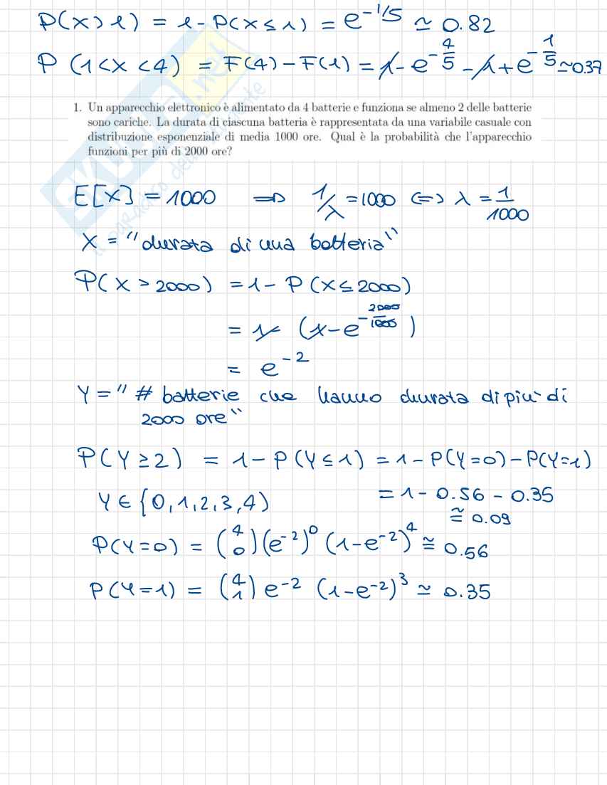
Estratto del documento

Distribuzioni

4 - notevoli

DISTRIBUZIONE GEOMETRICA distribuzione

discreta

La

La distribuzione da

nasce

geometrica prove

modella

Bernali il di

di indipendenti tempo

e

del

attesa primo successo .

Ogni Bernaulli

• con uni

una

prova probabilitˆ

· successo con p

probabilitˆ

insuccesso

· 1-p

con

Consideriamo "Prima testa

X di

= occorrente

cioe' 1

X testa al lancio

= primo

se esce lancio

secondo

testa al

2

X se

= esce

: Xe[1

quindi 2

, ...

,

Il generale DISTRIBUZIONE

1

k

-

P(X (1 p)p

k) =

= GEOMETRICA

-

Introduciano un'altra chiamata

va

"numero testa"

lanci ottenere

di

T di

= prima

Ma differenza

alla concettuale

attenzione il vincente

lancio

Tu o u

conta

· fallimenti

solo

conta ci sono prima

quanti

· "Testˆ

Quindi subito 0

T mentre

se =

esce , ,

lancio

al etc

1

T

secondo

Se esce = .

<0 !

Te 2

1

, , , ...

p)p

P(T k) (1

=

= -

Allora osserviamo che

X T

+ 1

=

Le la

variabili situazione

descrivono

due stessa

convenzioni diverse

due

ma con

In conclusione *

1)

P(T (

P(x p(

k) k

= = = -

= -

Normalizzazione distribuzione

· qualsiasi

: una

di discreta

probabilitˆ soddisfare

due :

)

[P(X 1

= = ,

traduce

nel nostro si in

caso

-p diventa

Poliamo la

U-K-1 relazione

allora

-plp p p

= =...

& tecnicamente

forma •

questa pi• semplice per

lo

la di-el

Cuo

media Shift

c'en

calcolare

Queste (

• p)

di

serie

una geometrica ragione -

X" Ix11

Se

=

x

Nel 1] def

nostro quindi

peto

caso per

, ,

( [0 1)

p) e

- ,

pl 1

=

=

... ( p)

1 -

-

Media def.

:

· per MEDIA T

DI

-p

EIT] = CELT])

Per calcolarla introduciamo funzione

una

ausiliaria -p)

=

F(p) p(1 1

=

derivata

la

calcoliamo

e sua prima :

p(t)

(p(

F'(p)

0 =

= =

- 1

k -

p(-p)

= -pk K

I

serie .

geom

A

[xk se(Xk1

= ECT]

=

k 0

= 1 P PETT

-

E -

F

= =

- P(1 p)

-

Allora PEIT)

1 P 0

=

-

- E

ELT]

Es =

Ricordiamo X= T 1

che allora

+ ,

E[T

E[x] E[T]

1) 7

+ 1

+

=

= =

riassumento

quindi ELT] =

E[x) 5

=

Consideriamo due casi

ora :

Il Caso :

p-so (p-so)

Il e

e rarissimo

successo S

tentativi

tantissimi

servono

ETT) -E Di

-

E[x) 1 Da

- -

2) Caso il certo

quasi

p->1 successo

: e

al tentativo

primo

EIT] 0

=

E[x] > 1

-

Mancanza di memoria

Sapendo il

che arrivato dopo K

successo non

la

tentativi che atri

arrivi

probabilita dopo

,

tentativi • probabilitˆ

alla

un che

uguale

il tentativi partendo

successo dopo

arrivo una

m

da Zero

. P(T P(T

m(Tzk) m)

k = =

+

= im

Dalla probabilitˆ condizionata

:

m)1P(T k)

P(T k =

+

=

P(T k)

m(T

k =

=

+

= PCT2k) P

-

P(T k m)

+

=

I PCTzk(

PL p

=

P(TIK)

* -

-p)( p) p T

P(e pu

= - -

=

/

serie

pjk

(1

= - Geometrica

k + m

p)

p(1 - pym

p(

= -

= ( p(k

-

P(T m)

=

= #

Osservazioni

① Abbiamo dimostrato di gia

che aver

saper

Fallito la distribuzione

cambia

volte

k non

del futuro

attesa MEMORIA

di NON

-d

tempo HA

② E' proprietˆ rarissima

una

tra le discrete solo

· geometrica

:

tra le continue solo

· elesponenziale

:

DISTRIBUZIONE IPERGEOMETRICA

La distribuzione che

volta

ogni

ipergeometrica nasce :

abbiamo di di

finita tipi

· due

oggetti

popolazione

una ben

Ces buone

carte difettose

palline rosse e e ,

. ,

primi

primi

numeri e non

estraiamo reinserimento

· senza la di

probabilitˆ attenere

· numero

un

voghomo sapere

di nel estratto

campione

successi .

differenza

A binomiale le

distribuzione

della qui

,

cambiano estrazione

ad

probabilitˆ perchŽ non

ogni

il reinserimento

previsto

e'

Ad nel contenite

pallina rossa,

una

se

esempio estraggo la probabilitˆ

palline

presenti e

re saranno meno

cambia

Questa la caratteristica distintiva

• :

distribute reinserime

se

sente

=

Immaginiamo di in un'urua

avere

⑧ r finita

palline popolazione

r rosse 3 di tipl

due

6 blu

D palline

⑧ totali I totale

6

N palline

r popolazione

+

= UN

Estraiamo Con

reinserimento

palline senza

u ,

Definiamo la via

"Unuevo estratte"

tra

di

X le

= palline rosse le

Quindi

xe(0 44

2

1 se var

, , , ....,

xe40 r)

2

1 Se =r

,

, , ...,

Vogliamo calcolare k

# Ak ↓

P(x k)

= = #5 (n risultato

il si

Se

Ottiene facendo due

indipendenti

scelte

Generalizzando il numero

conteggio

,

come

quindi il prodotto

totale • .

dei possibili

modi

-

TORMULA

in

C DISTRIBUZIONE

P(X k) =

= IPERGEOMETRICA

b

N r

+

=

U

la

Si soliti funzione

• di

indicare relativa

probabilitˆ

F(n k)

modo b

X in r

compatto

a con :

.

,

successi nelle pope

numero .

F(6 P(x k)

k)

u = =

,

, ↓ -

d di successi

numero

numero Osservati campione

numero nel

di campione

insuccess (

da 3 parametri

dipende

e . le definiscono

solo

CA) chiamano che

parametri quantita

si

la valore

che rappresentano

quelle

legge nou un

variabile IK

casuale

della

assunto parametro

• un

non

. di

della funzione probabilitˆ

l'argomento

ma

Esempi 71

6

Probabilitˆ letto

terro 12

al

1 giocando ,

,

dati !

87

(3)(07

-

3

r = 1 85

. !

2 .

b 87 3)

P(x .

=

= =

= 190

5

u !

=

N 90

= R

A

5 3

. . . 1 105

= =

I 8 5 .

.

88

89

90 . 6 85 22

.

. .

.

fre la

Estraiano 1 Quel e

2 de

mumeri 20

a .

tutti ?

probabilita che primi

sialo 1

T

La divisori

due stesso

Se

N 20

= 42357111317194

X E

8

v = (9

b (5)

12

= . =

3 P(x 3) =

u = = (25) !

20

- !

17

3 !

=

3 7 estratte"

N "umero

= donne

X =

2

=

r 2)

(0

x

6 2

5

= , ,

3

u = d

P(x p(x

1)

= 1 =

= - (8) (5)

.

1

= - (3)

P(X

P(X P(x 1)

1) +

= 2)

= =

= = ~-

= 1-

=

!

5

= T

+ 3

E

(2) 1

- = =

= -

-

i st

=

4 32

.

= -

E

7 .

5

F soluzione

Stessa

7

① girone"

"nuevo forti

X = squadre

(5)(y) -

3)

P(X = =

47

delodia

·7 Ta

5

=

· 4

0 = &

u =

N 16

= 110

= 06

13 70 .

4 5 7 .

. .

POLSSON

DISTRIBUZIONE DI

La Poisson

distribuzione distribuzioni

di • delle

una statistica

Fondamentali teoria

della .

probabilita'

della e

Descrive il di verificano

eventi si

che in

numero un

tali eventi

intervallo di tempo quando

spazio

o , :

(p-o

accadono raramente

· modo

in

· indipendente

tasso medio costante

un

a

· il chiamate

Esempi "numero

includono di

tipici "il

center

call minuto"

ricevute de in

un un ,

"

difetti metro tessuto etc

di

in

di

numero un ...

In tutti eventi

il chiave che

punto el

questi gli

casi

, la probabilitˆ

influenzano

non degli

vari

sono e

aithi .

La Poisson

distribuzione utilizza

si quando

di

vuole eventi

di

si in

il

modellare conteggio un

intervallo assumendo : eventi

tra

indipendenza gli

· di memoria

assenza

· bassa probabilitˆ evento

di singola

· prove

per l'evento

di cui

occasioni

numero in

· puo

grande

accadere

Questa situazione un

con

el approssimata

spesso

bilomidle

modello col

molto

U grande

- piccola

molto (prob di successo

- p ,

In la

che

mostreremo distribuz

sezione

questa

Poisson

di naturalmente

ione come

emerge

distribuzione binomiale

limite della .

aleatoria

Definizione X

variabile che assume

una

: interi (0

discreti (

valori 2

non 1

e negativi

, , , ...

,

variabile Poisson /o poissonianal

di

aleatoria

• una densitˆ

la di

di probabilitˆ

e

parametro sua

-

e + +

x -

P(x i) i

e 1 2

0

= con =

= ,

, ...

,

!

i

XvPoi(X) legge

indica si

si

e e come

com aleatoria

"X distribuzione

variabile che

• una una

segue

Poisson"

.

di

Il il

a di

medio

parametro rappresenta numero

intervallo

eventi che certo di

si in tempo

ci .

aspetta un

Possiamo la Poisson

distribuzione di

ricavare a

da X

variabile aleatoria

una

partire e con

co

Anteprima
Vedrai una selezione di 14 pagine su 61
Appunti completi Probabilità e statistica (Seconda parte) Pag. 1 Appunti completi Probabilità e statistica (Seconda parte) Pag. 2
Anteprima di 14 pagg. su 61.
Scarica il documento per vederlo tutto.
Appunti completi Probabilità e statistica (Seconda parte) Pag. 6
Anteprima di 14 pagg. su 61.
Scarica il documento per vederlo tutto.
Appunti completi Probabilità e statistica (Seconda parte) Pag. 11
Anteprima di 14 pagg. su 61.
Scarica il documento per vederlo tutto.
Appunti completi Probabilità e statistica (Seconda parte) Pag. 16
Anteprima di 14 pagg. su 61.
Scarica il documento per vederlo tutto.
Appunti completi Probabilità e statistica (Seconda parte) Pag. 21
Anteprima di 14 pagg. su 61.
Scarica il documento per vederlo tutto.
Appunti completi Probabilità e statistica (Seconda parte) Pag. 26
Anteprima di 14 pagg. su 61.
Scarica il documento per vederlo tutto.
Appunti completi Probabilità e statistica (Seconda parte) Pag. 31
Anteprima di 14 pagg. su 61.
Scarica il documento per vederlo tutto.
Appunti completi Probabilità e statistica (Seconda parte) Pag. 36
Anteprima di 14 pagg. su 61.
Scarica il documento per vederlo tutto.
Appunti completi Probabilità e statistica (Seconda parte) Pag. 41
Anteprima di 14 pagg. su 61.
Scarica il documento per vederlo tutto.
Appunti completi Probabilità e statistica (Seconda parte) Pag. 46
Anteprima di 14 pagg. su 61.
Scarica il documento per vederlo tutto.
Appunti completi Probabilità e statistica (Seconda parte) Pag. 51
Anteprima di 14 pagg. su 61.
Scarica il documento per vederlo tutto.
Appunti completi Probabilità e statistica (Seconda parte) Pag. 56
Anteprima di 14 pagg. su 61.
Scarica il documento per vederlo tutto.
Appunti completi Probabilità e statistica (Seconda parte) Pag. 61
1 su 61
D/illustrazione/soddisfatti o rimborsati
Acquista con carta o PayPal
Scarica i documenti tutte le volte che vuoi
Dettagli
SSD
Scienze matematiche e informatiche MAT/06 Probabilità e statistica matematica

I contenuti di questa pagina costituiscono rielaborazioni personali del Publisher sigh.feli di informazioni apprese con la frequenza delle lezioni di Probabilità e statistica e studio autonomo di eventuali libri di riferimento in preparazione dell'esame finale o della tesi. Non devono intendersi come materiale ufficiale dell'università Università Politecnica delle Marche - Ancona o del prof Demeio Lucio.
Appunti correlati Invia appunti e guadagna

Domande e risposte

Hai bisogno di aiuto?
Chiedi alla community