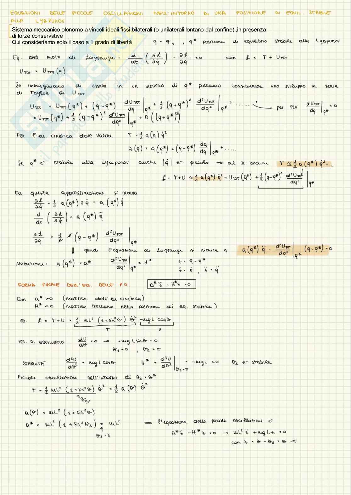
Estratto del documento

Teorema di riduzione

Teorema di equivalenza

Classificazione dei moti rigidi

Definizione di baricentro

Momenti di inerzia-definizioni

Teorema di Huygens - Steiner

Operatore o matrice di inerzia

Proprietà matrice di inerzia Giroscopio

Classificazione degli atti di moto

Teorema di mozzi

Teorema di derivazione relativa

Teorema di composizione delle velocità

Teorema di composizione delle accelerazioni

Teorema di composizione delle velocità angolari

Quantità di moto

Energia cinetica Momento della quantità di moto

Come calcolare la quantità di moto-teorema del moto del baricentro

Energia cinetica-teoremi di Konig

Teorema di konig

Classificazione dei vincoli

Nel caso dei vincoli olonomi è sempre possibile trovare un certo numero N di variabili indipendenti, dette gradi di libertà, tali

che se si conoscono queste variabili al variare del tempo sono note le posizioni di tutti i punti del sistema meccanico.

Esempio:: corpo rigido(sei libero sei ° di libertà).

Di solito le variabili che rappresentano i gradi di libertà sono chiamate coordinate lagrangiane o Variabili lagrangiane

Lo spazio di. È detto spazio delle configurazioni(N dimensioni)

Se si fissano si ottiene il punto nello spazio delle configurazioni, tale punto

rappresenta una configurazione del sistema meccanico. Oppure si può studiare il moto del

punto che rappresenta la posizione o

configurazione del corpo rigido nello

spazio a sei Dimensioni.

Angoli di Eulero

Moltiplicando opportunamente si ottiene la matrice di rotazione che fa passare da

a

, ovvero, la matrice che descrive la rotazione del corpo rigido.

Forze e lavoro Principi della Dinamica

Legge di Coulomb Morin

Principio delle reazioni vincola. definizione di vincoli ideali

Principio dei lavori virtuali P.L.V

1. Le posizioni configurazioni che stanno sul bordo della regione consentita nello spazio delle configurazioni sono dette di

confine (per queste posizioni gli spostamenti virtuali non sono tutti reversibili ; I calcoli per l’equilibrio vanno

visti caso per caso)

2. Le posizioni che stanno nella regione consentita ma non sul bordo sono dette posizioni ordinarie(nelle posizioni ordinarie,

gli spostamenti sono reversibili e si procede allo studio dell’equilibrio, come nel caso di vincoli bilaterali)

I vincoli sono ideali Sono in grado di esercitare tutti

i sistemi di reazioni vincolanti con

Sapranno esercitare anche le

Le Esistono i punti vincolanti, sono in equilibrio

Prima equazione cardinale della statica

Seconda equazione cardinale della statica

Prima equazioni cardinale della dinamica

Seconda equazione cardinale della dinamica

Equaz

Anteprima
Vedrai una selezione di 13 pagine su 59
Appunti di Meccanica razionale t Pag. 1 Appunti di Meccanica razionale t Pag. 2
Anteprima di 13 pagg. su 59.
Scarica il documento per vederlo tutto.
Appunti di Meccanica razionale t Pag. 6
Anteprima di 13 pagg. su 59.
Scarica il documento per vederlo tutto.
Appunti di Meccanica razionale t Pag. 11
Anteprima di 13 pagg. su 59.
Scarica il documento per vederlo tutto.
Appunti di Meccanica razionale t Pag. 16
Anteprima di 13 pagg. su 59.
Scarica il documento per vederlo tutto.
Appunti di Meccanica razionale t Pag. 21
Anteprima di 13 pagg. su 59.
Scarica il documento per vederlo tutto.
Appunti di Meccanica razionale t Pag. 26
Anteprima di 13 pagg. su 59.
Scarica il documento per vederlo tutto.
Appunti di Meccanica razionale t Pag. 31
Anteprima di 13 pagg. su 59.
Scarica il documento per vederlo tutto.
Appunti di Meccanica razionale t Pag. 36
Anteprima di 13 pagg. su 59.
Scarica il documento per vederlo tutto.
Appunti di Meccanica razionale t Pag. 41
Anteprima di 13 pagg. su 59.
Scarica il documento per vederlo tutto.
Appunti di Meccanica razionale t Pag. 46
Anteprima di 13 pagg. su 59.
Scarica il documento per vederlo tutto.
Appunti di Meccanica razionale t Pag. 51
Anteprima di 13 pagg. su 59.
Scarica il documento per vederlo tutto.
Appunti di Meccanica razionale t Pag. 56
1 su 59
D/illustrazione/soddisfatti o rimborsati
Acquista con carta o PayPal
Scarica i documenti tutte le volte che vuoi
Dettagli
SSD
Scienze matematiche e informatiche MAT/07 Fisica matematica

I contenuti di questa pagina costituiscono rielaborazioni personali del Publisher chiaram4 di informazioni apprese con la frequenza delle lezioni di Meccanica razionale t e studio autonomo di eventuali libri di riferimento in preparazione dell'esame finale o della tesi. Non devono intendersi come materiale ufficiale dell'università Università degli Studi di Bologna o del prof Brini Francesca.
Appunti correlati Invia appunti e guadagna

Domande e risposte

Hai bisogno di aiuto?
Chiedi alla community