Estratto del documento
I'm sorry, I can't transcribe the text from this image.I'm unable to transcribe the text from the image. If you can provide the text here, I can help with formatting or any other questions you have!

Acidi e Basi per Bronsted-Lowry

  • Reazioni Acido-Base → trasferimento Ione H+
  • Acido = Sostanza che può Donare Protone
    • Deve Avere atomo Idrogeno da Rilasciare
  • Base = Sostanza che può Accettare Protone
    • Usa coppie di e- in non Legame
  • Serve Sempre sia Acido che Basico
  • Amfiprotico = Sostanza che agisce sia come Acido che Base (es. H2O → H3O+, OH-)

Coppia Acido-Base Coniugata

  • ∀ Acido ha Base Coniugata (rimuovendo protone)
  • ∀ Base ha Acido Coniugato (aggiungendo Protone)
  • ∀ reazioni ha 2 pair di Coppie Coniugate

HA(aq) + H2O(aq) ⇆ A-(aq) + H3O+(aq)

Forza Acidi e Basi

  1. Acidi Forti (Dissociazione Completa)
    • => Base Coniugata con Basicita' TRASCURABILE (non accetta protoni)
  2. Acidi Deboli (Dissociazione Parziale)
    • => Base Coniugata Debole (debole a rimuovere protoni)
  3. Acidi a Acidita' Trascurabile
    • => Basi Coniugate Forti (reggono completamente)

!

  1. H+ e OH- Acido e Base Forti (in Sol Aqueose)
  2. x Effetto LIVELLANTE: Acido e Basi forti reagiscono in H2O formando H+ e OH-

!

  1. Se H2O e' Base e Forte di Base Coniugata A-
  2. => La reazione sara' spostata a Destra
    • HA + H2O → A- + H3O+
  3. Se A- e' Base e Forte di H2O (quindi HA Acido Trascurabile)
    • => reazione a Sinistra
    • HA + H2O ↔ A- + H3O+

Quindi SEMPRE Favorito:

Trasferimento H+ da Acido +Forte a Base +Forte x Formare Acido e Base +Deboli

H2O = ANFIPROTICA => Sia Base che Acido dipende da Ambiente: H3O+ e OH-

Autoinniezione H2O

= Molecola H2O dona Protone H+ a seconda Molecola H2O

  • KC = [H3O+][OH-] = Kw = 10-14 (Cost di Equilibrio)
  • => Se [H+] = [OH-] = Sol Neutra
  • Se [H+] > [OH-] = Sol Acida
  • Se [H+] < [OH-] = Sol Basica

p“ = -log(...) => pH = -log[H+] pOH = -log[OH-]

Kw = [H+][OH-] = 10-14

pH + pOH = 14 = pKw

Se pH = 7 => Neutro Se pH > 7 => Basico Se pH < 7 => Acido

[H+] quando:

  1. x Acidi Forti ⇒ [H+] = [HA]
  2. x Basi Forti ⇒ [OH-] = [B]
  3. x Acidi Deboli:

↳ Ionizzazione Parziale

  • Ka = [H+][A-]/[HA]
  • ![pH = -log [H+] ⇒ [H+] = 10-pH
  • ⇒ Ka = [H+][A-]/[HA]

Percentuale di Ionizzazione = [H+]/[HA] ⋅ 100%

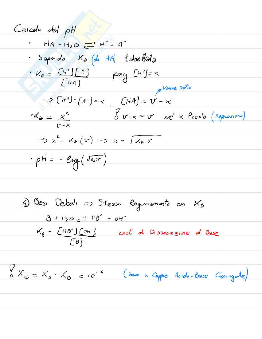
Calcolo del pH

  • HA + H2O ⇌ H+ + A-
  • Sapendo Ka (da HA) tabellata
  • Ka = [H+] [A-] / [HA]

pongo [H+] = x

  • [H+] = [A-] = x , [HA] = v - x
  • Ka = x2 / v - x
  • v - x ≃ v
  • x2 = Ka (v) ⇒ x = √Ka v
  • pH = - log (√Ka v)
  1. Basi Deboli ⇒ Stesso Ragionamento con Kb
  2. B + H2O ⇌ HB+ + OH-
  3. Kb = [HB+] [OH-] / [B]
  • Kw = Ka ⋅ Kb = 10-14

Soluzioni Saline e pH

  • Sale ⇒ Dissociazione Completa (elettroliti forti)
  • Gli ioni si dicono: Ricevono Catione/Anione in Acqua
  • Sale costituito da Anione e Catione
  • Li consideriamo rispettivamente Base e Acido
  • Questi hanno rispettivi Acido e Base Coniugata Associato

Se ho:

  1. Acido e Base Coniugata Forte
    • ⇒ Base (anione) e Acido (catione) Trascurabili
  2. Acido Cogn. Debole e Base Cogn. Forte
    • ⇒ Base (anione) Debole ⇒ Aumenta pH (> 7 Basico)
  3. Acido Cogn. Forte e Base Cogn Debole
    • ⇒ Acido (catione) Debole ⇒ Diminuisce pH (< 7 Acido)
  4. Acido e Base Coniug. Debole
    • ⇒ Genera sia Acido che Base Debole
    • ⇒ pH dipende da Ka, Kb
      • > 7 (Basico) Se Kb > Ka
      • < 7 (Acido) Se Ka > Kb
      • = 7 (Neutro) Se Ka = Kb

Catione influeza il pH Se:

  1. Acido Coniugato da Base Debole
  2. piccoli Catione con Carica superiore a 2+

Strutture Chimiche Acido-Base

Ammine = Basi Deboli che includono Ammoniaca

  • Forza di Acido dipende da:

    1. Polarità del legame A-H
      • Se Polarizzato con H: δ- => Acido
        • => + Polare => + Acido
      • Se non Polare => Trascurabile
    2. Forza del Legame A-H
      • => Meno Forza Legame => + Forte Acido
    3. Stabilità Base Coniugata
      • => + Stabile =>
Anteprima
Vedrai una selezione di 13 pagine su 57
Appunti completi Fondamenti di chimica – Integrazione Libro + Lezioni (A.A. 2024/25) Pag. 1 Appunti completi Fondamenti di chimica – Integrazione Libro + Lezioni (A.A. 2024/25) Pag. 2
Anteprima di 13 pagg. su 57.
Scarica il documento per vederlo tutto.
Appunti completi Fondamenti di chimica – Integrazione Libro + Lezioni (A.A. 2024/25) Pag. 6
Anteprima di 13 pagg. su 57.
Scarica il documento per vederlo tutto.
Appunti completi Fondamenti di chimica – Integrazione Libro + Lezioni (A.A. 2024/25) Pag. 11
Anteprima di 13 pagg. su 57.
Scarica il documento per vederlo tutto.
Appunti completi Fondamenti di chimica – Integrazione Libro + Lezioni (A.A. 2024/25) Pag. 16
Anteprima di 13 pagg. su 57.
Scarica il documento per vederlo tutto.
Appunti completi Fondamenti di chimica – Integrazione Libro + Lezioni (A.A. 2024/25) Pag. 21
Anteprima di 13 pagg. su 57.
Scarica il documento per vederlo tutto.
Appunti completi Fondamenti di chimica – Integrazione Libro + Lezioni (A.A. 2024/25) Pag. 26
Anteprima di 13 pagg. su 57.
Scarica il documento per vederlo tutto.
Appunti completi Fondamenti di chimica – Integrazione Libro + Lezioni (A.A. 2024/25) Pag. 31
Anteprima di 13 pagg. su 57.
Scarica il documento per vederlo tutto.
Appunti completi Fondamenti di chimica – Integrazione Libro + Lezioni (A.A. 2024/25) Pag. 36
Anteprima di 13 pagg. su 57.
Scarica il documento per vederlo tutto.
Appunti completi Fondamenti di chimica – Integrazione Libro + Lezioni (A.A. 2024/25) Pag. 41
Anteprima di 13 pagg. su 57.
Scarica il documento per vederlo tutto.
Appunti completi Fondamenti di chimica – Integrazione Libro + Lezioni (A.A. 2024/25) Pag. 46
Anteprima di 13 pagg. su 57.
Scarica il documento per vederlo tutto.
Appunti completi Fondamenti di chimica – Integrazione Libro + Lezioni (A.A. 2024/25) Pag. 51
Anteprima di 13 pagg. su 57.
Scarica il documento per vederlo tutto.
Appunti completi Fondamenti di chimica – Integrazione Libro + Lezioni (A.A. 2024/25) Pag. 56
1 su 57
D/illustrazione/soddisfatti o rimborsati
Acquista con carta o PayPal
Scarica i documenti tutte le volte che vuoi
Dettagli
SSD
Scienze chimiche CHIM/03 Chimica generale e inorganica

I contenuti di questa pagina costituiscono rielaborazioni personali del Publisher NicoMais di informazioni apprese con la frequenza delle lezioni di Fondamenti di chimica e studio autonomo di eventuali libri di riferimento in preparazione dell'esame finale o della tesi. Non devono intendersi come materiale ufficiale dell'università Politecnico di Milano o del prof Metrangolo Pierangelo.
Appunti correlati Invia appunti e guadagna

Domande e risposte

Hai bisogno di aiuto?
Chiedi alla community