Estratto del documento

SISTEMI A MOLTI GRADI DI LIBERTÀ

Finora è stato sempre analizzato il caso di oscillatore semplice ma le strutture reali non hanno sempre

un grado di libertà e questa caratteristica può influire sulle forze in gioco. La maggior parte delle

strutture, infatti, si può considerare a più gradi di libertà. Analizziamo un telaio a 3 piani con 3 gradi di

libertà x1, x2 e x3 che sono tutti spostamenti in direzione x. Infatti, come per l’oscillatore semplice, con

l’ipotesi di pilastri inestensibili e quini nulli gli spostamenti lungo il loro asse. Con questa ipotesi

vengono meno la traslazione verticale delle masse e la rotazione, e l’unico grado di liberà possibile resta

quindi la traslazione orizzontale. Anche la base, essendo soggetta ad azione sismica, può muoversi di

Progettazione Sismica delle Costruzioni 53

uno spostamento xg. Lo spostamento assoluto sarà dato da xg + spostamento relativo.

Andiamo a risolvere il problema del moto studiando le forze agenti sulle masse: la massa superiore sarà

soggetta a:

- forza di inerzia: definita come massa m3 per accelerazione assoluta (del suolo)

- Forza di richiamo elastico: proporzionale alla rigidezza e allo spostamento

- Forza di smorzamento: proporzionale al coefficiente di smorzamento e allo spostamento

Lo spostamento della forza di richiamo elastico è lo spostamento relativo della massa 3 rispetto alla

massa 2. Se la massa 2 e la massa 3 si spostano insieme della stessa quantità, lo spostamento è nullo

e quindi anche la forza di richiamo elastico. Lo stesso accade per la forza di smorzamento proporzionale

all’accelerazione relativa tra massa 3 e massa 2.

A differenza dell’oscillatore semplice l’equazione non è ad una incognita ma ha due incognite.

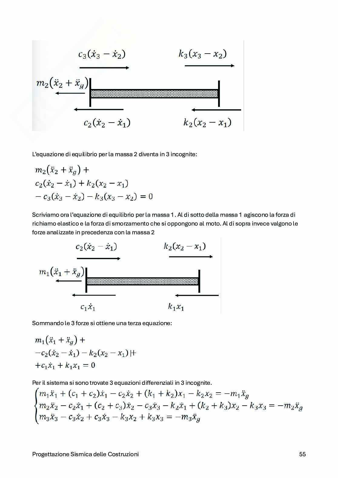
Consideriamo ora la massa centrale che si sposta rispetto al terreno della quantità x2 ed è soggetta

anch’essa ad una forza di inerzia proporzionale a massa e accelerazione assoluta. La massa 2 è

collegata sia alla massa 3 sia alla 1. Quando avvengono degli spostamenti relativi tra massa 3 e 2 e tra

massa 2 e 1 si sviluppano forze di smorzamento e di richiamo elastico che sono proporzionali a

coefficiente di rigidezza e spostamento relativo tra massa 3 e massa 2. La forza di inerzia ha un verso

che si oppone al moto. Anche in questo caso le forze di smorzamento ed elastiche nella parte bassa si

oppongono al mentre quelle superiori sono ottenute con l’equilibrio dei pilastri (dato che sopra

andavano verso sinistra, per equilibrio, ora dovranno andare verso destra).

Progettazione Sismica delle Costruzioni 54

L’equazione di equilibrio per la massa 2 diventa in 3 incognite:

Scriviamo ora l’equazione di equilibrio per la massa 1. Al di sotto della massa 1 agiscono la forza di

richiamo elastico e la forza di smorzamento che si oppongono al moto. Al di sopra invece valgono le

forze analizzate in precedenza con la massa 2

Sommando le 3 forze si ottiene una terza equazione:

Per il sistema si sono trovate 3 equazioni differenziali in 3 incognite.

Progettazione Sismica delle Costruzioni 55

Nel sistema sono stati portati a secondo membro i termini contenenti l’accelerazione del suolo. In

forma matriciale abbiamo:

Il sistema in forma vettoriale, scritto secondo matrice di rigidezza, masse e smorzamento, diventa:

A secondo membro abbiamo le masse m1, m2 ed m3 che moltiplicano la stessa accelerazione.

Moltiplicando la matrice M per la matrice identità I si ottiene il vettore delle masse, che viene poi

moltiplicato per l’accelerazione del terreno. Per risolvere questo sistema si può effettuare un cambio di

coordinate, ovvero sostituire il vettore x (x1,x2,x3) con un vettore di coordinate modali che permette di

disaccoppiare le equazioni del moto, passando quindi da un sistema di equazioni accoppiate ad un

sistema di 3 equazioni disaccoppiate, tutte con una sola incognita. Si passa da 3 equazioni in 3

incognite a 3 equazioni in un’incognita, riconducendoci ad un caso analogo a quello dell’oscillatore

semplice.

Questi “modi” sono le soluzioni al problema delle oscillazioni libere non smorzate e sono dei modi in

cui vibra un sistema con un certo numero di gradi di libertà quando sollecitato a oscillazione libera non

smorzata. Le oscillazioni sono libere e non hanno forzante e inoltre non hanno smorzamento, quindi si

annullano i termini dipendenti da xg due punti e C.

L’equazione può essere scritta come

Φi con i è l’ampiezza dello spostamento all’i-esimo piano; non cambia nel tempo ma è funzione solo

della posizione del piano. Sen (ωt) dipende solo dal tempo. In forma vettoriale, unendo x1, x2 e x3,

abbiamo che:

Progettazione Sismica delle Costruzioni 56

Derivando due volte rispetto al tempo (fi rimane uguale perché indipendente dal tempo)

Sostituendo queste equazioni nell’equazione del moto otteniamo:

Φi e sen (ωt) sono presenti in entrambi i termini e possono essere raccolti:

Sen (ωt) non può essere sempre zero, quindi affinché il prodotto sia zero deve essere zero il termine (k

– ω M)* Φ. Se fosse Φi = 0, i 3 piani sarebbero fermi e non ci sarebbe moto (soluzione banale). L’altra

2

soluzione è che K – ω M sia zero. Questo è un sistema di equazioni omogeneo (con termine noto = 0) e

2

ha la soluzione quando il determinante dei coefficienti sia nullo. La soluzione di questo sistema è un

vettore di numeri che sono gli autovalori della matrice (k- ω M il numero di autovalori è uguale al numero

2

di equazioni del sistema.

A ciascun autovalore corrisponde un autovetture, ossia un vettore di componenti pari al numero dei

piani che da l’ampiezza del moto ad ogni piano. Quando si calcolano gli autovettori che corrispondono

ad un autovalore, si trovano infinito + 1 soluzioni. Semplificando si può dire che si passa da un sistema

a 3 gradi a 3 sistemi a un grado di libertà. Omega è la pulsazione propria di ognuno dei sistemi. La Φi

che corrisponde ad ogni sistema è la forma secondo cui vibra.

Ciò che caratterizza un modo è la pulsazione propria. Può variare la Φ i e l’ampiezza dello spostamento

può variare ma la forma resta sempre la stessa (restano costanti i rapporti tra le componenti) le

oscillazioni avvengono con una pulsazione ωr. R è l’ r-esima forma modale.

Progettazione Sismica delle Costruzioni 57

Fisicamente ogni componente dell’autovalore corrisponde alla pulsazione di uno dei modi di vibrare

della struttura come se fosse un oscillatore semplice, mentre gli autovettori associati a quell’autovalore

saranno le forme dell’oscillazione. La soluzione è indeterminata perché l’oscillazione può avere

qualunque ampiezza. La forma rimarrà la stessa ma cambierà l’ampiezza. I tre modi saranno del tipo:

I punti in cui la forma non cambia sono fissi e si chiamano nodi. Il numero di nodi presenti nella forma

modale è il numero della forza modale meno 1. La prima forza modale ha 0 nodi, la seconda uno, la

terza due e così via. Il numero di flessi aumenta all’aumentare dell’ordine del modo e ogni modo ha una

propria pulsazione.

Le coordinate modali vengono indicate come q1, q2, q3 e sono funzione del tempo.

Qualunque deformata può essere espressa come combinazione lineare di forme modali, quindi le

deformate di ogni modo saranno espresse come Φ della forma moltiplicata per la coordinata modale q.

q aumenta o diminuisce il contributo del modo per ogni istante di tempo. Ad ogni istante di tempo i 3

modi si combinano in maniera diversa per dare lo spostamento x. Esprimiamo lo spostamento ad ogni

piano come combinazione delle coordinate modali secondo le coordinate q (??)

Le forme modali godono della proprietà di ortogonalità cioè che sono ortogonali una all’altra rispetto

alla matrice delle masse e a quella delle rigidezze.

Progettazione Sismica delle Costruzioni 58

In termini matematici le forme modali godono della proprietà di ortogonalità per la quale ogni forma è

ortogonale alle altre per la matrice delle masse e delle rigidezze. In termini matematici:

Considerando che ogni spostamento di piano è pari alla combinazione degli spostamenti modali

(espansione modale) l’equazione del moto può essere riscritta come:

Lo spostamento del piano 1 sarà la combinazione di q1, q2 e q3, ognuno scalato per una funzione q

del tempo.

In forma matriciale è possibile definire la matrice delle forme modali come:

La matrice delle forme modali è una matrice che ha come colonne le forme modali per ogni piano, che

vengono moltiplicate per il vettore delle coordinate modali.

In forma compatta si ottiene:

Derivando nel tempo si deriva solo q e si ottengono:

L’equazione precedente può essere riscritta in forma modale come:

Moltiplicando questa equazione per il vettore di una forma modale trasposto si ottiene:

Ricordando la condizione di ortogonalità si ottiene:

Il termine relativo allo smorzamento non gode di proprietà di ortogonalità pertanto è necessario

disaccoppiare le due equazioni. Si ipotizza che la matrice di smorzamento sia proporzionale a quella di

Progettazione Sismica delle Costruzioni 59

massa e rigidezza. La matrice di smorzamento è un certo numero a moltiplicato per la matrice delle

masse + un certo numero b moltiplicato per la matrice delle rigidezze.

Con questa ipotesi si può riscrivere l’equazione precedente sostituendo C, ottenendo:

A questo punto si può utilizzare la proprietà di ortogonalità anche per lo smorzamento:

Cr è il coefficiente di smorzamento modale. Introducendo Cr:

Imponendo poi che:

E sostituendo nell’equazione si ottiene:

Questa è un’equazione nella sola incognita q che permette di risolvere il problema iniziale.

r

Questa equazione è uguale a quella dell’oscillatore semplice solo che in quel caso aveva come

incognita la coordinata x mentre qua c’è q. Al secondo membro abbiamo λr.

Al posto di avere un’equazione differenziale a n incognite, avremo n sistemi ad un grado di libertà

ognuno regolato da quest’equazione in cui la q rappresenta la coordinata modale del modo r e q° e q°°

rappresentano le sue derivate prima e seconda ossia velocità modale e accelerazione modale, invece i

coefficienti sono massa, smorzamento e rigidezza del modo r ottenuti da tali equazioni anche grazie al

fatto che la matrice delle masse è diagonale.

Progettazione Sismica delle Costruzioni 60

Dividendo tutto per la massa modale e otteniamo un’equazione nella quale il primo membro è uguale

a quello di un oscillatore semplice, dove ωr è la pulsazione modale e zeta r è lo smorz

Anteprima
Vedrai una selezione di 16 pagine su 148
Appunti di Teoria del corso di Progettazione sismica delle strutture Pag. 1 Appunti di Teoria del corso di Progettazione sismica delle strutture Pag. 2
Anteprima di 16 pagg. su 148.
Scarica il documento per vederlo tutto.
Appunti di Teoria del corso di Progettazione sismica delle strutture Pag. 6
Anteprima di 16 pagg. su 148.
Scarica il documento per vederlo tutto.
Appunti di Teoria del corso di Progettazione sismica delle strutture Pag. 11
Anteprima di 16 pagg. su 148.
Scarica il documento per vederlo tutto.
Appunti di Teoria del corso di Progettazione sismica delle strutture Pag. 16
Anteprima di 16 pagg. su 148.
Scarica il documento per vederlo tutto.
Appunti di Teoria del corso di Progettazione sismica delle strutture Pag. 21
Anteprima di 16 pagg. su 148.
Scarica il documento per vederlo tutto.
Appunti di Teoria del corso di Progettazione sismica delle strutture Pag. 26
Anteprima di 16 pagg. su 148.
Scarica il documento per vederlo tutto.
Appunti di Teoria del corso di Progettazione sismica delle strutture Pag. 31
Anteprima di 16 pagg. su 148.
Scarica il documento per vederlo tutto.
Appunti di Teoria del corso di Progettazione sismica delle strutture Pag. 36
Anteprima di 16 pagg. su 148.
Scarica il documento per vederlo tutto.
Appunti di Teoria del corso di Progettazione sismica delle strutture Pag. 41
Anteprima di 16 pagg. su 148.
Scarica il documento per vederlo tutto.
Appunti di Teoria del corso di Progettazione sismica delle strutture Pag. 46
Anteprima di 16 pagg. su 148.
Scarica il documento per vederlo tutto.
Appunti di Teoria del corso di Progettazione sismica delle strutture Pag. 51
Anteprima di 16 pagg. su 148.
Scarica il documento per vederlo tutto.
Appunti di Teoria del corso di Progettazione sismica delle strutture Pag. 56
Anteprima di 16 pagg. su 148.
Scarica il documento per vederlo tutto.
Appunti di Teoria del corso di Progettazione sismica delle strutture Pag. 61
Anteprima di 16 pagg. su 148.
Scarica il documento per vederlo tutto.
Appunti di Teoria del corso di Progettazione sismica delle strutture Pag. 66
Anteprima di 16 pagg. su 148.
Scarica il documento per vederlo tutto.
Appunti di Teoria del corso di Progettazione sismica delle strutture Pag. 71
1 su 148
D/illustrazione/soddisfatti o rimborsati
Acquista con carta o PayPal
Scarica i documenti tutte le volte che vuoi
Dettagli
SSD
Ingegneria civile e Architettura ICAR/09 Tecnica delle costruzioni

I contenuti di questa pagina costituiscono rielaborazioni personali del Publisher davideguarisco di informazioni apprese con la frequenza delle lezioni di Progettazione sismica delle strutture e studio autonomo di eventuali libri di riferimento in preparazione dell'esame finale o della tesi. Non devono intendersi come materiale ufficiale dell'università Politecnico di Milano o del prof Limongelli Maria Giuseppina.
Appunti correlati Invia appunti e guadagna

Domande e risposte

Hai bisogno di aiuto?
Chiedi alla community