Anteprima
Vedrai una selezione di 3 pagine su 7
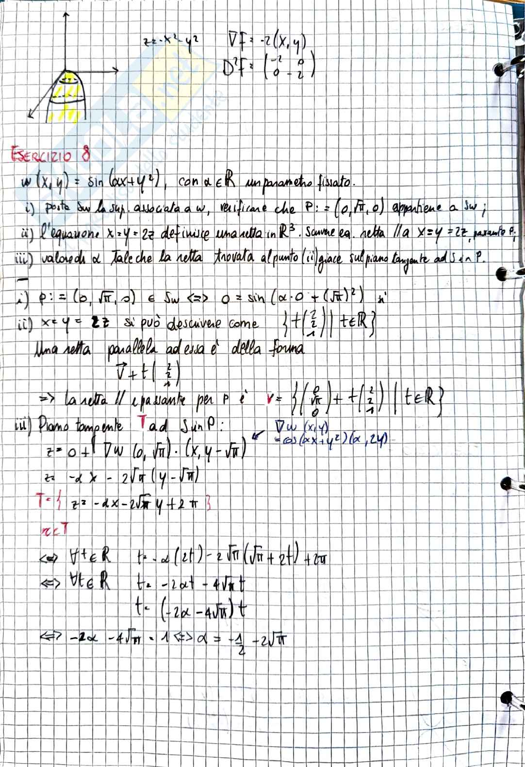
Analisi matematica 2: esercizi svolti su gradiente, hessiana e derivabilità Pag. 1 Analisi matematica 2: esercizi svolti su gradiente, hessiana e derivabilità Pag. 2
Anteprima di 3 pagg. su 7.
Scarica il documento per vederlo tutto.
Analisi matematica 2: esercizi svolti su gradiente, hessiana e derivabilità Pag. 6
1 su 7
D/illustrazione/soddisfatti o rimborsati
Acquista con carta o PayPal
Scarica i documenti tutte le volte che vuoi
Dettagli
SSD
Scienze matematiche e informatiche MAT/05 Analisi matematica

I contenuti di questa pagina costituiscono rielaborazioni personali del Publisher fedilorenzo di informazioni apprese con la frequenza delle lezioni di Analisi Matematica 2 e studio autonomo di eventuali libri di riferimento in preparazione dell'esame finale o della tesi. Non devono intendersi come materiale ufficiale dell'università Università degli Studi di Firenze o del prof Giovannardi Gianmarco.
Appunti correlati Invia appunti e guadagna

Domande e risposte

Hai bisogno di aiuto?
Chiedi alla community