Anteprima
Vedrai una selezione di 3 pagine su 9
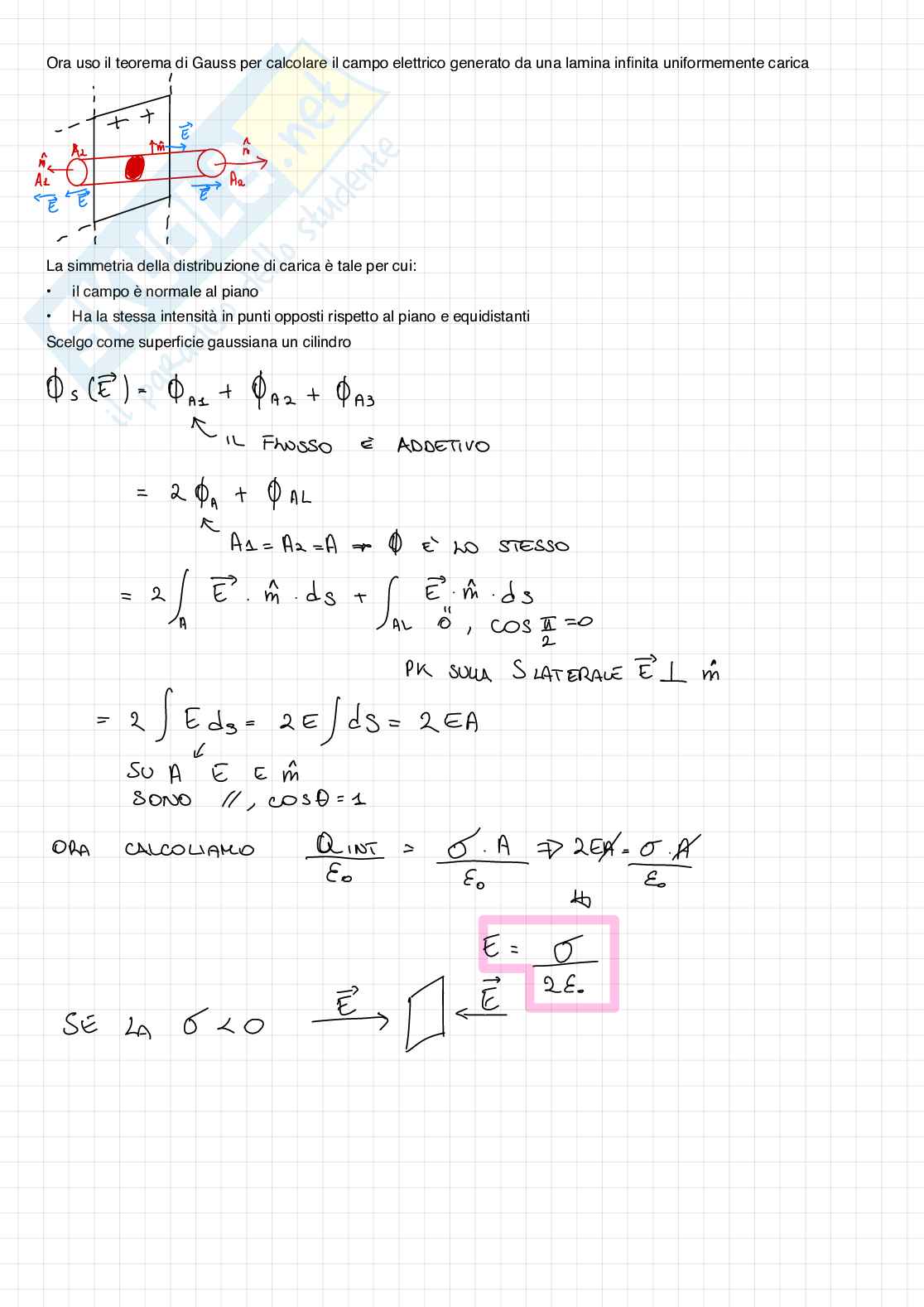
Teoria elettromagnetismo  Pag. 1 Teoria elettromagnetismo  Pag. 2
Anteprima di 3 pagg. su 9.
Scarica il documento per vederlo tutto.
Teoria elettromagnetismo  Pag. 6
1 su 9
D/illustrazione/soddisfatti o rimborsati
Acquista con carta o PayPal
Scarica i documenti tutte le volte che vuoi
Dettagli

I contenuti di questa pagina costituiscono rielaborazioni personali del Publisher Shiiroo06 di informazioni apprese con la frequenza delle lezioni di Fisica con elementi di statistica e studio autonomo di eventuali libri di riferimento in preparazione dell'esame finale o della tesi. Non devono intendersi come materiale ufficiale dell'università Università degli Studi di Roma La Sapienza o del prof Voena Cecilia.
Appunti correlati Invia appunti e guadagna

Domande e risposte

Hai bisogno di aiuto?
Chiedi alla community