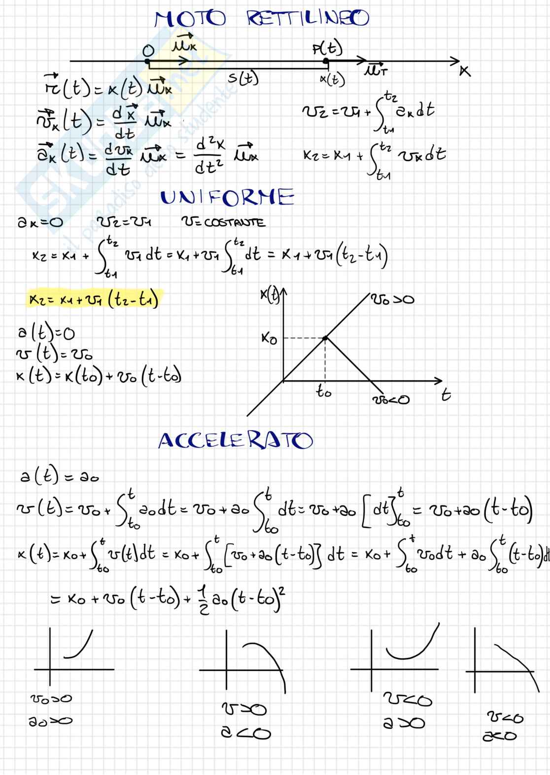
Estratto del documento

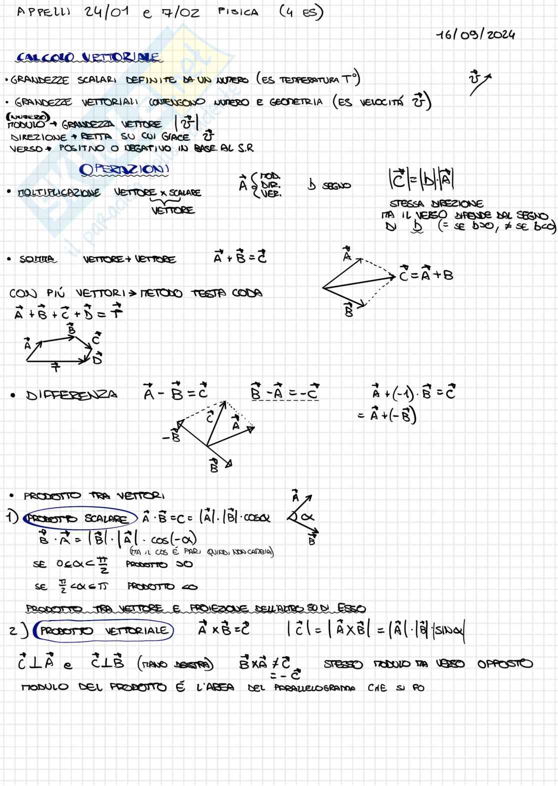
Calcolo vettoriale

  • Grandezze scalari: definite da un numero (es temperatura)
  • Grandezze vettoriali: contengono numero e geometria (es velocità)
    • Modulo, grandezza vettore
    • Direzione e retta su cui giace
    • Verso positivo o negativo in base al S.R.

Operazioni

  1. Moltiplicazione vettore x scalare vettore
  2. Somma vettore + vettore

Con più vettori | metodo testa coda

Sottrazione vettore + vettore

Prodotto tra vettori

  1. Prodotto scalare A · B = C = |A|·|B|·cosα B · A = (A)(B)(cos(-α)) Se 0 ≤ α ≤ π Prodotto ≥ 0 Se π < α ≤ 2π Prodotto < 0
  2. Prodotto vettoriale A x B = C |C| = |A x B| = |A|·|B| |sinα|

Modulo del prodotto è l'area del parallelogramma che si forma

Appelli 24/01 e 7/02 Fisica (4 es)

16/09/2024

Calcolo vettoriale

  • Grandezze scalari: definite da un numero (es temperatura T0)
  • Grandezze vettoriali: contengono numero e geometria (es velocità )

Modulo

Direzione è retta su cui giace

Verso = positivo o negativo in base al s.r.

Operazioni

  1. Moltiplicazione vettore X scalare

    • Vettore

    Stessa direzione ma il verso dipende dal segno

  2. Somma vettore + vettore

    Con più vettori: metodo testa coda

  3. Differenza

  4. Prodotto tra vettori

    1. Prodotto scalare

    2. Prodotto vettoriale

COMPONENTI CARTESIANE

A = Ax + Ay

B + A = C

C = (Ax+Bx)ì + (Ay+By)j

= (Ax+Bx)(Ai+Bi)Cx + Cy

A = AxÛx

CON I VETTORI

C = b · Ba = b (AxÛx+AyÛy) = b (BxÛx+ByÛy)= CxÛx + CyÛy

A · B = (AxÛx+AyÛy) (BxÛx+ByÛy)

= AxBxÛxÛx + AyByÛyÛy

= AxBx + AyBy

A x B = (AxÛx+AyÛy) x (BxÛx+ByÛy)

= AxÛx x BxÛx Ûx

Anteprima
Vedrai una selezione di 8 pagine su 35
Appunti Fisica sperimentale Pag. 1 Appunti Fisica sperimentale Pag. 2
Anteprima di 8 pagg. su 35.
Scarica il documento per vederlo tutto.
Appunti Fisica sperimentale Pag. 6
Anteprima di 8 pagg. su 35.
Scarica il documento per vederlo tutto.
Appunti Fisica sperimentale Pag. 11
Anteprima di 8 pagg. su 35.
Scarica il documento per vederlo tutto.
Appunti Fisica sperimentale Pag. 16
Anteprima di 8 pagg. su 35.
Scarica il documento per vederlo tutto.
Appunti Fisica sperimentale Pag. 21
Anteprima di 8 pagg. su 35.
Scarica il documento per vederlo tutto.
Appunti Fisica sperimentale Pag. 26
Anteprima di 8 pagg. su 35.
Scarica il documento per vederlo tutto.
Appunti Fisica sperimentale Pag. 31
1 su 35
D/illustrazione/soddisfatti o rimborsati
Acquista con carta o PayPal
Scarica i documenti tutte le volte che vuoi
Dettagli
SSD
Scienze fisiche FIS/01 Fisica sperimentale

I contenuti di questa pagina costituiscono rielaborazioni personali del Publisher bergaa05 di informazioni apprese con la frequenza delle lezioni di Fisica sperimentale e studio autonomo di eventuali libri di riferimento in preparazione dell'esame finale o della tesi. Non devono intendersi come materiale ufficiale dell'università Politecnico di Milano o del prof Pinotti Ermanno.
Appunti correlati Invia appunti e guadagna

Domande e risposte

Hai bisogno di aiuto?
Chiedi alla community