Estratto del documento

ESERCITAZIONE 1

E Xi Xi

= X3)et at

((Xz X3)e

(Xz

+ -

(2 + -

= 2t

X3)e 1(X

&(Xz X3)e -

(C3 +

= -

-

d Di

a) Vi = At

E Vi 0

= X3)ae at

Xz)deat (x2

-

&(Xz

vz + -

= at

Xz)aeat E(X -

x3)ae

&(Xz +

V3 + -

= a

ai =

& ai G

= [(xz at

(E(xz xz)]

X3)]a et de

az +

= + -

X3)]aea at

[E(Xz (2(Xz Xz))ale

93 -

= + -

-

coordinate

b) spaziali

con : at

X3)eat

(Xz (2

X3

Xz -

(3)e

(3

x2 + +

+ = +

>

= at ((3)eat

(Xz X3)e

- ()(2

X2

x3

(2 X3

= > =

-

- - -

E VI 0

= (3) e/4)at((xz (s)e)aat

= ((xn

Vz ax

+ - =

a)

at)aeat (3) eat)ae

= + (((2

((( 3)

V3 ax

+ =

-

S dVi

Ai O

= =

at +Ve

= A

V3

az + =

avvive

93 =

& Xieacostante non

3 ,

= l'accelerazione !

eat

X2

x = at

X3e

x3 = dVi

a

Vi

a) ai =

= at

I geat a pat

I

X X

vi a

,

= = , pat

Xza

Xcaeat

Vz A2

= =

2at 2at

V3 X34aé

23) 2a)e 03

= - =

I &

Lette a Teoria

relazione

b) da P(X

ai

Vi t)

2

:

= i = ,

P(t)

az 1

inversa

az : =

= 49333

29)

33(

V3 ab

= =

- 04

=

u a = at

I = = V V

Vi

ca a

+ + =

+

=Va

a =

=A VVV3

as use

=

sí, poiché

2) Velocità di

Dipende traiettorie

di coincidono

il tempo corrente

non

campo linee

Dal e

a

,

I yd

+

a +

b) 0

=

dy (x + y2

yz) cost circonferenza centrata

v 0 >

+ =

=

=

at nell'origine degli assi

Traiettoria: insieme dei punti occupati da una particella fluida. Quindi tra tutte le circonferenze centrate nell’origine

degli assi, come faccio a sapere quale è la traiettoria della particella che mi interessa? Devo conoscere la posizione

iniziale della particella. yX

Syd Jack

ady dy ydy=

C) ydyxdx integro.

o e

+

=

,

, Xo

UX

2 0

= Circonferenza

x yz

y2

x2 + passante per

+

= Yo)

(Xo ,

Conosciamo la velocita in termini di coordinate euleriane spaziali, per cui io posso usare:

d) Ev =

. a

Al GuGU

Per cui Ax = Y

=Pu

ay

=

-y

E

+ yy -

-yyyy]

ax = = -2

XY

y2)

c(N(x2 2

x yz) (

+ x2 (29) y2

+

ay =

= yzz

- yzz +

(x2 + +

ESERCITAZIONE 2

> tus

the

-1 63 O

O

-xn

-xn

-xn GUs

Guz

zU1 wo GRADiente

a) M O

-

=

Joa

= doca

Axa Gus

zuz

zur -

233

263

76z o

(Guu DIVERGENZA

b) r

. = ? continuità

è da

fluido incomprimibile Si perche

c) quando

eq f cost.

.u o =

= =

.

Gu

Diji

deformazione

d) velocità di

tensore delle t

: Ci

2 2) + W62

+ 0

O A

E ) 12 -

+

D O O

= + -62 to

Gu

a

o

· . erijuikr

2) velocità di

tensore rotazione

delle : - E62

GUGU 0 -

3

O -Gu

M12

2 O

= - Ex o

62

r 223

- 3

1 - -

O

f) all'istante

particella in descrizione euleriana

traiettoria fenida P siamo una

t 2)

(2

per 2

o ve

= = ,

, =-

V

Way

=

V v

= ,

,

dobbiamo integrare per avere la posizione della particella al variare del tempo

da3 CSt 2

xz

0

= > =

=

ot .

% -2we daz 2Wx1

Way j

= =

- at h

-Way 2 sme -

2w

,

= D

= Il se

3

+ 2) s circonferenza di raggio rad(8)

+a = R

8

cost 22

0 <

= -

= =

. d

h

- zw 2

Altro modo: poi integrare

> ato

h -

Sostituisco

da ZWa ho

x

> =

= h

Olt dt

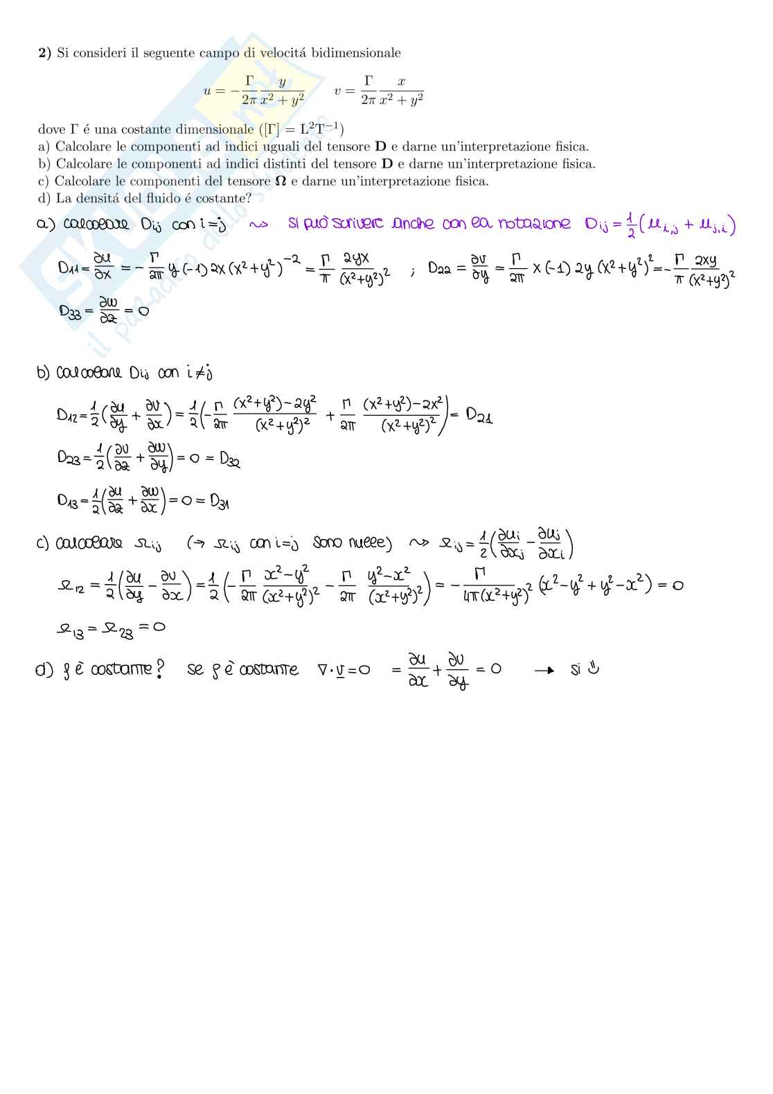
zw 1 (Mi Mail)

può la

y notazione

Dij si anche

scrivere Dij

a) Calcolare con i con +

>

= =

= - 2YX =

4 42xy

2 y4

=

-

yz) X(1)2y(X

Dn D22

1)2X(X2

y( + +

= = -

: yz2

π(X2 +

E

D33 0

=

= is

Cascolore

b) Dij con EUR e

=R

ECOV) D21

Dn =

=

D23 Da

0

= =

y

1GUGW =D

D13 = Gui-G

=

a (e

Calcolare sono

= nulle) rij

ris con s

rij

= =

= -

& 0

22z

f =

=

3

, =Gu=

? it

gécostante

9) costante 0

Se . o

=

- 12zy -

Syn(x2 -

yz

velocità

di

as campo u +

: =

= y2

+

122x maxz

-

A SynE(x2 -

yz)

v +

= = yz

Y circonferenze ? ?

centrate

b) wiia

come assi

degli

nell'origine

succe Perche

y

R2 X2

circonferenze

Le centrate nell'origine + cost.

= =

: M costanti

en(R)

4 di

Linee

COST corrente

-

=> =- =

an . fissando

diminuiscono

Velocità

componenti fissando

all'aumentare sia

della

di distanza

Le sia y

da

(distanza ↑

circonferenza quindi rimane

su costante

quindi voniano cost

Zero)

y e

una non

, ny man mano che mi allontano

Abbiamo che questo è un vortice nel piano xy rT dal centro la velocità

X diminuisce. È un vortice con

> circolazione antioraria.

[2]

( 1

(3

[n] [r] -

+

- =

= =

La velocità diminuisce

man mano che ci si

allontana dal centro

perché il campo di

velocità è quello di un

vortice piano con

funzione di corrente

ESERCITAZIONE 3

a) (formula costante)

T 2 MD

PI per

+

= - =

E =

+E

Dij Du D22

con o

o

=

= =

j

Est-Esen( - ]

D12 = -41 [sen(wt-

= (s)-cos(t-2)] Da

=

P Pe

2D =

4 +

= e-4/0 [Sensit 10 4pa

Y/s)]

y/8)

MY Pat

-cos (w in 1

+ 55c

1 26

T12 -

= =...

= =

- -

, .

.

PTRY Ta

T

P

tel

(8 n')

E

n =

b) p +

>

=

. =

=

. i P

t() nk)

n Ta)

T (p

p ( 0)

1

= =

· =

. -

, .

,

C) =P

Y 4 D,T

= n =

= =

.

58 Larghezza

0

· . 58

10

D

> Unitoria .

f) - P

18

0 Fx 4f

· u

dydz

. -P0 -2

= =

= , ,

X 58

superficie 58 0

10

di

Forza .

. dydz=fue[senwt-y)-cs(W-4)]ly

=

Ta

Fr , Y

I

d

I L X

P Eusend(d

a) T = 2y)

MDrz

2MD Tra

dove 2

PI T21

+

= =

= -

- =

=

Di 0

=

a /GUE=senzy + sent(a-y)) =

=

D12 -

se

=

D22 Y Walsena

Ti

tx T2

4 0)

(tx ty)

I tx(y

=

A

=> - =

= . = =

= , ty p

= - %(2)

Anteprima
Vedrai una selezione di 7 pagine su 28
Esercitazioni Idrodinamica 2  Pag. 1 Esercitazioni Idrodinamica 2  Pag. 2
Anteprima di 7 pagg. su 28.
Scarica il documento per vederlo tutto.
Esercitazioni Idrodinamica 2  Pag. 6
Anteprima di 7 pagg. su 28.
Scarica il documento per vederlo tutto.
Esercitazioni Idrodinamica 2  Pag. 11
Anteprima di 7 pagg. su 28.
Scarica il documento per vederlo tutto.
Esercitazioni Idrodinamica 2  Pag. 16
Anteprima di 7 pagg. su 28.
Scarica il documento per vederlo tutto.
Esercitazioni Idrodinamica 2  Pag. 21
Anteprima di 7 pagg. su 28.
Scarica il documento per vederlo tutto.
Esercitazioni Idrodinamica 2  Pag. 26
1 su 28
D/illustrazione/soddisfatti o rimborsati
Acquista con carta o PayPal
Scarica i documenti tutte le volte che vuoi
Dettagli
SSD
Ingegneria civile e Architettura ICAR/01 Idraulica

I contenuti di questa pagina costituiscono rielaborazioni personali del Publisher Pesciolin0 di informazioni apprese con la frequenza delle lezioni di Idrodinamica e studio autonomo di eventuali libri di riferimento in preparazione dell'esame finale o della tesi. Non devono intendersi come materiale ufficiale dell'università Università degli studi di Genova o del prof Vittori Giovanna.
Appunti correlati Invia appunti e guadagna

Domande e risposte

Hai bisogno di aiuto?
Chiedi alla community