Anteprima
Vedrai una selezione di 4 pagine su 13
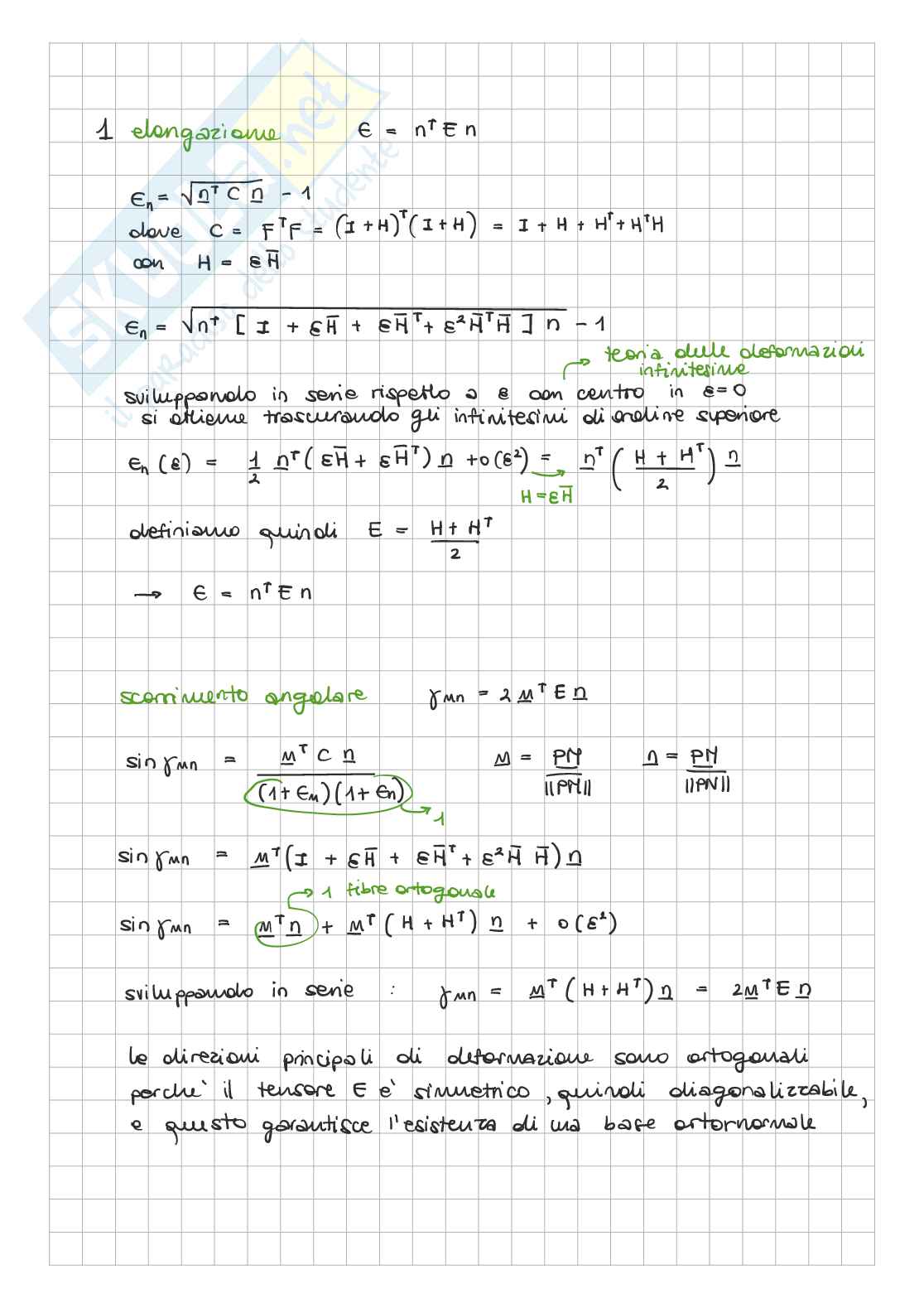
Appunti Meccanica dei solidi Pag. 1 Appunti Meccanica dei solidi Pag. 2
Anteprima di 4 pagg. su 13.
Scarica il documento per vederlo tutto.
Appunti Meccanica dei solidi Pag. 6
Anteprima di 4 pagg. su 13.
Scarica il documento per vederlo tutto.
Appunti Meccanica dei solidi Pag. 11
1 su 13
D/illustrazione/soddisfatti o rimborsati
Acquista con carta o PayPal
Scarica i documenti tutte le volte che vuoi
Dettagli
SSD
Ingegneria industriale e dell'informazione ING-IND/34 Bioingegneria industriale

I contenuti di questa pagina costituiscono rielaborazioni personali del Publisher xyclaudioxy987877 di informazioni apprese con la frequenza delle lezioni di Meccanica dei solidi e studio autonomo di eventuali libri di riferimento in preparazione dell'esame finale o della tesi. Non devono intendersi come materiale ufficiale dell'università Università degli Studi di Roma La Sapienza o del prof Lacarbonara Walter.
Appunti correlati Invia appunti e guadagna

Domande e risposte

Hai bisogno di aiuto?
Chiedi alla community