Estratto del documento

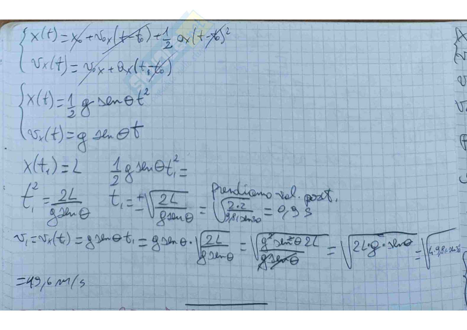
{ x(t) = x0 + v0x (t - t0) +

vx(t) = v0x + ax(t - t0)

{ x(t) = 1/2 g sen Θ t2

vx(t) = g sen Θ t

x(t1) = 2

t12 = 2l/g sen Θ

1/2 g sen Θ t12 =

t1 = ± radic; 24/g sen Θ

v1 = vx(t1) = g sen Θ t1 = g sen Θ

= 49.6

∑F = m · a̅

fp⃗ N⃗ + Fr⃗ = m · a̅

Fp⃗ = |Fp| senθ x̂ - mg senθ

Fpy⃗ = - |Fp| cosθ - mg cosθ

E⃗ = - mg senθ x̂ - mg cosθ ŷ

e1 =

N⃗ = |N| ŷ

Fr⃗ =

|Fr| x̂ = rul+ril x̂

a̅ = ax̂ x̂

- mg senθ x̂ - mg cosθ ŷ + N⃗ · ŷ + Fr⃗ . N⃗ x̂ = m a̅ x̂

lungo x: - mg senθ = rul⟹ N = max ⟹ - mg senθ - rul· mg cosθ = max

lungo y: - mg cosθ + N⃗ = 0 ⟹ N⃗ = mg cosθ

ax = g senθ - rul g cosθ = - g (sen θ + rul cosθ) < 0 ax = const.

x(t) = x0 + v0 t0 + 1/2 ax (t-t0)2 = v0 t + 1/2 ax t2

v(t) = v0 t (t0) x = v0 ± ax t

v(t1) ⟹ 0 ⟹ v0 + ax t1 ⟹0 ⟹ art⟹ ast .

t1 = v0 / ax = v0 / g(sen θ + rul cosθ)

L = x(t1) = v0 t1 + 1/2 ax t2 = \sqrt{v02 / ax} ⟹1/2 ax (v0 / ax)2

= - v02 / ax 1/2 αx v02 / α1x = v02 / αx (-1+1 / 2ŷ) = -1 / 2 v02 / αx = -1/2 v02 / αx

L = 1/2 v02 / g(sen θ + rul cosθ) =

es. 1

X

|Fe| ≤ μs|N|

P = -|FP|Ŷ = -mgŶ

N̅ = |N|X̂

o = -|Fo|X̂

as = |Fe|Ŷ

P + N̅ + F̅o + F̅as = 0̅

= -mgŶ + |N|X̂ - |Fo|X̂ + |Fe|Ŷ = 0̅

lungo x : |N| - |Fo| = 0 ⇒ |N| = |Fo|

lungo y : -mg + |Fe| = 0 ⇒ |Fe| = mg

mg ≤ μs|Fo|

⇒ Fo > mg / μs

sostituisco in "|Fo| ≤ μs|N|"

FP + N + Ff = 0

FPx = |FP|senθ - μs|N|

FPy = -|FP|cosθ = -|N|cosθ

N = |N|.ŷ

Ff = -|Ff|.ẋ

-|Ff| ≤ μs|N| ⇒ -μs|N| ≤ |Ff| ≤ 0

-|Ff| ⇒ lungo x, -|Ff| = 0

|Ff| = μsmg senθ

lungo y: -mg cosθ + |N| = 0 ⇒ |N| = mg cosθ

|Ff| ≤ μs|N| ⇒ mg senθ ≤ μsmg cosθ

senθ ≤ μscosθ essendo θ compresa tra 0 e π/2 posso dire di cosθ > 0, quindi

divido per cosθ:

tgθ ≤ μs

θ ≤ arctgμs.

Se θ supera questo valore il corpo inizia a scivolare

1° corpo

FP + N1 + T2 + Fa = 0 = -m1gY + NX + TX - FaX = 0

2° corpo

FP2 + T2 = 0 = -m2gG + TY = 0

1°: lungo x: - F = Fa = 0

lungo y: -m1g + IN = 0

Fa( ≤ 0 ➔ Fa = mg

N = m1g

m2 max e proprio μsm

2°: lungo y: -m2g + T = 0 ➔ T = m2g

ora sostituisco in Fa ≤ μs N

m2g ≤ μs m1g

m2 ≤ μsm

Fp2 + N + F{g2} + F{a} = m2ay2

mg - Fs + T = max

dx1 = dy2 sono opposti

dt

dt

dx1

dt

dt

dx1

dt

-m1g + T = m1ax

mg - T = may

- m2g + T = m2( - ay)

T = m2g - m2ax

m2g = m2ay = m1ax

T = m1g

mg - Fs + m1g - (m1 + m2)ax

ax = (m2g - Fs - m1g) ÷

m2g + Fs − m1g

{fFc1 - mg}x + N1(1- |fFc1|X = |fFe1|X = mrax X

{ -m2g}x + N2(-fFo2)x + |fFe1|Xx = m2ax X

|fFc1| = |fD|; |N1|

fFo2| = ∫fDN2

lungo x: [fFo1 - _μo1|N1| - |fFe|=m1ax

lungo y : - mg} + |N1| = 0 -> |N1| = mg}

lungo x: - _μd N2| + [fFo]1/2 |em2ax

lungo y : -m2g + [N2|=0 =>

[|Fo| / |d mg } - |Fe| = |m1ax

- |dmg} + |Fe|= m2ax

= |f.... _μdmg } + [_μd mg}∫Fc| = |(m1+m2)} ax

= |f]o-_μd(m1g × (m1+mm2)g

+ {fFc}= ... (m1+m2) a

ax= [Fo - _μd(m1+m2)}

[Fc= 2m2ax+_μdmg}g

m= |Fo - _μd(m1+mm2

Anteprima
Vedrai una selezione di 11 pagine su 47
Esercizi d'esame svolti Fisica  Pag. 1 Esercizi d'esame svolti Fisica  Pag. 2
Anteprima di 11 pagg. su 47.
Scarica il documento per vederlo tutto.
Esercizi d'esame svolti Fisica  Pag. 6
Anteprima di 11 pagg. su 47.
Scarica il documento per vederlo tutto.
Esercizi d'esame svolti Fisica  Pag. 11
Anteprima di 11 pagg. su 47.
Scarica il documento per vederlo tutto.
Esercizi d'esame svolti Fisica  Pag. 16
Anteprima di 11 pagg. su 47.
Scarica il documento per vederlo tutto.
Esercizi d'esame svolti Fisica  Pag. 21
Anteprima di 11 pagg. su 47.
Scarica il documento per vederlo tutto.
Esercizi d'esame svolti Fisica  Pag. 26
Anteprima di 11 pagg. su 47.
Scarica il documento per vederlo tutto.
Esercizi d'esame svolti Fisica  Pag. 31
Anteprima di 11 pagg. su 47.
Scarica il documento per vederlo tutto.
Esercizi d'esame svolti Fisica  Pag. 36
Anteprima di 11 pagg. su 47.
Scarica il documento per vederlo tutto.
Esercizi d'esame svolti Fisica  Pag. 41
Anteprima di 11 pagg. su 47.
Scarica il documento per vederlo tutto.
Esercizi d'esame svolti Fisica  Pag. 46
1 su 47
D/illustrazione/soddisfatti o rimborsati
Acquista con carta o PayPal
Scarica i documenti tutte le volte che vuoi
Dettagli
SSD
Scienze fisiche FIS/01 Fisica sperimentale

I contenuti di questa pagina costituiscono rielaborazioni personali del Publisher Marco.0204 di informazioni apprese con la frequenza delle lezioni di Fisica e studio autonomo di eventuali libri di riferimento in preparazione dell'esame finale o della tesi. Non devono intendersi come materiale ufficiale dell'università Università della Calabria o del prof Malara Francesco.
Appunti correlati Invia appunti e guadagna

Domande e risposte

Hai bisogno di aiuto?
Chiedi alla community