Estratto del documento

1º parziale

compito

1

es 6 in

dado facce

a he

modo abbia

truccato ciascuna poi

un è faccia

Tutte

di

il delle di uscire dispari

doppio ciascuna

prob faccia le facce

pare

Si

hanno stessa

la le

tutte

così modello un

costruisca un

dispari

come x

probabilistico

prob a

la 4

lancio sia

singolo che

di il

dado risultato

sicalcoli

e

questo prob inferiore

SVOLGIMENTO 6

1 4,5

A 2,3

P

P F

3 P

1 5 p o algebra su a

P P 6 G

4 P

29

p 2 F

PIA

PIU F

1

E P F

P

P P PIS PLG

3 1

PIA 2 0

4 A

119

3 31

2 P

1 PIU

PIU 3,5 NE

WE 1 4,6

2

se

se

E WER 4

WC

P 2 P

PCI 27

3

PCE 7

2

es densità IP K

sia di

una con X cio

massa

via La mia è una variabile discreta perché assume solo valori 1-2…

K E 2

2 1,1 funz di rip a gradini

valore di

il

a calcolare C

decade

serie definirla geometrica

serie

espon

questa possiamo

II È 1

2 E

È 1

2 a 24

E EFFIGI

te IN

a

i

Iggy

serie 5

nelle 9 1

9

geometriche di

Si di

trovi funz

b la ripartizione

P

X

E linee

iEso

acxcie.ie aso.Ii aso

caso È

EI

Fx X FAX

Fx X

L It

i icalcoli

Fi È

PCXC4

si

c trovi considero A

in caso a

questo e

P PLX

C2

2 2

1 2 23

930

3

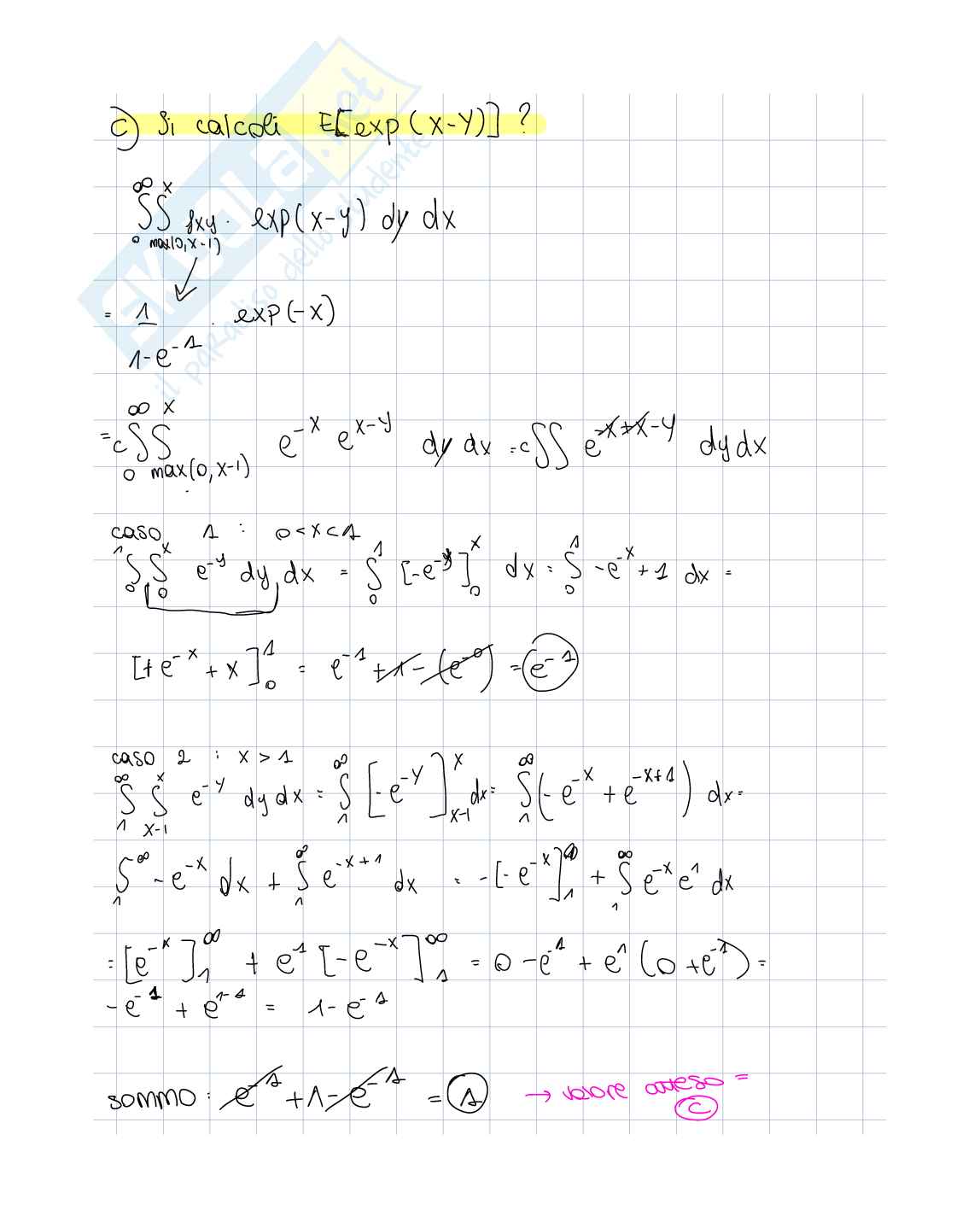
es g

yex

Sia Y

X densità 9 1

aleatorio

vettore

un con X

y

apirò

tt

X

fxy 9 Olya 9 1

expex

c se e0 iiN

mio YSX

TANITA

X

densità

determini di

la

si

a ero poi

e Elena

c dydx

fxylx.ge exPC

Eae dydx

c X aYoeve

rispettarli

entrambi contempo

Gin mate si

traduce

9Iaxco.ly

89 COSÌ

1

maxcox maxco I

A 0

0L

se 1 D

X

O

se g

1

max X

1

SA

A questo punto

elegettIII a S8

Cx gexldx

g4

flx

parti g

integrale SI 9x

4

X

fix 9 EXPEX

94 è

1

X

f I

Exe xè dx

è

è da _è

sé 25 A

è e A

71 C è

0 è

e 1

Ezé A A

e A

è

CL A 47 dy

9 Pea caso

tratti

&egr

Anteprima
Vedrai una selezione di 4 pagine su 13
Compito prima e seconda parte Probabilità Pag. 1 Compito prima e seconda parte Probabilità Pag. 2
Anteprima di 4 pagg. su 13.
Scarica il documento per vederlo tutto.
Compito prima e seconda parte Probabilità Pag. 6
Anteprima di 4 pagg. su 13.
Scarica il documento per vederlo tutto.
Compito prima e seconda parte Probabilità Pag. 11
1 su 13
D/illustrazione/soddisfatti o rimborsati
Acquista con carta o PayPal
Scarica i documenti tutte le volte che vuoi
Dettagli
SSD
Scienze matematiche e informatiche MAT/06 Probabilità e statistica matematica

I contenuti di questa pagina costituiscono rielaborazioni personali del Publisher Martinafrosali di informazioni apprese con la frequenza delle lezioni di Probabilità e studio autonomo di eventuali libri di riferimento in preparazione dell'esame finale o della tesi. Non devono intendersi come materiale ufficiale dell'università Università degli Studi di Firenze o del prof Bet Gianmarco.
Appunti correlati Invia appunti e guadagna

Domande e risposte

Hai bisogno di aiuto?
Chiedi alla community