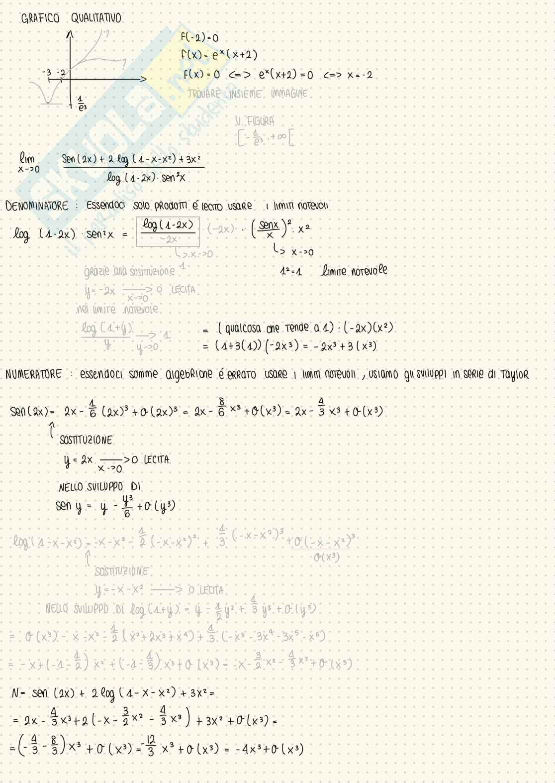
Estratto del documento

F'(x)

F(x) = ∫ β(x)dx = ∫ df

INTEGRALE DI FUNZIONI RAZIONALI (cioè rapporto di polinomi)

p(x) N(x), Q(x)

funzioni polinomi

Integrali di base

∫ xndx = 1/n4

∫ xndx = xn+1/n+1

∫ 1/x dx = ln|x|

∫ 1/xn dx = -1/(n-1)xn-1

ALGORITMO

Passo zero

N(x) = D(x)·Q(x) + R(x)

F(x) - N(x)/ D(x) = Q(x) + R(x)/D(x)

Passo uno

(x-a)m x2+bx+c/ b2-4ac

Scrivere

N(x)/ D(x)

come somma di fratti semplici

(x-a)m

Passo finale

F'(xo) = β(x)

F(x) = ∫β(x)dx = ∫df

Primitiva "o" integrale di β

F' = β

df/dx = β df = β dx

Integrale di funzioni razionali (cioè rapporto di polinomi)

β(x) = N(x)/D(x), N(x) polinom. D(x) polinom.

Integrali di base che saranno

  • ∫1/x dx = ln|x| + k
  • ∫xn dx = xn+1/(n+1)
  • ∫1/(xn) dx = x-n+1/-n+1

Es.: ∫4/x2 dx = 4/-2 1/x2

∫4/x2+k = 4/k arctan(x/k)

∫F'(x)/F(x) = ln|F(x)|

ln|g(x)|1/g(x) g'(x) derivata della composta

=> ∫F'(x)/F(x) dx = ln|g(x)|

Algoritmo

Passo zero

Se grado (N) ≥ grado (D) esegui la divisione tra polinomi (divisione euclidea)

N(x) = Q(x)D(x) + R(x)

grado (R) < grado (D)

F(x) = N(x)/D(x) = Q(x) + R(x)/D(x)

Se grado (N) < grado (D) vai al passo successivo

Passo uno

Scomporre D(x) in fattori irriudicibili 1º di 1º 2º di 2º

D(x) = (x-a)m (x2+bx+c)n

Δ = b2-4ac < 0

di primo grado del tipo x-a con molteplicità m e di secondo grado del tipo x2+bx+c con con molteplicità n

Passo due

Scrivere N(x)/D(x) come somma di "Fram semplici"

A1/(x-a)m Am/(x-a)m Se m=1 basta il primo

x2+bx+c/(b2-4q) Ax+B/x2+bx+c

non so se è una n o una m

Passo finale

Usare gli integrali notevoli x integrare, Fram semplici

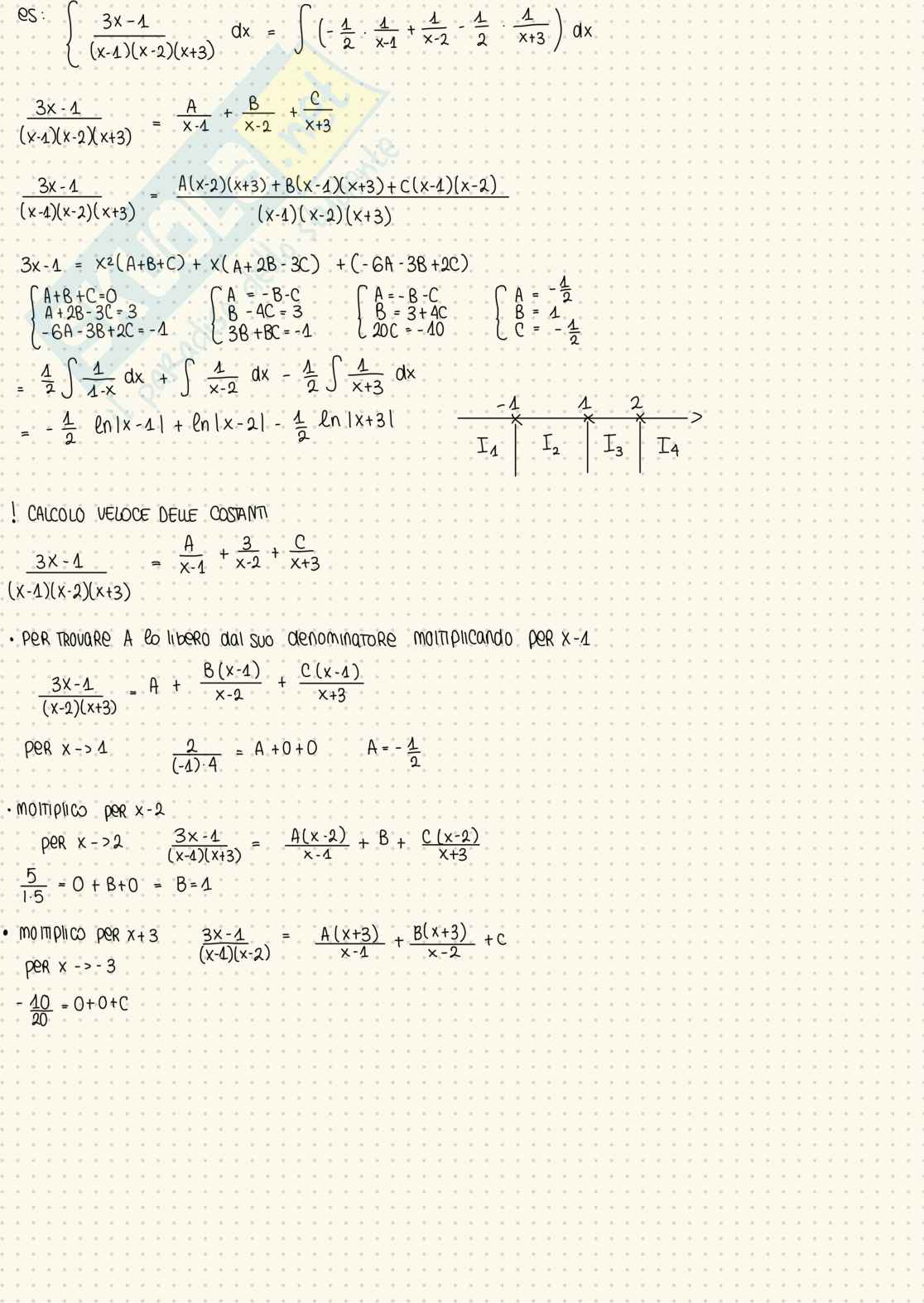
es. ∫x3x-1 / (x-4)(x-2)(x+3) dx = (∫-4 1 / 2x-4 + 1 / x-2 - 1 / 2 + 1 / x+3 ) dx

3x-1 = x-4(x-2)(x+3)

A / x-4 + B / x-2 + C / x+3

3x-1 =A(x-2)(x+3) + B(x-4)(x+3) + C(x-4)(x-2)

(x-4)(x-2)(x+3)

3x-1 = x2(A+B+C) + x(-1A+2B-2C) + (-6A-3B+2C)

  • A + B + C = 0
  • A - B + C = -3
  • A = 4 / 2
  • A = -B-C
  • B = 3 + 4C
  • B = 4
  • 3B + 8C = 4C
  • C = -4 / 2

∫ 4 / 2 dx - ∫ 1-x dx = ∫ -1 / 2 dx - ∫ 1/x+3 dx

= 1 / 2 ln | x-4 | + ln | x-2 | - 1 / 2 ln | x+3 |

I1 I2 I3 I4

1. CALCOLO VELOCE DELLE COSTANTI

3x-1 = / (x-4)(x-2)(x+3)

A / x-4 + 3 / x-2 + C / x+3

PER TROVARE A DO LIBERO DAL SUO DENOMINATORE MOLTIPLICANDO PER x-4

3x-1 A + B (x-4) C (x-1) /x-2 x+3

PER x->2

2 / (-4) -4 = A + 0 + 0 A=- 1/2

PER x->2 3x-4 / (x-4)(x+3) = A(x-2) / x-4 + B C(x-2) / x+3

5 / 1.5 = 0 B + 0 = B=4

PER x->3

3x-1 A(x+3) B(x+3) C /(x-4)(x-2)

40 / 20 = 0+0+C

es

∫ (2x + 1) / (x - 4)2 dx − ∫ (2x + 1) / (x + 4) dx =

Fattore di grado 1o con molteplicità 2

PASSO 1: Den. riducibile

(x - 4)2 = A / (x - 4) + B / (x - 4)2

Moltiplico per (x - 4)2

Fram. semplice - Passo 2

x = A(x - 4) + B

x - 4 = 1 → 0 + B = 0

B = 1/4

(x - 4)2 = A(x - 4) + B

A(x - 4) = (A + 1)

⇒ x = A(x - 4) + 1

  • A - 2 = uguaglio i coefficienti della x
  • 0 = 0 → uguaglio i termini non ( serve da controllo )

es

∫ (2x + 1) / (x - 4)2(x - 4) dx = ∫ (2x + 1) / (x - 4)2(x + 1) dx

PASO 4: [(x - 2) è riducibile]

2x + 1 / (x - 4)2(x + 4) = A / x - 4 + B / (x + 4)2 + C / x + 4

PASSO 2: Somma di Fram. semplice

Moltiplico per x + 4

2x + 1 / (x + 4)(x - 4)2 = A(x + 4) / (x - 4)2 + B(x + 4) / (x - 4)2 + C

x = 2 = 0 + B + 0

x - 4 = 0 →

B = 3 / 2

2x + 1 / (x + 4)(x - 4)2 = A / (x - 4)

3 / 2 (x + 4)2 / (x + 4)(x - 4) =

3 / 2 (x + 4)2 / (x + 4)(x - 1)

2x

Anteprima
Vedrai una selezione di 5 pagine su 17
Matematica, 3 parte Pag. 1 Matematica, 3 parte Pag. 2
Anteprima di 5 pagg. su 17.
Scarica il documento per vederlo tutto.
Matematica, 3 parte Pag. 6
Anteprima di 5 pagg. su 17.
Scarica il documento per vederlo tutto.
Matematica, 3 parte Pag. 11
Anteprima di 5 pagg. su 17.
Scarica il documento per vederlo tutto.
Matematica, 3 parte Pag. 16
1 su 17
D/illustrazione/soddisfatti o rimborsati
Acquista con carta o PayPal
Scarica i documenti tutte le volte che vuoi
Dettagli
SSD
Scienze matematiche e informatiche MAT/05 Analisi matematica

I contenuti di questa pagina costituiscono rielaborazioni personali del Publisher nicolesclafani05 di informazioni apprese con la frequenza delle lezioni di Matematica e studio autonomo di eventuali libri di riferimento in preparazione dell'esame finale o della tesi. Non devono intendersi come materiale ufficiale dell'università Università degli Studi di Bologna o del prof Cicognani Massimo.
Appunti correlati Invia appunti e guadagna

Domande e risposte

Hai bisogno di aiuto?
Chiedi alla community