Estratto del documento

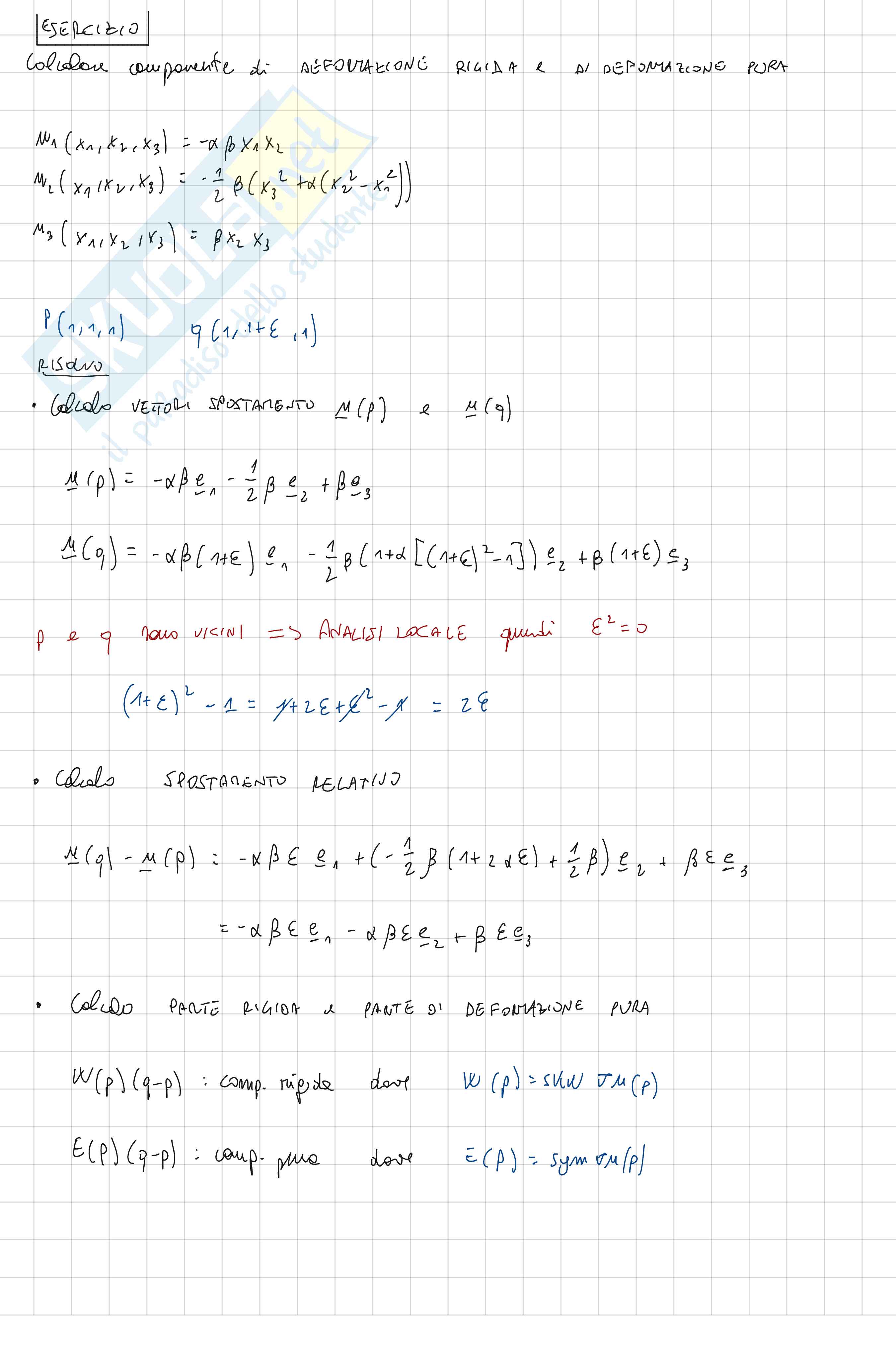
Esercizio

Calcolo componente di deformazione rigida e di deformazione pura

Mx(x1, x2, x3) = -α β x1 x2

My(x1, x2, x3) = -12 β (x12 x3 + α(x12 - k22 - k12))

Mz(x1, x2, x3) = β x2 x3

P(1, 1, 1)

Q(1+ε, ε, 1)

Risolvere

  • Calcolo vettori spostamenti M(ρ) e M(σ)

M(ρ) = -α β ex1 - 12 β e2 + β e3

M(σ) = -α β(1+ε) e1 - 12 β(1+α[(1+ε)2-1]) e2 + β (1+ε) e3

ρ e σ non vicini → Analisi locale quindi ε2 = 0

(1+ε)2-1 = ¬ 2ε + ε2 - 1 = 2ε

  • Calcolo spostamento relativo

M(σ) - M(ρ) = -α β ε e1 + (-12 β (1+2αε) + 12 β) e2 + β ε e3

≡ -α β ε e1 - α β ε e2 + β ε e3

  • Calcolo parte rigida e parte di deformazione pura

W(ρ)(σ-ρ) : comp. rigida dove W(ρ) → skW JM(ρ)

E(ρ)(σ-ρ) : comp. pura dove Ε(ρ) → sym JM(ρ)

Esercizio

Calcolare componenti di deformazione rigida e di deformazione pura.

Mu(x1, x2, x3) = -α β x1 x2

Mv(x1, x2, x3) = -½ β (x1² x3 + α (x1² - k1²))

Mw(x1, x2, x3) = β x2 x3

P (1,1,n)      Q (1, 1 + ε, -1)

Risolvendo

  • Calcolo vettori spostamento M(P) e M(Q)

M(P) = -α β εn - ½ β e2 + β e3

M(Q) = -α β (1 + ε) en - ½ β (1 + α ε) [ (1 + α ε)² - 1 ] e2 + β (1 + ε) e3

P e Q non vicini => Analisi locale quindi ε² = 0

(1 + ε)² - 1 = 2 ε ε + ε² - 1 = 2 ε

  • Calcolo spostamento relativo

M(Q) - M(P) = -α β ε en + ( -½ β (1 + 2 ε) + ½ β ) e2 + β e ε e3

= -α β ε en - α β ε e2 + β ε e3

  • Calcolo parte rigida e parte di deformazione pura

W(P, Q - P) : comp. rigida dove W(P) ≐ skw U(P)

E(P, Q - P) : comp. pura dove E(P) ≐ sym U(P)

Celedo

M(q) - M(ρ) = -αβ ε en - αβ ε eL + β E e3 = W(ρ) ε2 + ε(ρ) ε2 + ε(ρ)

[σΜ] =

(-αβ x2       -αβ x1       0)

(β x1 x2       -β x3)

0       β x3       β x2)

  1. [skew σΜ] = 1/2 [σΜ - σΜ*] = (0   -αβ xn   -P x3)
  2. sym σΜ = 1/2 [σΜ + σΜ*] = (0   -αβ x2)

Celede skew [σΜ] = sym [σΜ] m ρ = (1,1,1) e li oppress

Componente rigida:

W(ρ)(q - ρ) = skew σΜ(ρ)(q - ρ) = (0   0   -αβ) (0) =

= -αβ E eL + β e3

Componente v deform:

ε(ρ)(q - ρ) = sym σΜ(ρ)(q - ρ) =

(0 - α β) (0) = -αβ E e2

somm Δevano dare

M(q) - M(ρ)

Consideriamo tre alni e v (skuose=v) dei in parcolo si osesia a w(p) il suo velsore asiale: w(p) × (q-p)

wo = w × q     =>     we = w × en = (wx e1 + wz ez + wz e3) × e1 = w3 e2 - w2 e3

e1 e2 e3

nel problema precedente

-w2 e3 + w3 ez = d b ez     (     w3 = d b

wz = 0

w ez - w × ez = w1 e3 - w3 en = a(b e4 - b ez) w2 = b

molleur moda del tempol

w(p):     w(p) = b ez + a b e3

Esercizio

Cubo elastico isotropo con spigoli allineati agli assi del S.R.

Risolvi il problema alle forze generate dal piano generale esterna di trazione

sol facendo di:

  • Invariante le lunghezze degli spigoli
  • Preservi l'angolo retto tra gli spigoli

delle facce di normale e1 => E11 = E22 = ∅

Risolvi

Problema elastico

1) Lunghezza degli spigoli invariate

Δc (ei; ∅ ) = ∫  ci = ∅

-> Eii = ∫ Δ  (ci) /  (ci) = ∅

(perché T = 2 μ Eii + λ tr E)

σij = 2 μ Eij + λ tr E δij

σii = 2 μ Eii = 0

2) Angolo retto tra spigoli di normale e1 e e3 preservato

ΔΘ (e1, e3) != ∅

=> E12 = ½ ΔΘ / Θ

=> E13 = ½ ΔΘ(e1, e3 ) / Θ(e1, e3 ) = ∅

=> σ13 = 0

· Perché trattasi di un cubo isotropo, rifarsi o equazioni di carico di e permettono si trovino n componenti del tenso T

T = 2 μ Eij + λ δij

σij = 2 μ Eij + δ E

Conoscere n02Θ

12 = 2 μ γ

E23 = γ -> 23 = 2 μ γ

Riconosco E e poi T

E = \[\begin{pmatrix} \varnothing & \varnothing & \varnothing \\ \varnothing & \eta & \varnothing \\ \varnothing & \varnothing & \varnothing \end{pmatrix}\]T = \[\begin{pmatrix} \varnothing & 2\mu\gamma & \varnothing \\ 2\mu\gamma & \eta & 2\mu\gamma \\ \varnothing & 2\mu & \varnothing \end{pmatrix}\]T \cdot u\vec{m}sono \Rightarrow dir.\vec{n} + x^o = \varnothing \Rightarrow \vec{n} \cdot E\]

E u\vec{m}sono \Rightarrow cost.\vec{n} \cdot E = \varnothing \Rightarrow M \mu

\intreprera e l'esaurerazione di concavercura \[ \Sigma = \mu \cdot E \]

(codore port 'di apport. Appr ad s)

...\Uvec{m_3}sequaturra \\\{ \\mi_1+K_2 = z\Uvec{g} \\\}

M_1 = \hat{M}_1 (x_2, x_3) \quad \Rightarrow \quad \frac{\partial}{\partial x_1} (\begin{pmatrix}MN_{11}, \mu_{12} & \mu_{13} \\MN_{31}, \mu_{33} & MN_{21}\end{pmatrix})- M_{32,1}\]

...M_{02} = 2\eta - \frac{K_{3,1}}{K_{2,1}}\\\]...\[0 = cK_['n2,1}] + K_{2,3} \quad \Rightarrow \quad k_{2,1}^{''} = -K_{3,\].

...M_2 = (2yK_{3,1})K'_2x_3 \quad...

M_1 = \frac{\mathrm{d} x_2 - \beta x_3}{\partial x} = lda x_1 \\ \end{pmatrix}\]\]\]...

Assi principali di deformazione e deformazioni principali

E' il sistema di riferimento per il teorema spettrale e' diagonalizzabile. Quindi

le ricerca sugli assi principali di deform. si riduce ad un problema agli autovalori

E e' E : e 1 ∈ R 1 e ∈ V

(E - λ I) e = ∅ => det (E - λ I) =

∆ - γ ∅

δ - η

γ η - λ

-λ ( γ2 - η2 ) - γ ( -γ) : :

= - λ3 + η2 + γ2 = 0

= - λ ( - λ2 + η2 + γ2 ) = 0

λ 1 = 0

λ 2= ± √(γ2 + η2)

e2 = ∅

e3 = √(γ2 + η2)

Assi principali di deformazione

- γ ± √γ2 ± γ2 ± 1

+ η2 + √(γ2 + η2)

η

γ ± η2 ± √(γ2 + η2)

γ

+ η2 + √(γ2 + η2)

= ∅

=>

=> {

h2 =

+ √(γ22) η + γ h2 = 0

γ

- √(γ2 + η2) h3 + γ

+ η2 ± √(γ2 + η2) γ

η

- √(γ2 + η2) γ

η

+ η2 ± √(γ2 + η2) h3 = ∅

l3 = c

γ h3 + √(γ2 + η2) h2

= ∅

+ γ

+ η2 ± √(γ2 + η2)

+ √(γ2 + η2) h3 = ∅

= ∅

l3 = c

|h 1 |2 = 1 => ( γ2 ± η2 ± 1 )c2 = 1 => C = η

γ2

|h 1 |2 = γ2

l3 = c

γ/√(γ22) e1 =

e1 =

η1/V e2 =

e2 =

η/ √(γ22) e3

⟦ l1 l2 l3

( o o ) ( l1 ) ( o )

( o ν ) ( l2 ) ( o )

( η η ) ( l3 ) = ( o )

⇒ { η l2 = ο

ο l1 + η l3 = ο

η l3 = ο

lη =: c

l2 = : г

l3 = : - گc

【 l l' l = 1 dυ l1'q1' ( 1 η )l'q1' 】 c l'3

c = η γ √lk lk qк γ e1

l = m η √lk lk qк γ e1

- ѕiη ϕ √lk lk qк e3

delle teore

m = b×l

b×l

Se [ ]

W =

⟹[W] =

(⨆

- A k λ A

2

C λ x 3

2

A k λ A 2

C λ x 3 2

-⨆ -

B k 2

-⨆

-Bk 2

-W2e3+w3e2

- Ak λA,

-2

C λx3 e2 2

-W2= ⬠ -C x3 2,

w3:=,

△,x3,2/

wo e 3 - w1e1 = :

A λ2 ,2

e 1

,: Bk 2

- B k" e3("

w o : =

-B k 2

W :=

-- B 2 x e x -

-C2 x2 e 2 - A2 ,k2 e,3 (

* 喆你達 TRALDAE 8 e R Q1= pTA Q1 ----- e

R P -=

M (α) эфиранды M(P) == Na (p) ( P - α) = E(P) (P - α) + W(P) x (ν - )

E(C) (P - Q) = (

(A .| , 2 e C) 2 e e 3

. ↪ carry

. B έ -

. 3 CO 3

) : - | (

,- 2. e 2,3iela 2')}

:=, - . . Q 2/ i e, 壹

= .± 2C

( ) x (s X (, 2 ' e 3.

)/ ), e + H - , Mo, 3 ',e,

(Esercizio)

% sfv = d

% sfg = β

Risolvere

dl1 = Enn = dL/L

  1. ∫ ν = tr ε = Enn + εl2 + εg3 = α/100

  2. ϕL3 = Εg3 = Β/100

  3. Enn + εL1 + B/100 = α/100

L'appunto della polita e lo è

             (Enn/εL1) = (1/1 - ν/ν) (- ν/- 1) (- ν/- ν- 1)( ν /1) (σ2) (σ3) = Εnn/1EL1/Εg3β/ 100= 1/Εy(σ1 - νσ2 - νσ3)EL1/1/Εy(- νσ2 + νσ2 + νσ3) = 1/Εy(- νσ1 - νσ2 + σ3)

  1. 1/Εyσ3 - ν(σ1 + σ3) = (σ1)+ 1/Εy[σ2 - ν(σ1 + σ3)+Β/100= α/100]

1/Εy(σ3 - νσ2 - νσ2 + σ3 + νσ2 - νσ1 - σ3σ2 - νσ2 - σ1 + ν) = (α - β) εg/100

α

  1. σ3 = (1 - μ)/1 + σ2) + Εy (β - α)/200ν

1) Soluzione (a)

dr ≠ dz

σ3c = (1-ν) / r σ1 + (6γ(θ-λ) / 20αν)

2) Soluzione (b)

dr = 0

Anteprima
Vedrai una selezione di 4 pagine su 12
Esercizi di Meccanica dei solidi sulla teoria lineare dell’elasticità tridimensionale Pag. 1 Esercizi di Meccanica dei solidi sulla teoria lineare dell’elasticità tridimensionale Pag. 2
Anteprima di 4 pagg. su 12.
Scarica il documento per vederlo tutto.
Esercizi di Meccanica dei solidi sulla teoria lineare dell’elasticità tridimensionale Pag. 6
Anteprima di 4 pagg. su 12.
Scarica il documento per vederlo tutto.
Esercizi di Meccanica dei solidi sulla teoria lineare dell’elasticità tridimensionale Pag. 11
1 su 12
D/illustrazione/soddisfatti o rimborsati
Acquista con carta o PayPal
Scarica i documenti tutte le volte che vuoi
Dettagli
SSD
Ingegneria industriale e dell'informazione ING-IND/34 Bioingegneria industriale

I contenuti di questa pagina costituiscono rielaborazioni personali del Publisher airelav_1211 di informazioni apprese con la frequenza delle lezioni di Meccanica dei solidi e studio autonomo di eventuali libri di riferimento in preparazione dell'esame finale o della tesi. Non devono intendersi come materiale ufficiale dell'università Università degli Studi di Roma La Sapienza o del prof Nardinocchi Paola.
Appunti correlati Invia appunti e guadagna

Domande e risposte

Hai bisogno di aiuto?
Chiedi alla community