Estratto del documento

Le rappresentazioni grafiche

  • Per visualizzare in maniera rapida l'andamento di un fenomeno o un fatto
  • Uno dei metodi più ricorrenti è il diagramma a barre

rappresenta le frequenze assolute di una serie di dati

Esempio diagramma a barre

rappresentazione orizzontale

-> rappresentare più dati nello stesso grafico

maschi

femmine

Diagramma circolare

usato generalmente per frequenze relative (f.r.) in percentuale

Istogramma

le barre sono attaccate

  • si utilizza quando i dati sono divisi in classi
  • ampiezza base proporzionale alla grandezza della classe

grafico cartesiano

es. ascisse indicano n di sms inviati

ordinate il prezzo

Le rappresentazioni grafiche

  • Per visualizzare in maniera rapida l'andamento di un fenomeno o un fatto
  • Uno dei metodi piu ricorrenti è il diagramma a barre
  • Rappresenta le frequenze assolute di una serie di dati

Esempio diagramma a barre

  • Frequenza assoluta
  • Anni

Rappresentazione orizzontale

  • Frequenza assoluta
  • F.A.
  • Anni

Diagramma circolare

  • Usati generalmente per frequenze relative (f.r.) in percentuale

Istogramma

  • Le barre sono attaccate
  • Si utilizza quando i dati sono divisi in classi
  • Ampiezza base proporzionale alla grandezza della classe

Grafico cartesiano

  • Es. ascisse indicano n. di sms inviati ordinate il prezzo

MEDIA, VARIANZA E DEVIAZIONE STANDARD

n alunni = 32

  • 5 -> "8"
  • 12 -> "7"
  • 7 -> "6"
  • 5 -> "5"
  • 1 -> "10"

30 -> c'erano 2 assenti.

calcoliamo media: x = 1/30 (5.8 + 12.7 + 7.6 + 5.5 + 1.10)

= 201/30 = 6,7

calcoliamo varianza: s² = 1/30 (5 - 6,7)² + 12 (7 - 6,7)² ...

= 38,1/30 -> 1,27

calcoliamo deviazione standard: ∂ = √1,27 ≃ 1,12

qualche giorno dopo prendono "6" e "5" come cambia la media

x = 201 + 6 + 5 = 212/32 ≃ 6,6

MODA -> OSSERVAZIONE CHE SI PRESENTA CON MAGGIORE FREQUENZA

- in questo caso 7 "7"

MEDIANA -> valore che occupa la posizione centrale di una distribuzione ordinata in senso crescente

es. 5, 6, 7, 8, 10

Se i numeri sono pari fai media tra i 2 valori centrali

MEDIA PONDERATA -> prende in considerazione il diverso peso di ogni valore

es. giovanna prende "30" "20" "21" ambrogio prende "26" "21" "20" "19"

però 6 h preso 30 e 20 in esami da 6 cfu e 21 e 20 in esami da 12 cfu

A h preso 26 e 19 in esami da 6 cfu e 20 e 21 in esami da 12 cfu

DI CONSEGUENZA A ha una media più alta di G

  1. r = swx/∑w

848:36 = 23,5 946:36 = 26,2

GAUSSIANA

  • 1° step
  • VOTI ESAME
  • 2° step

n persone

Q2

Q3

VARIANZA

1° step > trovare la media = 24

2° step > capire distanza di tutti i punti dalla media

es

  • gin = 23 > -1 > (-1)² = 1
  • elisabeth = 26 > +2 > (2)² = 4

VARIANZA è un indice di dispersione

DEVIAZIONE STANDARD

quantile > divide la distribuzione in x parti uguali

per portare tutto positivo

fai media

dopo

sotto radice per annullare il precedente elevato

INDICE DI CORRELAZIONE

ore di studio

  • 18
  • 20
  • 22
  • 24
  • 26
  • 28
  • 30

voto

punte seguono

media dei prodotti

degli scarti

Indica quanto siano dipendenti le 2 variabili tra di loro

compreso tra 1 e -1

  • dove 1 è perfetta relazione lineare
  • -1 è relazione inversa
  • 0 nessuna relazione

esempio:

  1. calcolo media Xi e Yi
Xi Yi 1 20 2 21 3 24 4 25 5 30
  1. calcolo varianza
  1. calcoliamo somma dei quadrati delle deviazioni X e Y

r = 24/20 * 62

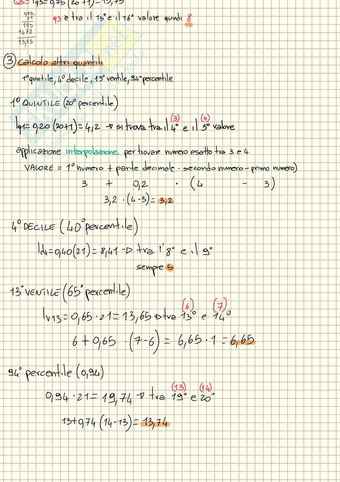
Quantili

  • dividono i dati in x parti uguali
  • quartili dividono in 4 parti

Formula Generale Posizione Di Un Quantile

Lp = p(n+1)

p: frazione corrispondente al quantile che cerchiamo

n: numero totale di dati

Lp: posizione teorica nell’elenco ordinato

Se Lp è un numero intero, prendiamo il valore corrispondente

Se Lp è decimale, facciamo un’interpolazione lineare tra i due valori più vicini

Interpolazione: metodo per stimare un valore che si trova tra 2 numeri

es 2 4 6 8 10

trovare 50o percentile (mediana) = 0,50 p

Anteprima
Vedrai una selezione di 4 pagine su 14
Appunti Matematica e statistica Pag. 1 Appunti Matematica e statistica Pag. 2
Anteprima di 4 pagg. su 14.
Scarica il documento per vederlo tutto.
Appunti Matematica e statistica Pag. 6
Anteprima di 4 pagg. su 14.
Scarica il documento per vederlo tutto.
Appunti Matematica e statistica Pag. 11
1 su 14
D/illustrazione/soddisfatti o rimborsati
Acquista con carta o PayPal
Scarica i documenti tutte le volte che vuoi
Dettagli
SSD
Scienze matematiche e informatiche MAT/06 Probabilità e statistica matematica

I contenuti di questa pagina costituiscono rielaborazioni personali del Publisher ginevracarboni23 di informazioni apprese con la frequenza delle lezioni di Matematica e statistica e studio autonomo di eventuali libri di riferimento in preparazione dell'esame finale o della tesi. Non devono intendersi come materiale ufficiale dell'università Università degli Studi di Roma La Sapienza o del prof Nappo Giovanna.
Appunti correlati Invia appunti e guadagna

Domande e risposte

Hai bisogno di aiuto?
Chiedi alla community