Anteprima
Vedrai una selezione di 7 pagine su 30
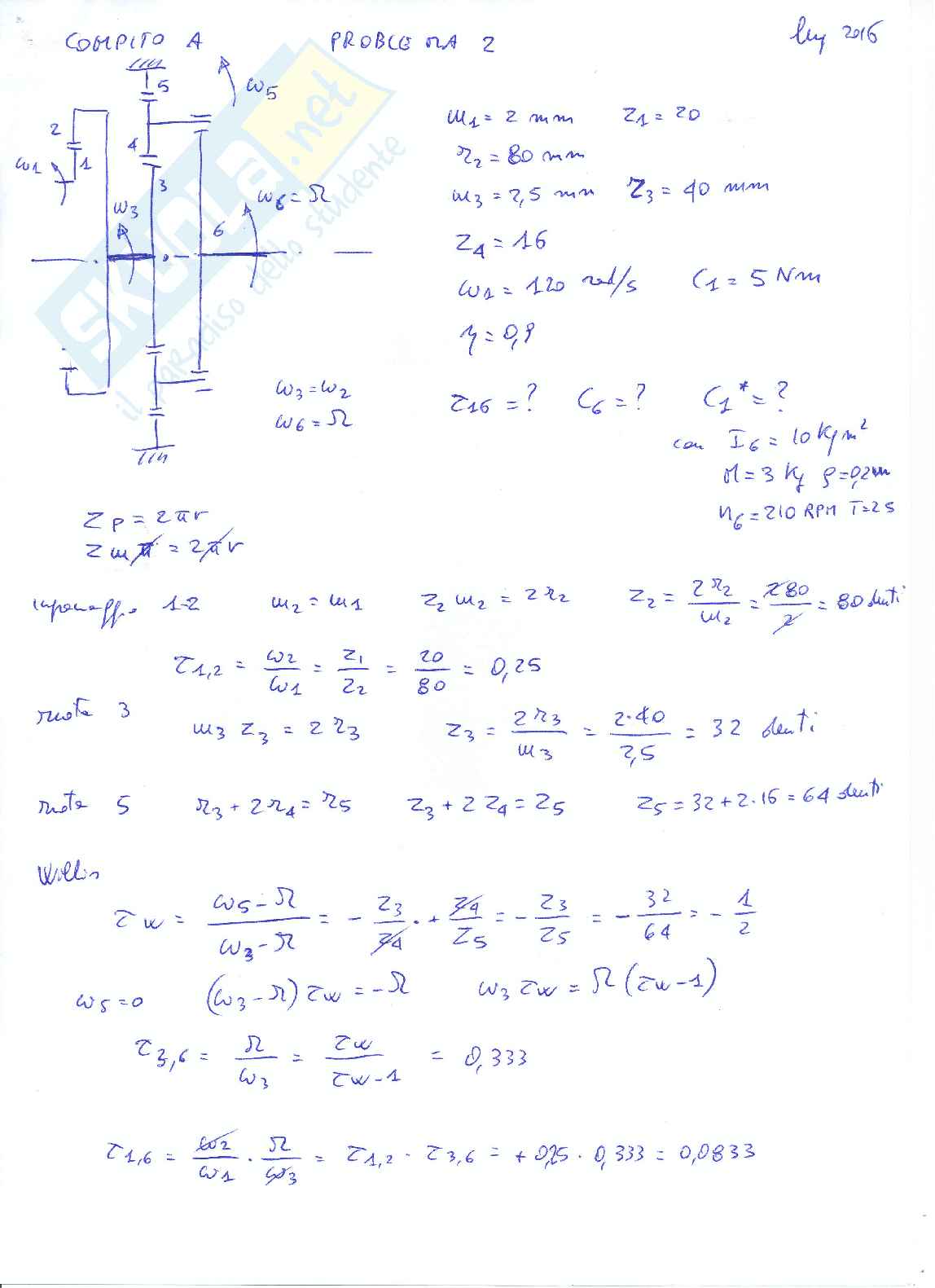
Temi d'esame svolti Meccanica delle macchine Pag. 1 Temi d'esame svolti Meccanica delle macchine Pag. 2
Anteprima di 7 pagg. su 30.
Scarica il documento per vederlo tutto.
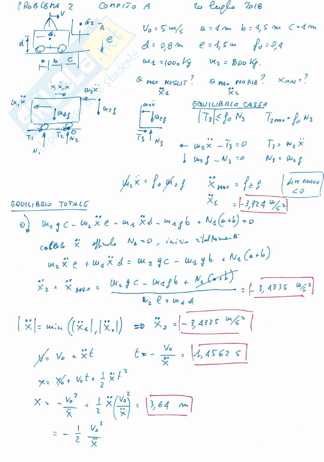
Temi d'esame svolti Meccanica delle macchine Pag. 6
Anteprima di 7 pagg. su 30.
Scarica il documento per vederlo tutto.
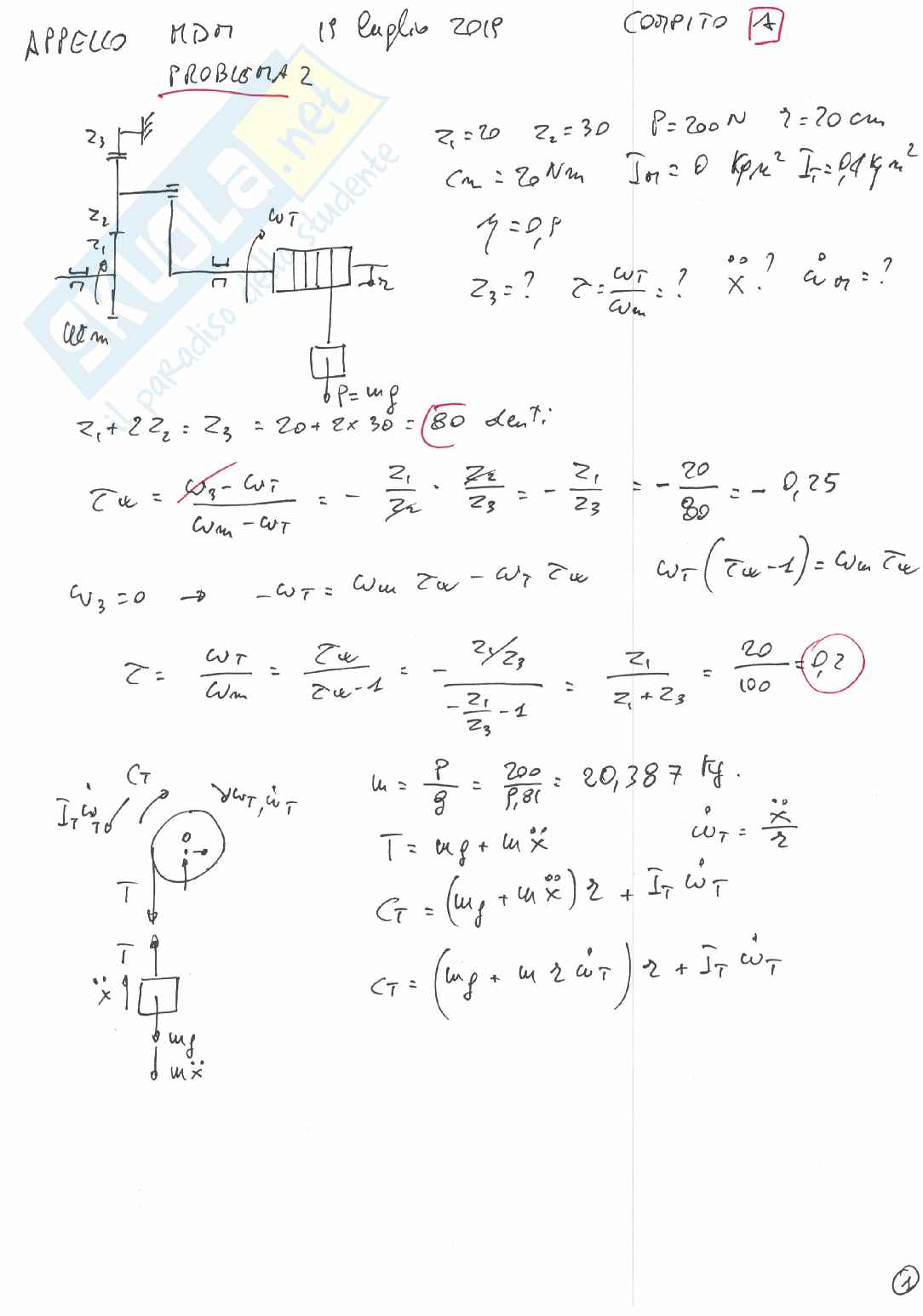
Temi d'esame svolti Meccanica delle macchine Pag. 11
Anteprima di 7 pagg. su 30.
Scarica il documento per vederlo tutto.
Temi d'esame svolti Meccanica delle macchine Pag. 16
Anteprima di 7 pagg. su 30.
Scarica il documento per vederlo tutto.
Temi d'esame svolti Meccanica delle macchine Pag. 21
Anteprima di 7 pagg. su 30.
Scarica il documento per vederlo tutto.
Temi d'esame svolti Meccanica delle macchine Pag. 26
1 su 30
D/illustrazione/soddisfatti o rimborsati
Acquista con carta o PayPal
Scarica i documenti tutte le volte che vuoi
Dettagli
SSD
Ingegneria industriale e dell'informazione ING-IND/13 Meccanica applicata alle macchine

I contenuti di questa pagina costituiscono rielaborazioni personali del Publisher Lore0302 di informazioni apprese con la frequenza delle lezioni di Meccanica delle macchine e studio autonomo di eventuali libri di riferimento in preparazione dell'esame finale o della tesi. Non devono intendersi come materiale ufficiale dell'università Politecnico di Torino o del prof Pastorelli Stefano.
Appunti correlati Invia appunti e guadagna

Domande e risposte

Hai bisogno di aiuto?
Chiedi alla community