Estratto del documento

ODE Equazioni differenziali ordinarie

Per equazione differenziale si intende un'equazione che ha come incognite una funzione e che mette in relazione tra loro un certo numero di derivate della funzione stessa.

x variabile indipendentey(x) incognita

f(x, y(x), ẏ(x), …, y(n)(x)) = 0   eq. differenziale

Esempio più semplice di eq. differenziale è

ẏ(x) = f(x)   dove f(x) è una funzione continua in [a, b]

le soluzioni sono   y(x) = ∫x₀x f(t) dt + C   x₀, x ∈ [a, b]

"Ordine" o "grado" di una ODE è il grado più alto tra le derivate in essa presenti.

Se le derivate di ordine superiore si può ricavare in funzione delle altre, ovvero:

y(n) = g(x, y(x), ẏ(1)(x), …, y(n-1)(x))   l'eq. si dice in forma normale

ODE Equazioni differenziali ordinarie

Per equazione differenziale si intende un'equazione che ha come incognite una funzione e che mette in relazione tra loro un certo numero di derivate della funzione stessa.

  • x variabile indipendente
  • y(x) incognita

f(x, y(x), ḋy(x),..., y(m)(x)) = 0   eq. differenziale

Esempio più semplice di eq. differenziale è

ḋy(x) = f(x)   dove f(x) è una funzione continua in [a, b]

le soluzioni sono   y(x) = ∫x₀x f(t) dt + C   x₀, x ∈ [a, b]

"Ordine" o "grado" di una ODE è il grado più alto tra le derivate in essa presenti.

Se le derivate di ordine superiore si può ricavare in funzione delle altre, ovvero:

y(m) = g(x, y(x), ḋy1(x), ..., y(m-1)(x))

L'eq. si dice in forma normale

Alcuni esempi di ODE

L u(t) + g u(t) = 0   pendolo semplice

x(t) + ω2 x(t) = 0   oscillatore armonico

F = - k x   k costante elastica

Fe = m e = m x(t)   -k x = m x

x + km x = 0

ω = √km

x(t) + ω2 x(t) + μ x′(t) + F(t) = 0

Eq. Raffreddamento

Te Temperatura esterna (dell'ambiente)

T(t) Temperatura del caffè al tempo t

Δ QΔ t = κ (Te - T)   C = Δ QΔ T

Δ TΔ t = k (Te - T)   T′(t) = - k T(t)

k = κC > 0

T′e = 0

Soluzioni sono T(t) = C e-kt

Se la temperatura iniziale è T(0) = T0 allora T(t) = T0 e-kt

F(x, y, y', y'', ..., y(n)) = 0 Una ODE di ordine n si può sempre riscrivere come un sistema di Io ordine composto da n equazioni.

Esempio x'' + u2 x = 0 eq. IIo ordine

ponendo x'(t) = V(t) si ha { V' + u2 x = 0 Io ordine

{ x' - V = 0 Io ordine

y(3)(x) = x3 + 3 y'(x) + y(x) y''(x) IIIo ordine

ponendo y'(x) = u(x)

y''(x) = v(x)

{ y'(x) = u(x) Io ordine

{ u'(x) = v(x) Io ordine

{ v'(x) = x3 + 3 U(x) + Y(x) V(x) Io grado

y'(x) = f(x, y(x)) Eq. diff. ordinario del Io ordine in forma normale

Per Problema di Cauchy, si intende un problema composto da un'ODE e una condizione iniziale, ovvero:

{ y'(x) = f(x, y(x)) (1)

{ y(x0) = y0 (2)

dove i valori x0 e y0 sono stati assegnati.

Una soluzione del P.d.C. è una y(x) che soddisfa (1) e (2).

2 soluz. dello stesso problema

{ y' = 2√y

y(0) = 0

y1(x) = x2

y2(x) = 0

y1' = 2x = 2√y1

y1(0) = 0

y2' = 0 = 2√y2

y2(0) = 0

g(x) è Lipschitziana in I intervallo di ℝ

se ∃L>0 : |g(x1)-g(x2)| ≤ L|x1-x2| ∀x1,x2 ∈ I

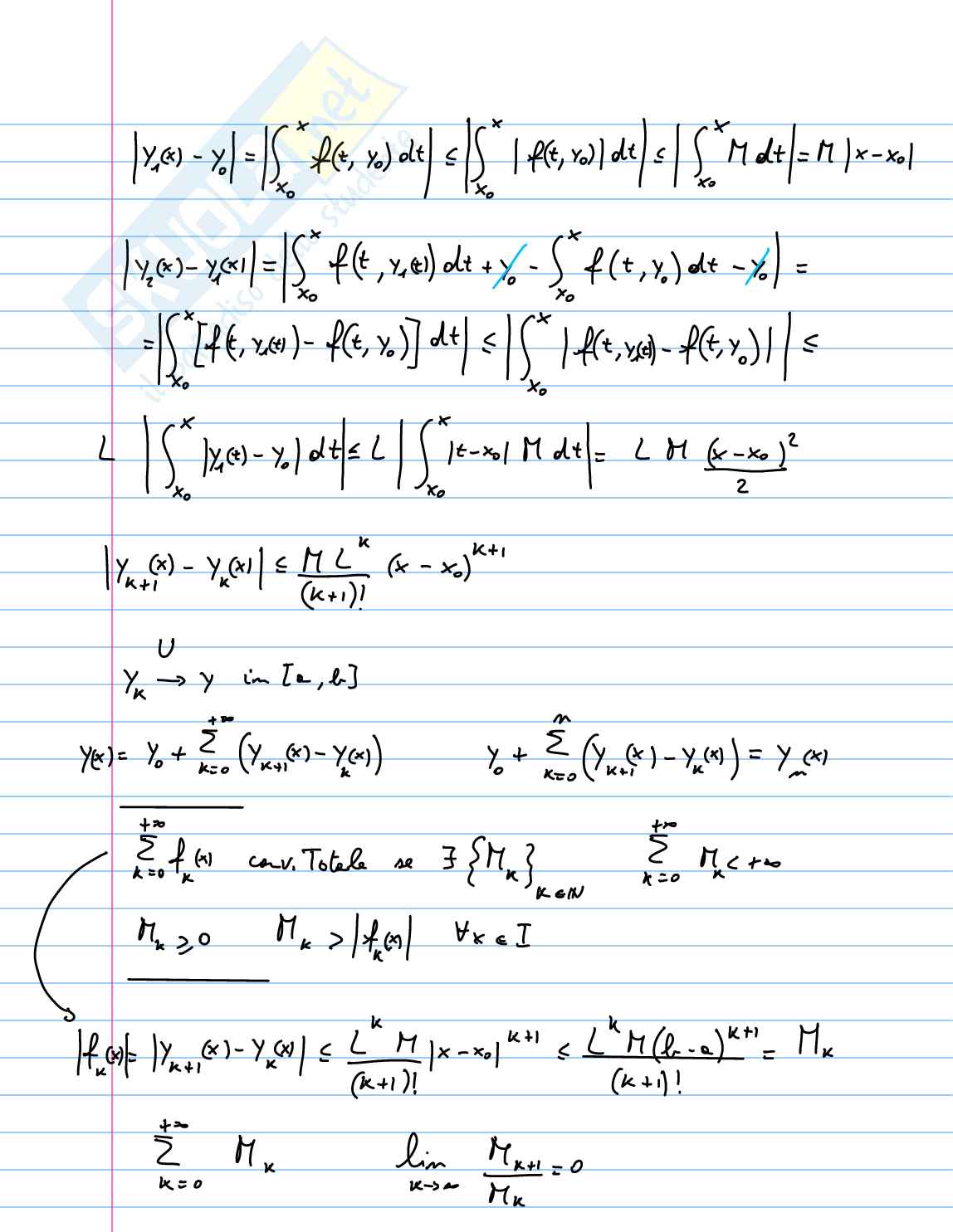
Teorema di esistenza ed unicità local

T. di Cauchy

y' = f(x,y) considero (x0,y0) ∈ ℝ2

Se esiste un intorno di (x0,y0) I x J

I = ]x0-a , x0+a[

J = ]y0-b , y0+b[

tale che f(x,y) è continue in I x J

e lipschitziana nelle variabile y, uniformante rispetto ad x

ovvero: ∃L>0 tale che |f(x,y1)-f(x,y2)| ≤ L|y1-y2|

∀y1,y2 ∈ J e ∀x ∈ I

Allora esiste un S>0 e una unica funzione y(x)

continua e derivabile in ]x0 - S, x0 + S[

soluzione del problema di Cauchy

{ y'(x) = f(x, y(x))

y(x0) = y0

Teorema di Esistenza ed Unicità Globale

f continua in [a,b] × ℝ

∃ L > 0 : |f(x,y1) - f(x,y2)| ≤ L |y1 - y2|   ∀x ∈ [a,b]

    ∀y1,y2 ∈ ℝ

∀x0 ∈ [a,b] e ∀y0 ∈ ℝ esiste un’unica funzione y(x)

continua e derivabile in [a,b] soluzione del problema di Cauchy

{ y' = f(x,y)

y(x0) = y0

Se f(x,y) è continua in un intorno di x0, y0 e se

∂f/∂y è continua in un intorno di x0, y0

allora f(x,y) è continua e lipschitziana in y in un intorno di (x0,y) e possiamo applicare il T. di Cauchy

Infatti detto L il max che |∂f/∂y| assume in un intorno di (x0,y0)

Applicando Lagrange |f(x,y1)-f(x,y2)|=|∂f/∂y(x,c)||y1-y2|

< L |y1-y2|

T'(t) = -k T(t)

y' = -k y

y' = f(x, y) = -k y

∂f/∂y = -k

quindi y' = -k y soddisfa le ipotesi di Cauchy

{ y' = -k y

Y(x0) = y0

C e-kx = y(x)

Y(x0) = C e-kx0 = y0

C = y0 ekx0 y(x) = y0 ekx0 e-kx = y0 e-k(x-x0)

\[ \]

unica soluzione

del problema

y' + a(x) y = 0

y'(x) = -a(x) y(x)

\(\frac{dy}{dx}\) = -a(x) y(x)

\(\frac{1}{y}\) \(\frac{dy}{dx}\) = -a(x)

\(\frac{y'}{y}\) = -a(x)

\(\int \frac{1}{y} \, dy = \int -a(x) \, dx\)

\(y = y(x)\) \(\frac{dy}{dx}\) = y'

\(dy = y' \, dx\)

\(\int \frac{1}{y} \, dy - \int a(x) \, dx\)

log |y| =

Anteprima
Vedrai una selezione di 8 pagine su 33
Equazioni differenziali ordinarie Pag. 1 Equazioni differenziali ordinarie Pag. 2
Anteprima di 8 pagg. su 33.
Scarica il documento per vederlo tutto.
Equazioni differenziali ordinarie Pag. 6
Anteprima di 8 pagg. su 33.
Scarica il documento per vederlo tutto.
Equazioni differenziali ordinarie Pag. 11
Anteprima di 8 pagg. su 33.
Scarica il documento per vederlo tutto.
Equazioni differenziali ordinarie Pag. 16
Anteprima di 8 pagg. su 33.
Scarica il documento per vederlo tutto.
Equazioni differenziali ordinarie Pag. 21
Anteprima di 8 pagg. su 33.
Scarica il documento per vederlo tutto.
Equazioni differenziali ordinarie Pag. 26
Anteprima di 8 pagg. su 33.
Scarica il documento per vederlo tutto.
Equazioni differenziali ordinarie Pag. 31
1 su 33
D/illustrazione/soddisfatti o rimborsati
Acquista con carta o PayPal
Scarica i documenti tutte le volte che vuoi
Dettagli
SSD
Scienze matematiche e informatiche MAT/05 Analisi matematica

I contenuti di questa pagina costituiscono rielaborazioni personali del Publisher gianniadone di informazioni apprese con la frequenza delle lezioni di Analisi 2 e studio autonomo di eventuali libri di riferimento in preparazione dell'esame finale o della tesi. Non devono intendersi come materiale ufficiale dell'università Università degli studi di Napoli Federico II o del prof Della Pietra Massimo.
Appunti correlati Invia appunti e guadagna

Domande e risposte

Hai bisogno di aiuto?
Chiedi alla community