Anteprima
Vedrai una selezione di 8 pagine su 33
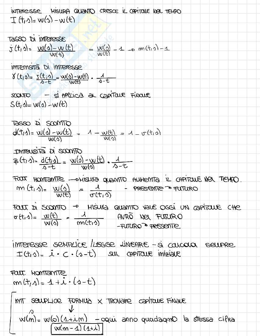
Riassunto esame Matematica finanziaria, Prof. Figà Talamanca Gianna, libro consigliato Manuale di finanza, Castellani  Pag. 1 Riassunto esame Matematica finanziaria, Prof. Figà Talamanca Gianna, libro consigliato Manuale di finanza, Castellani  Pag. 2
Anteprima di 8 pagg. su 33.
Scarica il documento per vederlo tutto.
Riassunto esame Matematica finanziaria, Prof. Figà Talamanca Gianna, libro consigliato Manuale di finanza, Castellani  Pag. 6
Anteprima di 8 pagg. su 33.
Scarica il documento per vederlo tutto.
Riassunto esame Matematica finanziaria, Prof. Figà Talamanca Gianna, libro consigliato Manuale di finanza, Castellani  Pag. 11
Anteprima di 8 pagg. su 33.
Scarica il documento per vederlo tutto.
Riassunto esame Matematica finanziaria, Prof. Figà Talamanca Gianna, libro consigliato Manuale di finanza, Castellani  Pag. 16
Anteprima di 8 pagg. su 33.
Scarica il documento per vederlo tutto.
Riassunto esame Matematica finanziaria, Prof. Figà Talamanca Gianna, libro consigliato Manuale di finanza, Castellani  Pag. 21
Anteprima di 8 pagg. su 33.
Scarica il documento per vederlo tutto.
Riassunto esame Matematica finanziaria, Prof. Figà Talamanca Gianna, libro consigliato Manuale di finanza, Castellani  Pag. 26
Anteprima di 8 pagg. su 33.
Scarica il documento per vederlo tutto.
Riassunto esame Matematica finanziaria, Prof. Figà Talamanca Gianna, libro consigliato Manuale di finanza, Castellani  Pag. 31
1 su 33
D/illustrazione/soddisfatti o rimborsati
Acquista con carta o PayPal
Scarica i documenti tutte le volte che vuoi
Dettagli
SSD
Scienze economiche e statistiche SECS-S/06 Metodi matematici dell'economia e delle scienze attuariali e finanziarie

I contenuti di questa pagina costituiscono rielaborazioni personali del Publisher Lastudiosa04 di informazioni apprese con la frequenza delle lezioni di Matematica finanziaria e studio autonomo di eventuali libri di riferimento in preparazione dell'esame finale o della tesi. Non devono intendersi come materiale ufficiale dell'università Università degli Studi di Perugia o del prof Figà Talamanca Gianna.
Appunti correlati Invia appunti e guadagna

Domande e risposte

Hai bisogno di aiuto?
Chiedi alla community