Estratto del documento

Applicazioni Lineari

Siano U e V due K-spazi vettoriali arbitrari. Un' applicazione lineare è una funzione F: U → V tale che

F(λ 1 v 1 + μ v 2) = λ F(v 1) + μ F(v 2)

∀ v 1, v 2 ∈ U e ∀ λ, μ ∈ V

Notazione: L'insieme di tutte le applicazioni lineari da U a V si denota con HomK(U, V):

HomK(U, V) = {F: U → V | F è lineare}

Applicazioni Lineari tra Spazi di Colonne

Sia F ∈ HomK che va da Km e |Km. F: Km → |Km. Allora, per ogni v ∈ Km si ha

F(v) = F(μ1 e 1 + μ2 e 2 + … + μm e m) =

che per linearità è

= μ1 F(e 1) + μ2 F(e 2) + … + μm F(e m)

Si può scrivere quindi F(v) = MF v

dove MF = (F(e 1), F(e 2), …, F(e m)) è la matrice formate da m colonne. Quindi

(MF v = μ1 F(e 1) + … + μm F(e m))

Applicazioni lineari

Siano U e V due K-spazi vettoriali arbitrari. Un'applicazione lineare è una funzione F: U → V tale che

F(λv1 + μv2) = λF(v1) + μF(v2)

∀ v1, v2 ∈ U e ∀ λ, μ ∈ K.

Notazione: L'insieme di tutte le applicazioni lineari da U a V si denota con HomK(U, V):

HomK(U, V) = { F: U → V | F è lineare }

Applicazioni lineari tra spazi di colonne

Sia F ∈ HomK che va da Km e Km, F: Km → Km. Allora, per ogni v ∈ Km si ha

F(v) = F(μ1e1 + μ2e2 + ... + μmem)

che per linearità è

= μ1F(e1) + μ2F(e2) + ... + μmF(em)

Si può scrivere quindi F(v) = MF.v

dove MF = (F(e1), F(e2), ..., F(em)) è la matrice formata da m colonne. Quindi

MF.v = μ1F(e1) + ... + μmF(em)

Una matrice A ∈ Km×m induce un'applicazione lineare

A : Km → Km

̅ ⃗ ↦ A ̅ ⃗

Infatti, per ogni coppie ̅ ⃗, ̅ ⃗ ∈ Km e ogni , ∈ K, infatti:

A( ̅ ⃗ + ̅ ⃗) = ∑j=1m( ̅ ⃗(j) + ̅ ⃗(j)) j(A) =

= ∑j=1m ̅ ⃗(j) j(A) + ∑j=1m ̅ ⃗(j) j(A) =

= A ̅ ⃗ + A ̅ ⃗

Tutte le applicazioni lineari da Km e Km sono ottenute moltiplicando vettori di Km per una matrice A ∈ Km×m

Ad. Es.

Si consideri la funzione F : K4 → K3 definito da

F ( x y ⃗)t =

( x+y -2 ⃗+3t 2x+y -2 t y -t)

può essere scritta come

( x y ⃗ t ) → ( 1 -2 3 0 2 1 -1 0 0 1 -4 ) ( x y ⃗ t )

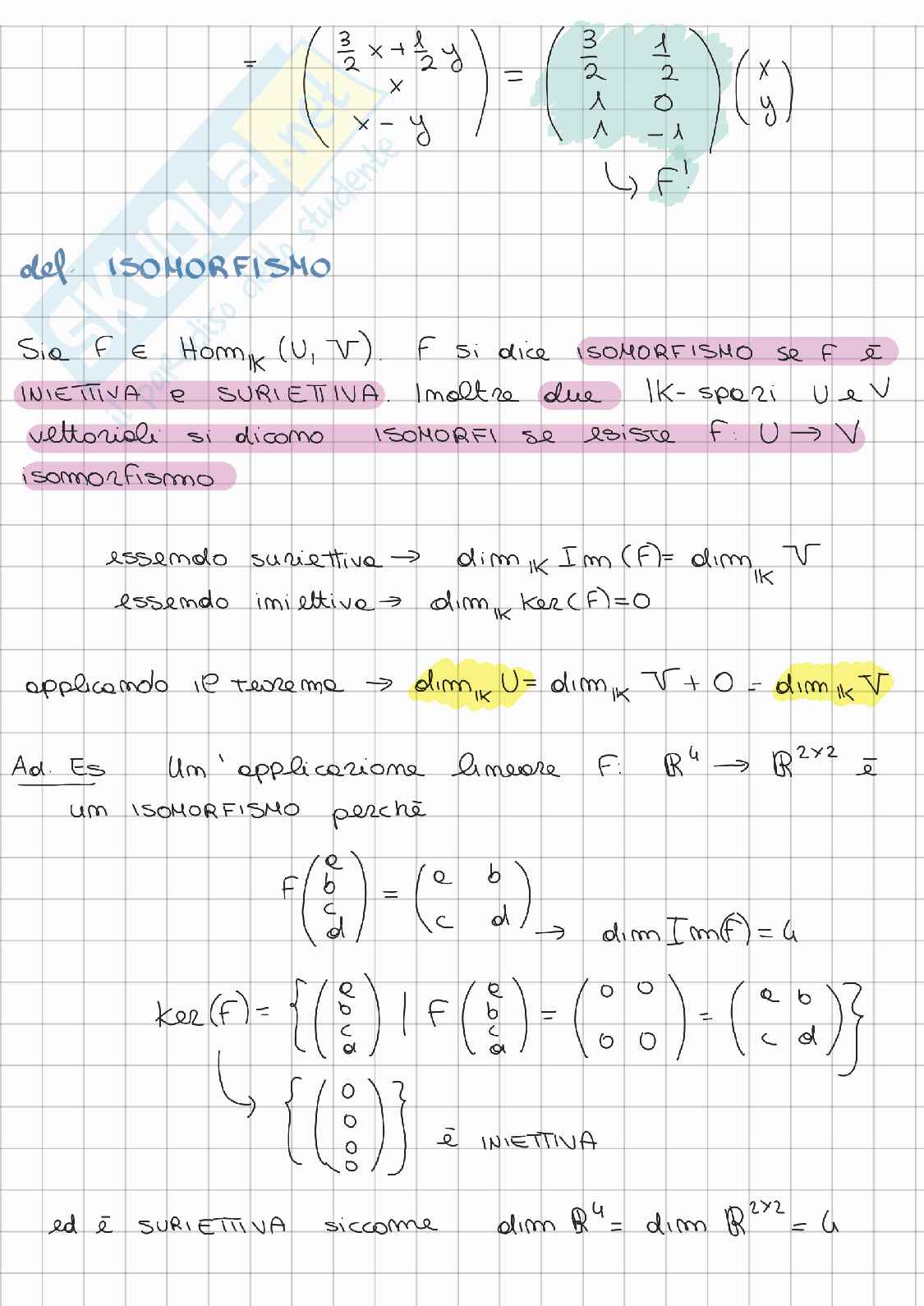
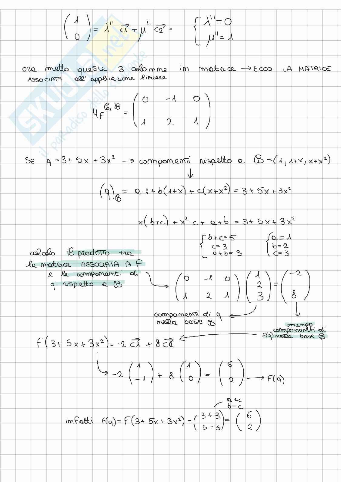
Immagine e nucleo di un'applicazione lineare

Sia F ∈ HomK (U,V), l'insieme

Im F = { F( ⃗) ∈ V | ⃗ ∈ U }

è un sottoinsieme di V ed è detto immagine di F, è cioè l'insieme delle immagini di V di tutti i vettori di U.

Sia F ∈ HomK(U). L'insieme

ker(F) = { u ∈ U | F(u) = 0V }

è un sottoinsieme di U chiamato nucleo dell'

Proposizione ∀ F ∈ HomK(U, V) il nucleo ker(F) è un sottospazio vettoriale di U, l'immagine Im(f) è un sottospazio vettoriale di V

ker(F) ∈ G(U) Im(F) ∈ G(V)

ahm ➔ siamo u1, u2 ∈ ker(F) Allora, ∀ λ, μ ∈ K, si ha:

λu1 + μu2 ∈ ker(F) perché ⇒

F(λu1 + μu2) = λF(u1) + μF(u2) = 0V

⏐ 0V

⏐ 0V

Allora ker(F) è sottospazio di U

Per l'immagine, siamo v1 e v2 ∈ Im(F) Per definizione esistono due vettori u1, u2 ∈ U | F(u1

Anteprima
Vedrai una selezione di 7 pagine su 28
Riassunto esame Algebra lineare e geometria, Prof. Gatto Letterio, libro consigliato Lezioni di Algebra lineare e geometria, Gatto Pag. 1 Riassunto esame Algebra lineare e geometria, Prof. Gatto Letterio, libro consigliato Lezioni di Algebra lineare e geometria, Gatto Pag. 2
Anteprima di 7 pagg. su 28.
Scarica il documento per vederlo tutto.
Riassunto esame Algebra lineare e geometria, Prof. Gatto Letterio, libro consigliato Lezioni di Algebra lineare e geometria, Gatto Pag. 6
Anteprima di 7 pagg. su 28.
Scarica il documento per vederlo tutto.
Riassunto esame Algebra lineare e geometria, Prof. Gatto Letterio, libro consigliato Lezioni di Algebra lineare e geometria, Gatto Pag. 11
Anteprima di 7 pagg. su 28.
Scarica il documento per vederlo tutto.
Riassunto esame Algebra lineare e geometria, Prof. Gatto Letterio, libro consigliato Lezioni di Algebra lineare e geometria, Gatto Pag. 16
Anteprima di 7 pagg. su 28.
Scarica il documento per vederlo tutto.
Riassunto esame Algebra lineare e geometria, Prof. Gatto Letterio, libro consigliato Lezioni di Algebra lineare e geometria, Gatto Pag. 21
Anteprima di 7 pagg. su 28.
Scarica il documento per vederlo tutto.
Riassunto esame Algebra lineare e geometria, Prof. Gatto Letterio, libro consigliato Lezioni di Algebra lineare e geometria, Gatto Pag. 26
1 su 28
D/illustrazione/soddisfatti o rimborsati
Acquista con carta o PayPal
Scarica i documenti tutte le volte che vuoi
Dettagli
SSD
Scienze matematiche e informatiche MAT/02 Algebra

I contenuti di questa pagina costituiscono rielaborazioni personali del Publisher Vittiorsi05 di informazioni apprese con la frequenza delle lezioni di Algebra lineare e geometria e studio autonomo di eventuali libri di riferimento in preparazione dell'esame finale o della tesi. Non devono intendersi come materiale ufficiale dell'università Politecnico di Torino o del prof Gatto Letterio.
Appunti correlati Invia appunti e guadagna

Domande e risposte

Hai bisogno di aiuto?
Chiedi alla community