Estratto del documento

matematica

Triangolo rettangolo

a \ sezione aurea di \ a + b

a+b \over a = a \over b

moltiplico \ x \ ab

Ca = {a^2 + ab \over a + b} = a-b+{ab \over a+b} = Porto fuori.

a-b \cdot {1 + \sqrt{5} \over 2} \hspace{10pt} a-b \cdot {1 + \sqrt{5} \over 2} = b \left({1 + \sqrt{5} \over 2}\right)

* \sqrt{5} = {m \over n} \hspace{10pt} con \hspace{10pt} m,n \hspace{10pt} interi \hspace{10pt} positivi ? \hspace{10pt} NO

SUPPONIAMO \hspace{10pt} \sqrt{5} = {m \over n} \hspace{10pt} con \hspace{10pt} m, n \hspace{10pt} senza \hspace{10pt} divisori \hspace{10pt} comuni.

5 = {m^2 \over n^2} \hspace{10pt} m^2 - 5n^2 \hspace{10pt} è \hspace{10pt} divisibile \hspace{10pt} per \hspace{10pt} 5, \hspace{10pt} quindi \hspace{10pt} m \hspace{10pt} è \hspace{10pt} divisibile \hspace{10pt} per \hspace{10pt} 5. \hspace{10pt} con \hspace{10pt} m = 5q \hspace{10pt} con \hspace{10pt} q \hspace{10pt} intero

{5^2q^2 \over n^2} = 5 \hspace{10pt} m^2 \hspace{10pt} è \hspace{10pt} divisibile \hspace{10pt} per \hspace{10pt} 5, \hspace{10pt} quindi \hspace{10pt} n \hspace{10pt} è \hspace{10pt} divisibile \hspace{10pt} per \hspace{10pt} 5

n = 5q \Rightarrow \hspace{10pt} q \hspace{10pt} numero \hspace{10pt} intero. \hspace{10pt} 5q = {5q \over m}

Questo \hspace{10pt} vuol \hspace{10pt} dire \hspace{10pt} che \hspace{10pt} anche \hspace{10pt} m \hspace{10pt} è \hspace{10pt} divisibile \hspace{10pt} per \hspace{10pt} 5, \hspace{10pt} quindi \hspace{10pt} m \hspace{10pt} è \hspace{10pt} divisibile \hspace{10pt} per \hspace{10pt} 5

Questo \hspace{10pt} vuol \hspace{10pt} dire \hspace{10pt} ance \hspace{10pt} m \hspace{10pt} è \hspace{10pt} divisibile \hspace{10pt} per \hspace{10pt} 5, \hspace{10pt} quindi \hspace{10pt} m \hspace{10pt} è \hspace{10pt} divisibile \hspace{10pt} per \hspace{10pt} 5 !

Ragionamento \hspace{10pt} x \hspace{10pt} assurdo

Voglio \hspace{10pt} trovare \hspace{10pt} un \hspace{10pt} modo \hspace{10pt} x \hspace{10pt} avvicinarmi \hspace{10pt} a \hspace{10pt} \sqrt{5}

3 \leq \sqrt{5} \leq \hspace{10pt} 2

x_0 = 3 \hspace{10pt} \therefore \hspace{10pt} x_0 \approx \hspace{10pt} 2 \dftrac{5}{x_0}

{4 \over x_0} \approx x_0

x_0 \hspace{10pt} approssima \hspace{10pt} x \hspace{10pt} eccesso

{5 \over x_0} \hspace{10pt} approssima \hspace{10pt} x \hspace{10pt} difetto

x_4 = \overline{\frac{1}{2} \left( x_0 + \frac{5}{x_0} \right)} \hspace{10pt} cosa \hspace{10pt} è \hspace{10pt} vuoto.

x_4 - \frac{5}{2} - \sqrt{5} \gt 0 \hspace{10pt} (x_0-\sqrt{5})^2

x_4 = \frac{1}{2} \left(x_4 + x_4\right)

x_4 \hspace{10pt} approssima \hspace{10pt} \sqrt{5} \hspace{10pt} per \hspace{10pt} eccesso \hspace{10pt} come \hspace{10pt} x_0, \hspace{10pt} ma \hspace{10pt} è \hspace{10pt} vicino!

x_{n} = \frac{1}{2} \left( x_{n+1} + {5 \over x_n} \right) \to n = 1, 2, \ldots

x_0, \, x_1, \, x_2, \to x_n \, \to successione \hspace{10pt} andare \hspace{10pt} viano \hspace{10pt} ad \hspace{10pt} un \hspace{10pt} numero \hspace{10pt} reale

\sqrt{5}

matematica

Ca = a2 + a2 / a + bCb = b2 + b2 / a + ba + b = 0a * a + b1 + 2a2 / (a + b)

a - b + 51/2 = b(1 - 5) / 2

Ca * b(in)

SUPPONIAMO √5 = m / n con m, n, senza divisori comuni.

5 * m2 = 5m2m2 - 5m2 m2 è divisibile per 5, quindi m è divisibile per 5 (con m = 5q con q intero)

5q2 * m2 = 5m2 m2 è divisibile per 5, quindi m è divisibile per 5m = 5q

Ragionamento

x0 = 1 / 2 (x0 + 5 / x0)

x1 = 1/2 ( x4 + x0)x2 - 3

x0, x1, x2 - successione

andare vicino ad un numero reale

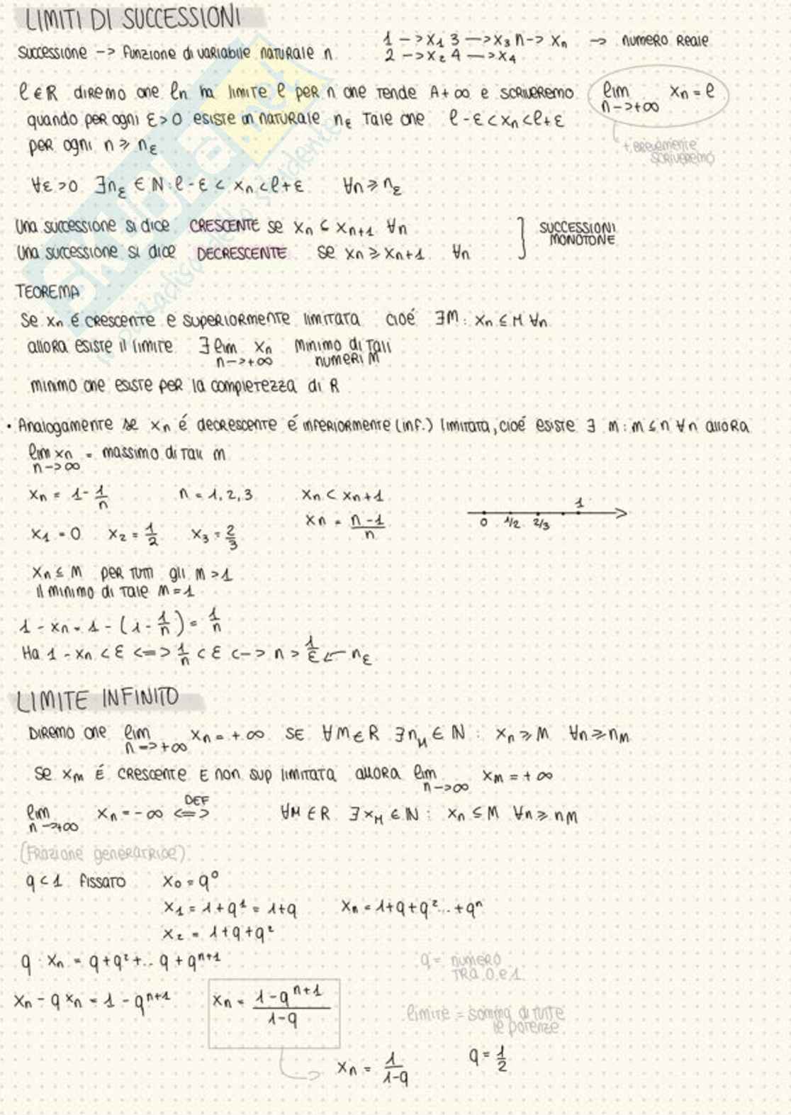
LIMITI DI SUCCESSIONI

successione -> Funzione di variabile naturale n

x1 -> x1 / 3 -> x3 n->xn -> numero reale

2 -> x2 4 -> x4

l ∈ ℝ diremo che xn ha limite l per n che tende A +∞ e scriveremo

quando per ogni ε > 0 esiste n naturale nε tale che l-ε < xn < l+ε

per ogni n>nε

∀ε>0 ∃nε∈ℕ ∀n∈Ε·xn∈(l-ε,l+ε)

una successione si dice crescente se xn < xn+1 ∀n

una successione si dice decrescente se xn ≥ xn+1 ∀n

TEOREMA

Se x

Anteprima
Vedrai una selezione di 6 pagine su 21
Matematica - Prima parte Pag. 1 Matematica - Prima parte Pag. 2
Anteprima di 6 pagg. su 21.
Scarica il documento per vederlo tutto.
Matematica - Prima parte Pag. 6
Anteprima di 6 pagg. su 21.
Scarica il documento per vederlo tutto.
Matematica - Prima parte Pag. 11
Anteprima di 6 pagg. su 21.
Scarica il documento per vederlo tutto.
Matematica - Prima parte Pag. 16
Anteprima di 6 pagg. su 21.
Scarica il documento per vederlo tutto.
Matematica - Prima parte Pag. 21
1 su 21
D/illustrazione/soddisfatti o rimborsati
Acquista con carta o PayPal
Scarica i documenti tutte le volte che vuoi
Dettagli
SSD
Scienze matematiche e informatiche MAT/05 Analisi matematica

I contenuti di questa pagina costituiscono rielaborazioni personali del Publisher nicolesclafani05 di informazioni apprese con la frequenza delle lezioni di Matematica e studio autonomo di eventuali libri di riferimento in preparazione dell'esame finale o della tesi. Non devono intendersi come materiale ufficiale dell'università Università degli Studi di Bologna o del prof Cicognani Massimo.
Appunti correlati Invia appunti e guadagna

Domande e risposte

Hai bisogno di aiuto?
Chiedi alla community