Estratto del documento

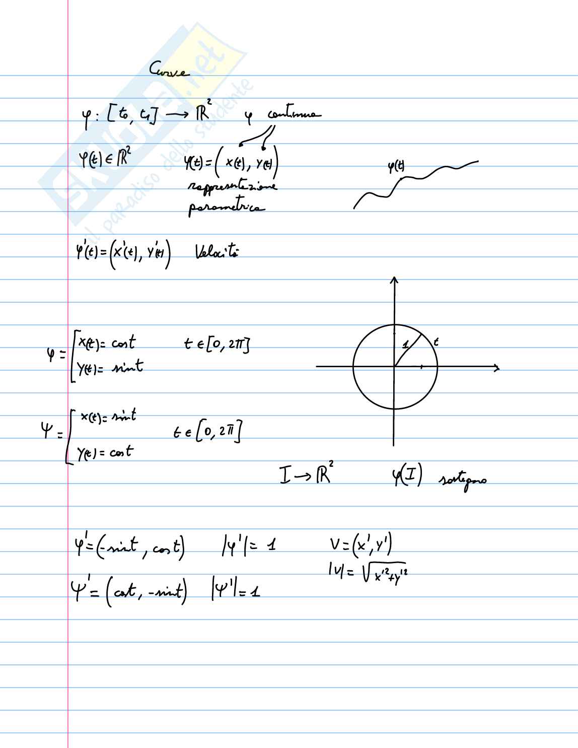
Curve

φ : [t₀, t₁] → ℝ²

ψ continua

ψ(t) ∈ ℝ²

  • γ(t) = (x(t), y(t))
  • rappresentazione parametrica
  • γ(t)
  • γ'(t) = (x'(t), y'(t))
  • Velocità
  • φ =

    x(t) = cos(t)

    y(t) = sin(t)

    t ∈ [0, 2π]

  • ψ =

    x(t) = sin(t)

    y(t) = cos(t)

    t ∈ [0, 2π]

I → ℝ²

ψ(I) sostegno

  • φ' = (-sin(t), cos(t))
  • |φ'| = 1
  • ψ' = (cos(t), -sin(t))
  • |ψ'| = 1
  • ν = (x', y')
  • |ν| = √(x'² + y'²)

Curve

ψ : [t0, t1] → ℝ2

ψ continua

ψ(t) ∈ ℝ2

γ(t) = (x(t), y(t))

rappresentazione parametrica

ψ'(t) = (x'(t), y'(t))

Velocità:

γ = { x(t) = cos t

y(t) = sin t

t ∈ [0, 2π] }

γ = { x(t) = sin t

y(t) = cos t

t ∈ [0, 2π] }

I → ℝ2

ψ(I) sostegno

ψ' = (-sin t, cos t) |ψ'| = 1

ψ' = (cos t, -sin t) |ψ'| = 1

V = (x', y')

|V| = √(x'2 + y'2)

ψ(t) = | | x(t) = t in t | y(t) = cost | t ε [0, 2π]

Def curva semplice

ψ: [0, c] I → ℝ2

φ è semplice se t, τ ε [0, c]

ψ(t) ≠ ψ(τ)

φ: [a, b] → ℝ2 curva

Def curva chiusa se ∃(a) = ψ(b)

φ(t) = (x(t), y(t)) ℝ ℝ

f(x): [a, b] → ℝ

| x(t) = t | y(t) = f(t) | t ε [a, b]

x ∉ f in [a, b]

? , ?

mi assicura che il sostegno non ha "spigoli"?

, ∈

e

=

curva

regolare

− ()

− ()

− ()

− ()

=

− ()

− ()

=

, − ←

− () − () − ()

− ()

=

− () ()

− () ()

= ap. Retta tangente

: =

=

: →

− () ()

− () ()

=

,

=

− () − ()

= (, )

(, )

,

⊥ alla retta

Vettore tangente x', y'

Vettore tangente

Cicloide

x(t) = a (t - sin t) a raggio t ongolo

y(t) = a (1 - cos t)

x'(t) = a (1 - cos t) y'(t) = a sin t

x'2 + y'2 = a2[(a-acost) + sin2t] = 2a2[1 - cost] ≠ 0

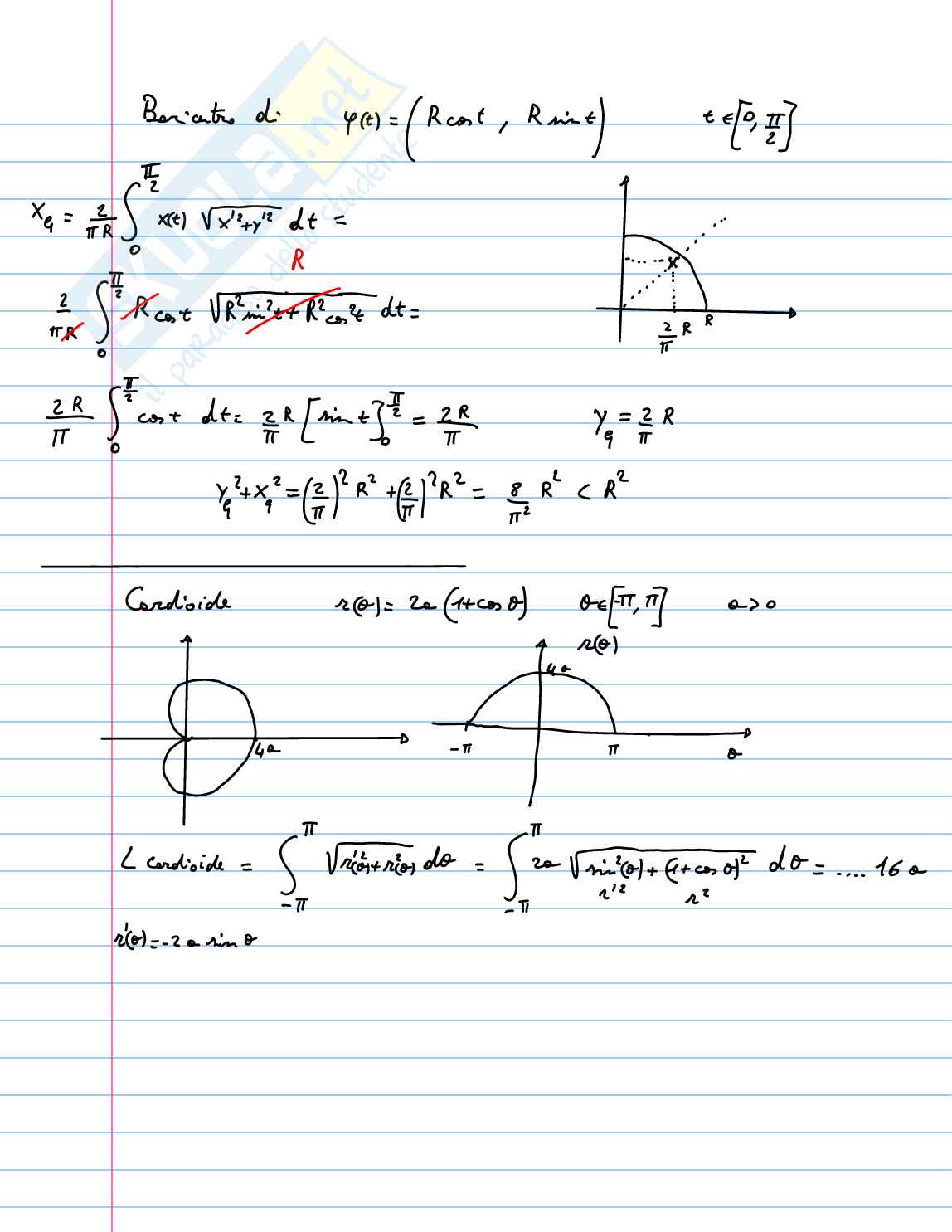
r(θ) θ ∈ I rappresentazione polare

ψ:

  • x(θ) = r(θ) cosθ
  • y(θ) = r(θ) sinθ

Spirale Archimede

r(θ) = a + θ a > 0 θ ∈ R+

x2 + y2 = (|r - acosθ - 2asinθ)2 + (1/2asinθ + 2acosθ)2 =a2(1 + θ2) ≠ 0 ∀_∈ θ

r(θ): R

θ ∈ [0, 2π]

X(t) = R cos t

Y(t) = R sin t

circonferenza di raggio R

f : [a, b] → ℝ

ψ = |x(t) = t

|y(t) = f(t)

(y - f(t0)) f'(t0) - (x - t0) f'(t0) = 0

eq. retta tangente

y = f'(t0)(x - t0) + f(t0)

(x - 1)2 + y2 = 1

circ. di centro

(1, 0) e raggio 1

x(θ) = r(θ) cos θ

y(θ) = r(θ) sin θ

(R cos θ - 1)2 + r2 sin2 θ = 1

r2 - 2r cos θ = 0

r = 2 cos θ

θ ∈ [-π/2, π/2]

Rocorose

r=R0sin(mθ)

m=2R0=1

Strofoide

[x] [t2-1][y] [t2-1]

f(x,y)=e(x-y)3

max e min assoluti in [0,1]x[0,1]

fx=0 fy=0

3(x-y)2e(x-y)3=0

=> -3(x-y)2e(x-y)3=0

x=y

0,1

1,1

1,0

put. di sella

∆fi=f(x,y)-f(x,x)=e(x-y)3-1>0 => (x-y)2 >0 => x>y

  1. x(t)=t

    y(t)=0

    t∈[0,1]

    g(t)=f(x(t),y(t))=et3

    t:0 put. di min

    t:1 put. di max

  1. (0,0)
  2. (1,0)
  3. (1,1)
  4. (0,1)

g(t)=f(x(t),y(t))=e(1-t)3

g'(t)=3(1-t)2e(1-t)3(t-1)3

  1. x(t)=0

    y(t)=t

    t∈[0,1]

    g(t)=e-t3 decrescente

  2. y(t)=t

    x(t)=t

    t∈[0,1]

    g(t)=e(t-1)3 crescente

max f=f(1,0)=e

min f=f(0,1)=1/e

f(x,y) = x4 - y3

  1. Punti stazionari in ℝ2
  2. Estremi assoluti in [-1,1] x [-1,1]

Df = 0 =>

  • fx = 0
  • fy = 0
=> (x,y) = (0,0)

Δf = f(x,y) - f(0,0) = x4 - y3 ≥ 0 => y ≤ ʸ√x4

(0,0) = punto di Sella

Dallo studio di f nella frontiera di [-1,1] x [-1,1]

f(0,1) = -1

f(0,-1) = 1

(0,1) punto di minimo assoluto

f(-1,-1) = f(1,-1) = 2

(1,-1) e (-1,-1) punti di massimo assoluto

f(x,y)=y2x-y5+3y2

Definire i punti stazionari

Df=0=>

{

y2=0

{

2xy-5y4+6y=0

=> y=0

(x,0) retta di punti stazionari

Hf(x,0) = 0

Δf(x,y)=f(x,y)-f(x,0)=

= y2(x-y3+3) > 0

punti di minimo

(x,0) x>-3

(-3,0)

punti di massimo

(x,0) x<-3

(-3,0) punto di sella

x>y3-3

f(x,y) = x2 - 3y4 + y6

i) Determinare estremi relativi

ii) Determinare max e min assoluti in x2 + y2 2x = 0 => x = 0

fy = 0 => -6y3 + 6y5 = 0 => y = 0 oppure y2 = 1

I punti di estremo relativo sono (0,0) (0,1) (0,-1)

Hp(x,y) = fxxfyy - fxy2 = 2(30y4 - 6) = Hp(0,0) = -12 < 0

Hp(0,1) = Hp(0,-1) = 48 > 0

fxx = 2 > 0 => (0,1) e (0,-1) sono punti di min relativo

(0,0) punto di sella

Su x2 + y2 = 1 si ha f(x,y) = 1 - 4y2 + y6

(1-4y2 + y6)' = -8y +6y5

Anteprima
Vedrai una selezione di 9 pagine su 37
Curve di Dini Pag. 1 Curve di Dini Pag. 2
Anteprima di 9 pagg. su 37.
Scarica il documento per vederlo tutto.
Curve di Dini Pag. 6
Anteprima di 9 pagg. su 37.
Scarica il documento per vederlo tutto.
Curve di Dini Pag. 11
Anteprima di 9 pagg. su 37.
Scarica il documento per vederlo tutto.
Curve di Dini Pag. 16
Anteprima di 9 pagg. su 37.
Scarica il documento per vederlo tutto.
Curve di Dini Pag. 21
Anteprima di 9 pagg. su 37.
Scarica il documento per vederlo tutto.
Curve di Dini Pag. 26
Anteprima di 9 pagg. su 37.
Scarica il documento per vederlo tutto.
Curve di Dini Pag. 31
Anteprima di 9 pagg. su 37.
Scarica il documento per vederlo tutto.
Curve di Dini Pag. 36
1 su 37
D/illustrazione/soddisfatti o rimborsati
Acquista con carta o PayPal
Scarica i documenti tutte le volte che vuoi
Dettagli
SSD
Scienze matematiche e informatiche MAT/05 Analisi matematica

I contenuti di questa pagina costituiscono rielaborazioni personali del Publisher gianniadone di informazioni apprese con la frequenza delle lezioni di Analisi 2 e studio autonomo di eventuali libri di riferimento in preparazione dell'esame finale o della tesi. Non devono intendersi come materiale ufficiale dell'università Università degli studi di Napoli Federico II o del prof Rossi Enrica.
Appunti correlati Invia appunti e guadagna

Domande e risposte

Hai bisogno di aiuto?
Chiedi alla community