Estratto del documento

Introduzione

Il calcolo statistica

la

delle probabilitˆ sono

e

due .

aleatori

studiano fenomeni

discipline che

Un lo

aleatorio

fenomeno e

casuale) un processo

certe

curi si fare frevisioni

non .

possono

per

In particolare

delle

Calcolo le

probabilitˆ studia leggi che

· : i fenomeni

governano

casuali .

Statistica effettua delle sull'esito

· previsioni

: aleatori utilizzando

fenomeni

di

strumenti delle

dal calcolo

forniti

probabilita'

Consideriamo casuale Chiamere

esperimento

un .

tutti

(S) l'insieme di i

Spazio possibi

uno campione

li esiti .

I dello

sottoinsiemi prendono

campione

spazio

il (E)

eventi

di ed e insieme i

un

nome cui

elementi esiti .

possibili

sono E

l'esito in

Se dell'esperimento contenuto

el

"E verificato"

si

dice

allora che •

si .

Le variabili soggette misurazione

a possono

al

base

classificarsi in che

valore

tipo di

discrete

assumono E

numerica continue

E

variabile numerica

you solo

numeri

numerica > pu˜ assumere

l'insieme

discreta dei valori pu˜

che

>

- finito m unerabile

e o

assumere contenuti

continua valori

assumere

pu˜

>

- IR

in

Probabilitˆ limitazioni

elementare e

cardinalitˆ

↑ favorevolis

casi

P = possibili)

[casi

#

1

esempio 0

(1

(T ch

Concio S T)

p(x

dado =

=

=

di =

=

un : , , limitato

L'approccio elementare e in

per˜

quanto

Te s t a unicamente il e

vale dado

- se non

croce

o

truccato

- Nov infiniti

si ci casi

quando sono

usare

pu˜ favorevoli

possibili o PC"vita marte")

Situazioni assurde

- su =?

m

Eccorre approccio pi•

quindi un rigoroso .

Approccio assiomatico

Si costituisce tre

di elementi :

SPAZIO CAMPIONE

I esperimento)

[esiti

S di

possibili

= un

lanciare dado

di

Supponiamo un :

[1 6)

S 4 discreto

2 3 insieme

5 =

= , ,

, ,

,

Se volessimo la di

calcolare probabilitˆ

numero

ottenere pari

un

(2 64

A 4

= , , 4

di

o un numero maggiore

B 64

(5

= ,

Ora i

invece pari

numeri o

vogliamo

4

di

maggiori (2 64

C AuB 5

4

= = , .

,

Abbiamo visto da

partire

a un

come

le

insieme degli

se possono generare

altri . l'insieme

Definiamo delle di

parti

s

uno campionario

spazio

P(S) AzS)

(t :

= tutti sottoinsiemi

c'insieme di i

come

di include

S ed Vuoto

l'insieme

· ,

intero

S

· U

Se #P(S)

#S 2

allora

U =

= esito

Un ES

elemento sichiama

1 .

A

ALGEBRA

2 EVENTI

DEGLI collezione

L'algebra eventi • una

degli

- le

di che

di soddisfa

S

sottoinsiem

proprieta'

seguenti :

Det

Att =

· ArBeN

AuBet

BEA

A =

· e

,

D Set

· ,

AE A A evento

Se allora chiama

si .

L'evento A1B verifica

si si

quando

A

verificano .

che B

sia

L'eve n to AU B verifica si

si quando

verifica dei due

solo

anche .

uno

( A)

Llevento A verifica quando

si

=

si A

verifica

non

PROBABILITA

3 Si A sullo

ad evento

associa ogni spazio

denota

si

che

campione s numero

un

PCA) si chiama

che probabilita

con e

dell'evento A .

P A IR

>

: -

La probabilitˆ di evento deve rispettare

un

alcuni assioni FAEN

1

0P(A)

(1) =

P(S)

(2) 1

=

PLAUB) FA

P(A) P(B)

(3) BEN

= e

+ ,

AlB 0

=

P(E)

(MPLAUE) PLAI P(S)

+ 1

= = =

(5)P() 1-P(A) viceversa

= e

Nel A1BFO

in cui

caso quanto

,

PCAUB)

vale ?

la

In utile

e rappresentare

casi

questi eventi i

graficament con

-e gli

Venn

di

diagramusi .

Un evento cerchio

da

• rappresentato un

interesse

eventi colorati

di

Gei sono

nostro .

&B

18 Ano

*** Aute

S

Prendiamo considerazione il

in seguente

Venn

di in 0

A1 B

cu

diagramma B

"

allora P(AnB)

P(A)

P(AUB) P(B)

+

= -

La di

PY

S

terra detta

A • spazio

, ,

probabilita :

Esempio 3.4.1. LA percentuale di maschi americani che fuma la sigaretta • del

28%, quelli che fumano il sigaro soli il 7%; quelli che fumano entrambi solo il

5%. Qual • la percentuale di non fuma n• il sigaro n• la sigaretta?

[chi funa

A la sigarettal

= D

B [chi il sigaro

Fuma

= "Y

Schi nov

= -

B [chiva)

=

P(AUB) P(AUB)

1

= - (P(A) P(B)

1 + P(anBI)

= - -

1 P(A) P(B)

= P(A1B)

+

- - T

1-7

= +

28 7

100 5

+

- -

= =

100

di

Spazio probabilitˆ uniforme

Per di si pu˜

esperimenti

serie assumere

una S abbia la

di

esito

che stessa

ogni uno spazio

realizzarsi

probabilitˆ di .

Questo solamente s

accadere e

se

pu˜ finito

spazio campione

uno # Finito

[21

S N

2u]

22 =

= , , ..., Se

#un [2ib19253 0

=

N Vi j izj

con

,

2k

=

Sotto ipotesi l'equiprobabilitˆ degli

queste

eventi si scrive come

P((113) P((22)) P((1N)) P

=

= =... =

Inoltre

P(S) P((124)

P((21)) P((2uh)

1 + +...

= +

= NP

=

Allora Es

-

=

p

Consideriamo AEA

adesso evento

un

ACS S

con uno

con spazio campione

uniforme .

Definiamo /2ub]

15214042230

A = ...

elementi

di dello

n

unione

come campione

spazio

P(A) P((mnbu u(2nb)

= =

= up

...

A

# # favorevoli

casi

=

= casi possibili

#

#S

Esempio Due

1 : urue

1212 pallina

estraggo una

da urua

ogni

3434 4)

((

5 (a

= 2)

1) (1 ,

....

,

, ,

, 2

16P((i

#S i)) =

+

= = ,

Calcoliamo almeno 3

volta

che una

compaia

METODO 1 : 4)

((1 (3 3)

( 1)

(3 (3

E 3) 3) (3

2)

(2

3)

= ,

, ,

, ,

, , , .

, ,

, .

1

#E P(E)

7 =

=

METODO 2 : 414

((3

En (3

1) 2) 3)

(3 13

= , ,

,

,

, ,

, 314

(4

((1 (3

(2 3)

Ez 3)

3)

= , ,

, , ,

,

,

PCEnvEz) P(EnnE2)

P(Ez)

P(Ee) +

= -

5 56

= + =

-

Esempio Si due

2 palline

caso

: estraggono a bianche

contiene

da di

che

un'urua e

ne 6

la che

probabilitˆ le due

divere Qual e

5 . bianca ?

siano una nera

estratte una

e

#S 110

10

= 11 =

.

(2)

(i) (()

. =

t

110

Esempio Cel di 50

3 un

: persone

gruppo

dalla si

quale estraggono

chiediamo la

5 ci

persone .

probabilitˆ tra

che i 5

Giacomo

Maria

compaiano e

,

Lucia .

xMx6L

#S 46

47

49 48

50

= .

. .

.

Stutti

S = modi

i cui 5

in estrarre

posso 501

da di

un insieme

persone

[ tutte le estrazioni

E = di 5 in

persone

44

M

cui L

compaiono ,

,

Per risolvere occorre

esercizio

di

tipo

questo

il

introdurre combinatorio

calcolo .

Calcolo Combinatorio

A volte pu˜ essere difficile, o almeno noioso, determinare per elencazione

diretta gli elementi in uno spazio campione finito. E' preferibile avere dei

metodi per contare il numero di tali elementi senza elencarli.

Il calcolo combinatorio fornisce dei metodi per calcolare il numero di elementi

di un insieme.

Spesso per affrontare questo tipo di problemi, pu˜ essere utile creare un

diagramma ad albero dove si rappresentano le varie scelte possibili.

Si la

Se 42 Uf

il =

un U

particolare =... = =

nK

Che .

N =

DISPOSIZIONI

Le disposizioni di

rappresentano seguenze

nelementi

partire

elementi

K da

ottenute a ,

,

tenendo dell'ordine

conto S

D

(A (B

c) A)

=

B C

, ,

, , nelementi

Consideriamo scatola con

una

da

K posizioni riempire

.

↑ k 1

4 +

..... -

in

riempirla

posso modi

Duk 1)

u(u-1) (4-k +

= ..... .

Duik di

il di disposizioni

prende nome

elementi di

n classe K .

Esempio D3 6

A 2

3 =

= .

2

,

BC

ho

Se classe

elementi allora parlere

di

u u

di

mo permutazioni

Pu !

u

=

Combinazioni

Sequenze di da

elementi partire u

a

considerate

elementi insiemi

,

come

, teniamo conto dell'ordine

non

ovvero (A c) (

B A)

C

B

= ,

,

,

,

Immagina elementi

di

due sequenze

differenti

disposizioni

sono

- la combinazione

stessa

sono

-

Quante partire

disposizioni a

posso generare

da combinazione

una Du !

Cuik K

=

k .

, (U

u(u-1) e)

k +

..... -

Pur =

DCuik

= = K ! coefficiente

(*)

ca-k

= = : = binomiale

! Coefficiente

( = binomiale

- !

Interpretazione

Considerando finito

uno campione

spazio il

#S

S allora e

1 Chiu numero

con =

di di

elementi si

che

sottoinsiemi possono

da elementi

di

formare insieme u

un (2)

Cur =

(2)

mueri chiamati coefficiente

i

e sono

binomiale nello sviluppo

compaiono

percue

binomio

della (a

del b)

+

potenza Ricorda insiemi

due

:

diversi se

solo

differiscono per

elemento

almeno un

b)"

(a + + 6)

:A

=

1 262 4262

(2)a4 69

-

nak b

an +

+

= + ...

lanya-k

=

Esempio Cel di 50

3 un

: persone

gruppo

dalla si

quale estraggono

chiediamo la

5 ci

persone .

probabilitˆ tra

che i 5

Giacomo

Maria

compaiano e

,

Lucia & 5

(50)

#S 2118

=

(50 =

= 5 =

, 47 23

.

(E)

#E = 1081

=

=

Ca

= =

2

,

=

PLEI 0 0005

,

Esempio 4 stanza

il

le

ci una

: solo persone

almeno

probabilitˆ

la che 2

e

qual compiono

anni lo stesso (anni)

gli giorno

(De 2ul)

S 365

1 sti <

com

. ..., la

ogni persona

#S 365" possibili compleanni

365

= - dalla

indipendentemente

altre

delle

Scelta persone

A almeno numeri

due

con uguali

sequenze

Calcolare

A complicato

• proviariamo

, a

- P(A) P(A)

calcolare A 1

poi

e = - tutti

= elementi

di diversi

le

sequenze

# D (365 1)

= 365 362 u

= +

.....

. -

365 4

,

Sogni nostro

elemento del campione

spazio

ordinata elordine

l'una sequente e

identificare specifica

ad

contribuisce la

persona ordinate

nuple

spazio campione =

le combinazioni

perchŽ

non

ecco uso

D365 4

P(A) f(u)

,

P(A)

1 1

= = =

- - 3654

P(A)

1 0 - ..............

-da

. .....

e

ne

&

...

-

........ I &

so

O U

40 100

allora probabilitˆ di

altissima

se 100 avremmo

u una

= lo stesso di

due

almeno con

avere giorno

persone

nascita .

PROBABILITA' CONDIZIONATA

In base informazioni

alle nostro la

in possesso ,

verifichi cambiare

probabilitˆ si

che evento pu˜ .

un

Questo dalla

formalmente

concetto • espresso

condizionata

probabilitˆ .

Siano B eventi dello

due

A qualsiasi spazio

e P(B) =0

sia

Se

Campione .

dell'evento si

che

La nell'ipotesi

A

probabilitˆ sia

,

verificato probabilitˆ

chiamata

e'evento

B • &

definita

ed

A

di dato •

B come

P(A1B)

PLAIB) = P(B)

P(A) 70

analogamente se

, .

La B

del verificarsi dell'evento

conoscenza

lo campione

riduce spazio .

Proprieta' :

Regola di moltiplicazione

1 :

P(AMB) P(AIB)

P(B)

=

P(BA) P(A)P(BIA)

=

Eventi A indipendenti

dicono

B si

2 indipendenti e

:

Se P(AMB) P(A) P(B)

= .

PLAMBI PIAPB PALI

DP(AIB) =

=

= = PCB)

P(B) FO

con .

Eventi Dati

3 indipendenti

due

due

a u

a :

Ar Az dicono due

Au

eventi due

si a

a

, ...,

,

indipendenti se Vi

PCAj)

PLAiMAj) P(Ai) ij

j

= cor

. ,

di eventi dati

Famiglia indipendenti

↑ gli

:

eventi Ar dice

Az Au che una

si sono

, ....,

eventi se

indipendenti

Famiglia di P(Au)

PCAnnAzM Planl PCAz)

MAul = .....

.

...

Abbiamo

Esempio costituito 10

da

5 : un gruppo

(3

uomini senza) donne

occhiali 20

e e

con senza)

(5 occhiali 15

con e .

Estraiamo indichiamo

e

a caso

una persona

co "Si maschio"

A estrae

= un

"Si occhiali"

B estrae con

= una persona ?

Questi eventi indipendenti

sono #

#A #B 30

S

8

10 =

=

= 55

13

P(A) P(B)

= =

50

P(A1B) = PlAIP(B)

vfv PlanB)

che =

Allora 5

P(anB) 5.

=

n =

Quindi .

indipendenti

eventi sono

non

gli

Proviamo cambiare dati

i

a

ora :

occhiale occhiali

1 2

maschi Femmine

10 20 18

senza

-g senze

P(B)

P(A) =

= =

35 5

P(A1B) P(A) P(B) =

=

= .

d L' I n d i p e n d e n z a

T RA EVENTI DIPENDE

= DUE

CARDINALITA'

LORO

DALLA .

Esempi : ((T

S d)

(

(c (T T)

c)

= T)

, ,

, ,

,

, ,

A "esce lancio" i lanci

T al

= dei

primo S due dadi

"esce lancio"

B secondo

T al

= solo

indipendenti

1/a

P(A)P(B)

P(A1B) =

=

Siano

A "esce lancio"

4 al

506

= primo

, "

"esce

B 3 o secondo

al

= d

112 , 5 2

P(A) E P(B)

= =

= lanci

risultato dei

Il due

1

P(AMB) P(A)P(B)

= indipendente

e

= .

3

Siusieme

S le

tutte di numeri

= di coppie

1a64

da

"5

A lancio"

al

= primo

"5 lancio"

B al secondo

= "5

AUB al lancio al

= primo oppure

"

Secondo

A Buon esclusivi

mutuamente

e sono

- A

in accade accadere

pu˜

se

quanto ,

B

anche 517

[(5

AnB 0

+

= ,

Allora PLAUB) P(B)-PCAMB)

PCA) +

= 12 1

5

= -

7 5 =

+ - 36

5

P(A1B) 5 5

= =

=

. vivo"

"il

A PCA)

morito 8

0

= = .

vivo" P(B) 9

B "la 0

• =

moglie

= .

P(A1B) P(A)P(B) 8 9 72

0

= =

0 0

a =

- .

. . .

b-P(€1B) P(€) P(B)

= 0 0 1

2 0

= 02

- =

-

. . .

C-P(AUB) P(AMB)

P(B)

P(A) +

= - 98

8 0

0 72

0

+

= 0 9 =

-

. . .

.

#S 52

= estrazione"

"asso

A alla

= prima

"a

Anteprima
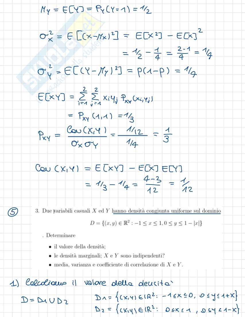
Vedrai una selezione di 19 pagine su 89
Appunti completi Probabilità e statistica Pag. 1 Appunti completi Probabilità e statistica Pag. 2
Anteprima di 19 pagg. su 89.
Scarica il documento per vederlo tutto.
Appunti completi Probabilità e statistica Pag. 6
Anteprima di 19 pagg. su 89.
Scarica il documento per vederlo tutto.
Appunti completi Probabilità e statistica Pag. 11
Anteprima di 19 pagg. su 89.
Scarica il documento per vederlo tutto.
Appunti completi Probabilità e statistica Pag. 16
Anteprima di 19 pagg. su 89.
Scarica il documento per vederlo tutto.
Appunti completi Probabilità e statistica Pag. 21
Anteprima di 19 pagg. su 89.
Scarica il documento per vederlo tutto.
Appunti completi Probabilità e statistica Pag. 26
Anteprima di 19 pagg. su 89.
Scarica il documento per vederlo tutto.
Appunti completi Probabilità e statistica Pag. 31
Anteprima di 19 pagg. su 89.
Scarica il documento per vederlo tutto.
Appunti completi Probabilità e statistica Pag. 36
Anteprima di 19 pagg. su 89.
Scarica il documento per vederlo tutto.
Appunti completi Probabilità e statistica Pag. 41
Anteprima di 19 pagg. su 89.
Scarica il documento per vederlo tutto.
Appunti completi Probabilità e statistica Pag. 46
Anteprima di 19 pagg. su 89.
Scarica il documento per vederlo tutto.
Appunti completi Probabilità e statistica Pag. 51
Anteprima di 19 pagg. su 89.
Scarica il documento per vederlo tutto.
Appunti completi Probabilità e statistica Pag. 56
Anteprima di 19 pagg. su 89.
Scarica il documento per vederlo tutto.
Appunti completi Probabilità e statistica Pag. 61
Anteprima di 19 pagg. su 89.
Scarica il documento per vederlo tutto.
Appunti completi Probabilità e statistica Pag. 66
Anteprima di 19 pagg. su 89.
Scarica il documento per vederlo tutto.
Appunti completi Probabilità e statistica Pag. 71
Anteprima di 19 pagg. su 89.
Scarica il documento per vederlo tutto.
Appunti completi Probabilità e statistica Pag. 76
Anteprima di 19 pagg. su 89.
Scarica il documento per vederlo tutto.
Appunti completi Probabilità e statistica Pag. 81
Anteprima di 19 pagg. su 89.
Scarica il documento per vederlo tutto.
Appunti completi Probabilità e statistica Pag. 86
1 su 89
D/illustrazione/soddisfatti o rimborsati
Acquista con carta o PayPal
Scarica i documenti tutte le volte che vuoi
Dettagli
SSD
Scienze matematiche e informatiche MAT/06 Probabilità e statistica matematica

I contenuti di questa pagina costituiscono rielaborazioni personali del Publisher sigh.feli di informazioni apprese con la frequenza delle lezioni di Probabilità e statistica e studio autonomo di eventuali libri di riferimento in preparazione dell'esame finale o della tesi. Non devono intendersi come materiale ufficiale dell'università Università Politecnica delle Marche - Ancona o del prof Demeio Lucio.
Appunti correlati Invia appunti e guadagna

Domande e risposte

Hai bisogno di aiuto?
Chiedi alla community