x2
  • xA
  • yA

I - a = (27124 IA- + 5106 I2 e1 - ρ⁄e)

ΕB = (3382 e4 + 46106 e1 e0 e1 ρ⁄α2)

Febbraio 2024

Pressione flessione

σ applicata su un pto. dell'asse di simmetria e = centro di pressione

M: asse neutro

  1. diagramma dello spe sforzo normale

σ: su un mol. conside per il ratlio della cross. bom infliu (b1; y1; y4) La strider poi essere pktata csìon un orb argo.

Ayk = (4a - 6e) - (2a - 12e) = 3Qa2

y4o = 0; y1 = 5y4h = = -3a3/ 13Q2 - - 1/6a

Y4g = o - (2o - 3e) - (e/2) - / = - 32a3

σ:no un per msm na il moarto sfr.

(0;x1;xk) dei xcentrali dmue-e

Iyk = Iym Iyn5 = 1/12 uno a(6σ)3 + (qa)(voc] (o2/6)2(3a) - 4 = - = 1/nn()(Q)2

E' un problema di presso-flessione.

Pe applicato nel punto c di coordinate (0; xc; c/2), si costruisce il momento risultante \(e1 e me = trasportato de forza nel centro d'inversa delle sezioni.

Il componente momento di trasporto vale

m_ = [(c-o) x n e3 = (c-o) x (-Pee3) = xc e/c/2 x (-Pee3) - xcc/c/2 e/c/2 x (-Pee3)]

H1 : = - xc c P

PROBLEMA DI PRESSO-FLESSIONE = FORZA NORMALE + FLESSIONE RETTA

1) CENTRO DI PRESSIONE

Sappiamo che la stressa normale è dato de

\[\sigma_{33}(x_2) = \frac{-P}{A} + \frac{M_{f_{1}} + J_{m}}{J_{a}\cdot c} x_2e_{-1}\]

\[= \frac{-P}{c/2} - xcP

=\frac{-P}{c/2} - \frac{2 xc cp/1_{31}a\cdot \tau^{4}}x_{2} \]

\[ \leftrightarrow \phantom{x} x_2 = -\frac{a^2_{213}}{36} \leftrightarrow \frac{1}{x_c} \]

-> x2 = -\frac{1\cdot 31 a^21}{36b}*1/xc

Le up in decurur el dem he equerent x2 = \frac{13}{6} a

\[\frac{13}{6}a\] : \[=\frac{1_{31}e^{2}_{-36}}\] \[1_{x_c}}\]

\[\Longrightarrow x_{2}c = \frac{1\cdot 31}{78}a,\] _ _*_=£107,a$

In decurur se el dem he equerent x2 = \frac{13}{6} a

\[\frac{13 \cdot -1}{6} a\] sol _ he equerent x2 = \frac{13}{6} a

13 6 a \cdot - a_{31}^{2} \]| 36

\[\Longrightarrow x_{2}c = \frac{1\cdot 31}{78}a, a/%>\] _ (a

\[\sigma_{33}(x_2) = - \frac{P}{c3*2} \text{ + \text{\ (mirteen less)}12}

\text{x2}\]

2)

DIAGRAMMA SFORZO NORMALE

3)

SFORZI TANGENTI

Sui bordi dello scavo:

σ'33 (18/6e) = f/38qe = σ'+max

σ'33 (-19/6e) = -5f/38qe = σ'-max

Esercizio

Flessione Uniforme

Risolvo

  1. Asse neutro della sezione

Fisso un s.r. (O; x1, x2) due l'centrale d'inerzia

Calcolous: momenti d'inerzia

Ix1 = 1/12 (2a)4 - 1/12 a ( a/l )3 = a4/12 ( 16/8 - 1/8 ) = 127/96 a4

Ix2 = 1/12 (2e)4 - 1/12 e (e)3 = 21/24 e4 = 126/96 e4

m = m/√2 e1 + m/√2 e2

σ33(xn, xt) = M1/In x2 - M2/I2 xn

σ33(xn, xt) = m/√2 l ( 1/In xt - 1/I2 xn )

σ33(xA, xL) =

σ33(xN xL) =

σ33(xn xL)

m/Vz(1/In - 1/IL) xn

S: asse di collocazione

  1. m σ33 ∅ => xL = IL/In xn - 17/124x1

m xL = nI/nlxn

  1. S: xL2 = xA

σ33(A) = σ33(a1, eI) = - 6024/3837√z m/e3

σ33(b) = σ33(-eL) = 6024/3837√z m/e3

Luglio 2023

Flessione non uniforme

1) Diagramma dello sforzo tangenziale sulle sezioni

Fisso un asse orizzontale: conviene per il calcolo del centro d'inerzia o

Aʹʺ = Aʹ + 3A = 3αs + 3(es) = 6αs

y₀ = 0 ; y₀ = -SyZ/Aʹʺ

Syʹʺ = Syʹʹ + 3SyZ = 0 + 3 {αs [(e/2)]} = 3/2 e ²s

yg = Syʹʺ/Aʹʺ = 3/2 e ²s / 6αs = e/4

Direi di poi scrivere solo il numero seno (0; x₁ x₂ xz) dei centrali d'inerzia

*Seguendo l'algoritmo della carris di sui quarsi * meccanismo di Taglio il profilo liu camentoe cade

Oposinamente lo sforeo puntuare sulle carrie con il mio ulato mediu

Anteprima
Vedrai una selezione di 4 pagine su 16
Esercizi svolti di Meccanica dei solidi sulla soluzione del problema elastico di De Saint Venant Pag. 1 Esercizi svolti di Meccanica dei solidi sulla soluzione del problema elastico di De Saint Venant Pag. 2
Anteprima di 4 pagg. su 16.
Scarica il documento per vederlo tutto.
Esercizi svolti di Meccanica dei solidi sulla soluzione del problema elastico di De Saint Venant Pag. 6
Anteprima di 4 pagg. su 16.
Scarica il documento per vederlo tutto.
Esercizi svolti di Meccanica dei solidi sulla soluzione del problema elastico di De Saint Venant Pag. 11
1 su 16
D/illustrazione/soddisfatti o rimborsati
Acquista con carta o PayPal
Scarica i documenti tutte le volte che vuoi
Dettagli
SSD
Ingegneria industriale e dell'informazione ING-IND/34 Bioingegneria industriale

I contenuti di questa pagina costituiscono rielaborazioni personali del Publisher airelav_1211 di informazioni apprese con la frequenza delle lezioni di Meccanica dei solidi e studio autonomo di eventuali libri di riferimento in preparazione dell'esame finale o della tesi. Non devono intendersi come materiale ufficiale dell'università Università degli Studi di Roma La Sapienza o del prof Nardinocchi Paola.
Appunti correlati Invia appunti e guadagna

Domande e risposte

Hai bisogno di aiuto?
Chiedi alla community