Estratto del documento

COGNOME NOME MATRICOLA

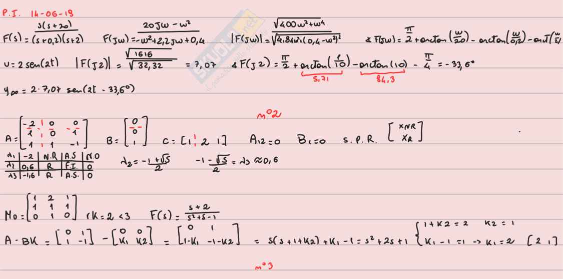
Test A del 14.06.2019

1) Data la seguente funzione di trasferimento ( + 20)

() = (

( + 0.2) + 2)

 tracciare il diagramma di Bode

 calcolare la risposta a regime al segnale sinusoidale u(t)=2*sin(2* t).

2) Il sistema continuo a seguire

−2 0 0 0 [1 ]

=[ ] [ ]

= =

1 0 1 0 2 1

1 −1 −1 1

 l’osservabilità

studiare la stabilità, la raggiungibilità,

 calcolare la funzione di trasferimento

 progettare il controllore, in modo da avere gli autovalori in -1

3) Il sistema continuo a seguire

−4 1 0 1 1

0 0 1 0 0 [0 ]

=[ ] [ ]

= = 2 1 0

0 −3 4 0 1

0 0 0 −3 0

 l’osservabilità

studiare la stabilità, la raggiungibilità,

 calcolare la funzione di trasferimento

 progettare un regolatore lineare sullo stato, con autovalori in -1.

Cognome e Nome Matricola

Test TDS-A del 19.07.2016

1) Dato il seguente sistema continuo

−1 0 0 0 [0 1]

=[ ] [ ]

= =

0 1 1 0

0

0 0 1 1

 Studiare la stabilità 0

 [ ]

(0) = 0

Calcolare la risposta del sistema per un ingresso costante (u(t)=1 ) e con 1

 Studiare la controllabilità e progettare un controllore in modo da garantire la stabilita del

sistema

 Studiare l’osservabilità e progettare un osservatore asintotico

 Progettare il regolatore in modo da garantire la stabilita del sistema.

Cognome e Nome Matricola

Test 20.01.2017

1) Dati i sistemi a seguire:    

1 0 1  

  

   

A B C 0 1

1 1 1

  

0 5 1

   

1 0 1  

  

   

A B C 1 1

2 2 2

  

0 5 0

 Studiare la raggiungibilità e osservabilità dei sistemi e calcolare le funzione di trasferimento

Collegarli in parallelo e

 determinare la rappresentazione in forma di stato

 determinare la funzione di trasferimento

 Studiare la raggiungibilità e osservabilità del sistema

 Progettare un regolatore per stabilizzare il sistema

2) Dato il seguente schema a blocchi  (s)

- 1

 (s) +

2 +

 (s)

3

dove [−2] [1] [3]

= = =

1 1 1

[−3] [1] [1]

= = =

2 2 2

[−1] [1] []

= = =

3 3 3

determinare:

 

La rappresentazione interna e la funzione di trasferimento del sistema globale 123

 

Studiare la stabilita, raggiungibilità ed osservabilità del sistema al variare di k

123

Fissato k=0, per il sistema 123

 Calcolare la risposta u(t)= (t)

 Tracciare il diagramma di Bode

 Calcolare la risposta al segnale u(t)=5 sin(3 t)

Cognome e Nome Matricola

Test 19.06.2017

1) Dato il sistema a seguire dove y(t)=V (t) ed u(t)=v(t), determinare la rappresentazione in forma di stato

r2

parametrica, e successiv

Anteprima
Vedrai una selezione di 5 pagine su 19
Compiti d'esame svolti Teoria dei sistemi - Parte 2 Pag. 1 Compiti d'esame svolti Teoria dei sistemi - Parte 2 Pag. 2
Anteprima di 5 pagg. su 19.
Scarica il documento per vederlo tutto.
Compiti d'esame svolti Teoria dei sistemi - Parte 2 Pag. 6
Anteprima di 5 pagg. su 19.
Scarica il documento per vederlo tutto.
Compiti d'esame svolti Teoria dei sistemi - Parte 2 Pag. 11
Anteprima di 5 pagg. su 19.
Scarica il documento per vederlo tutto.
Compiti d'esame svolti Teoria dei sistemi - Parte 2 Pag. 16
1 su 19
D/illustrazione/soddisfatti o rimborsati
Acquista con carta o PayPal
Scarica i documenti tutte le volte che vuoi
Dettagli
SSD
Ingegneria industriale e dell'informazione ING-INF/05 Sistemi di elaborazione delle informazioni

I contenuti di questa pagina costituiscono rielaborazioni personali del Publisher Luca_HD di informazioni apprese con la frequenza delle lezioni di Teoria dei sistemi e studio autonomo di eventuali libri di riferimento in preparazione dell'esame finale o della tesi. Non devono intendersi come materiale ufficiale dell'università Università degli Studi di Catania o del prof Bucolo Maide.
Appunti correlati Invia appunti e guadagna

Domande e risposte

Hai bisogno di aiuto?
Chiedi alla community