Estratto del documento

Fisica II

1 Elettrostatica nel vuoto 3

1.1 Carica elettrica e legge di Coulomb . . . . . . . . . . . . . . . . . . . . . . . . . 3

1.2 Campo elettrico . . . . . . . . . . . . . . . . . . . . . . . . . . . . . . . . . . . . 4

1.3 Distribuzioni di carica continue . . . . . . . . . . . . . . . . . . . . . . . . . . . 5

1.4 Teorema di Gauss . . . . . . . . . . . . . . . . . . . . . . . . . . . . . . . . . . . 9

1.5 Prima equazione di Maxwell . . . . . . . . . . . . . . . . . . . . . . . . . . . . . 14

1.6 Potenziale elettrico . . . . . . . . . . . . . . . . . . . . . . . . . . . . . . . . . . 15

1.7 Dipolo elettrico . . . . . . . . . . . . . . . . . . . . . . . . . . . . . . . . . . . . 20

1.8 Azioni meccaniche su dipoli elettrici in un campo elettrico . . . . . . . . . . . . 21

1.9 Conservatività del campo elettrostatico . . . . . . . . . . . . . . . . . . . . . . . 22

2 Sistemi di conduttori e campo elettrostatico 24

2.1 Distribuzione di carica nei conduttori . . . . . . . . . . . . . . . . . . . . . . . . 24

2.2 Capacità elettrica . . . . . . . . . . . . . . . . . . . . . . . . . . . . . . . . . . . 27

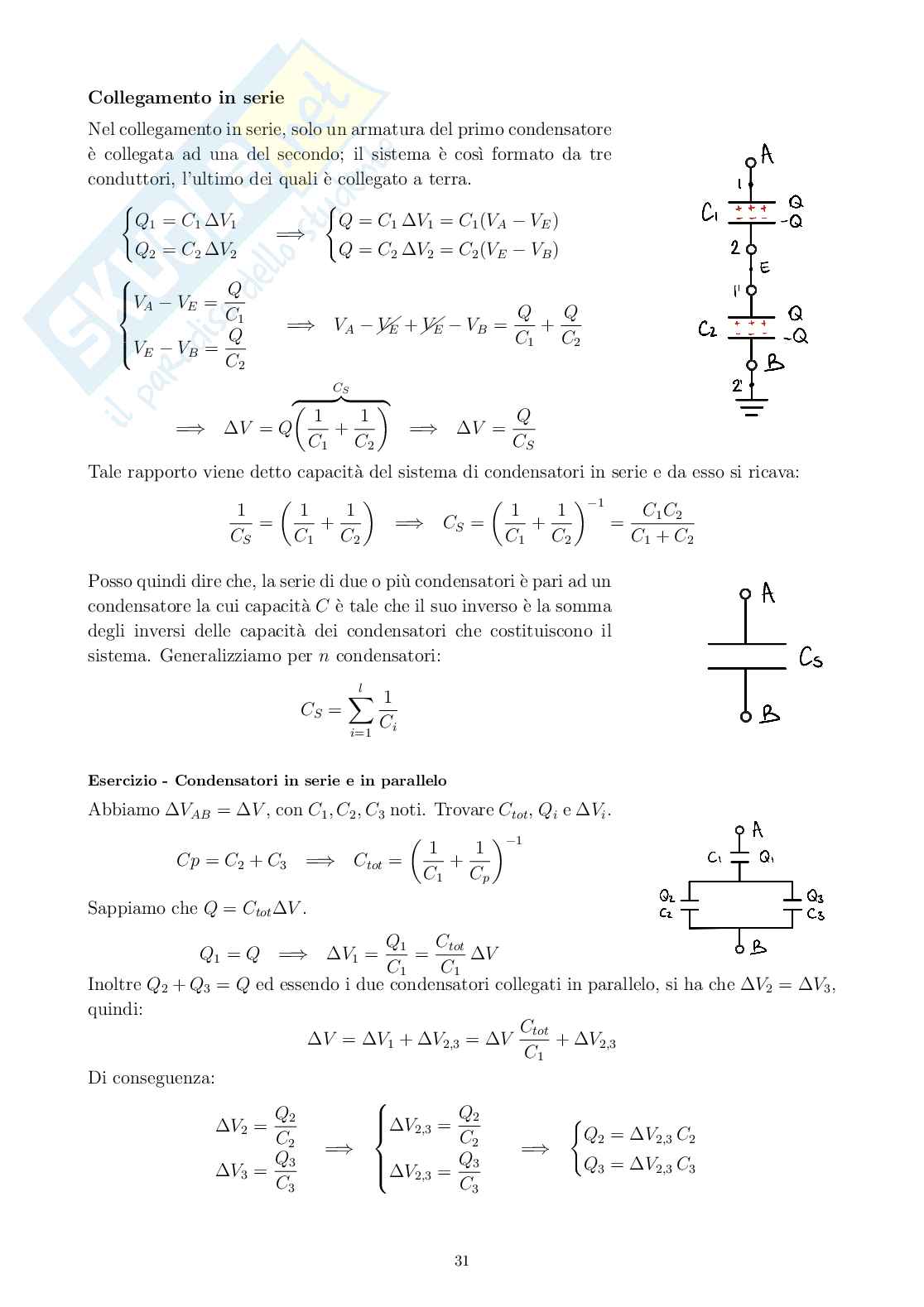
2.3 Sistemi di condensatori . . . . . . . . . . . . . . . . . . . . . . . . . . . . . . . . 30

2.4 Energia elettrostatica . . . . . . . . . . . . . . . . . . . . . . . . . . . . . . . . . 32

3 Elettrostatica in presenza di dielettrici 35

3.1 Vettore polarizzazione elettrica . . . . . . . . . . . . . . . . . . . . . . . . . . . 36

3.2 Equazioni dell’elettrostatica in presenza di dielettrici . . . . . . . . . . . . . . . 37

3.3 Problema generale dell’elettrostatica in presenza di dielettrici e le condizioni al

⃗ ⃗

contorno per i vettori E e D . . . . . . . . . . . . . . . . . . . . . . . . . . . . . 38

3.4 Energia elettrostatica in presenza di dielettrici . . . . . . . . . . . . . . . . . . . 39

4 Corrente elettrica stazionaria 42

4.1 Corrente elettrica . . . . . . . . . . . . . . . . . . . . . . . . . . . . . . . . . . . 42

4.2 Densità di corrente ed equazione di continuità . . . . . . . . . . . . . . . . . . . 42

4.3 Resistenza elettrica e legge di Ohm . . . . . . . . . . . . . . . . . . . . . . . . . 44

4.4 Fenomeni dissipativi nei conduttori percorsi da corrente . . . . . . . . . . . . . . 45

4.5 Forza elettromotrice e generatori elettrici . . . . . . . . . . . . . . . . . . . . . . 46

4.6 Resistenza elettrica di strutture conduttrici ohmiche . . . . . . . . . . . . . . . . 47

4.7 Circuiti in corrente continua . . . . . . . . . . . . . . . . . . . . . . . . . . . . . 49

4.8 Circuiti percorsi da corrente quasi stazionaria . . . . . . . . . . . . . . . . . . . 50

1

5 Fenomeni magnetici stazionari nel vuoto 52

5.1 Forza di Lorentz e vettore induzione magnetica B . . . . . . . . . . . . . . . . . 52

5.2 Azioni meccaniche su circuiti percorsi da corrente stazionaria in un campo mag-

netico esterno . . . . . . . . . . . . . . . . . . . . . . . . . . . . . . . . . . . . . 53

5.3 Campo B generato da correnti stazionarie nel vuoto . . . . . . . . . . . . . . . 54

0 ⃗

5.4 Proprietà del vettore induzione magnetica B nel caso stazionario . . . . . . . . 56

0

5.5 Potenziali magnetostatici . . . . . . . . . . . . . . . . . . . . . . . . . . . . . . . 58

5.6 Effetto Hall . . . . . . . . . . . . . . . . . . . . . . . . . . . . . . . . . . . . . . 60

6 Magnetismo nella materia 61

6.1 Polarizzazione magnetica e sue relazioni con le correnti microscopiche . . . . . . 61

6.2 Equazioni fondamentali della magnetostatica in presenza di materia e le con-

⃗ ⃗

dizioni di raccordo per B ed H . . . . . . . . . . . . . . . . . . . . . . . . . . . 62

6.3 Proprietà macroscopiche dei materiali dia-, para- e ferro-magnetici . . . . . . . . 64

7 Campi elettrici e magnetici variabili nel tempo 67

7.1 Induzione elettromagnetica e legge di Faraday-Neumann . . . . . . . . . . . . . 67

7.2 Interpretazione fisica del fenomeno dell’induzione elettromagnetica . . . . . . . . 68

7.3 Forma locale della legge di Faraday-Neumann ed espressione della terza equazione

di Maxwell nel caso non stazionario . . . . . . . . . . . . . . . . . . . . . . . . . 70

7.4 Fenomeno dell’autoinduzione e coefficiente di autoinduzione . . . . . . . . . . . 71

7.5 Induzione mutua . . . . . . . . . . . . . . . . . . . . . . . . . . . . . . . . . . . 73

7.6 Analisi energetica di un circuito RL . . . . . . . . . . . . . . . . . . . . . . . . . 74

7.7 Energia magnetica ed azioni meccaniche . . . . . . . . . . . . . . . . . . . . . . 76

7.8 Quarta equazione di Maxwell nel caso non stazionario . . . . . . . . . . . . . . . 76

8 Onde elettromagnetiche 80

8.1 Equazione delle onde elettromagnetiche . . . . . . . . . . . . . . . . . . . . . . . 80

8.2 Onde elettromagnetiche piane . . . . . . . . . . . . . . . . . . . . . . . . . . . . 82

8.3 Onde sferiche . . . . . . . . . . . . . . . . . . . . . . . . . . . . . . . . . . . . . 87

8.4 Conservazione dell’energia e vettore di Poynting . . . . . . . . . . . . . . . . . . 88

8.5 Potenziali del campo elettromagnetico . . . . . . . . . . . . . . . . . . . . . . . 90

8.6 Radiazione emessa da un dipolo oscillante e da una carica in moto accelerato . . 91

9 Fenomeni classici di interazione tra radiazione e materia 94

9.1 Condizioni di raccordo per i campi al passaggio da un mezzo materiale ad un altro 94

9.2 Riflessione e rifrazione delle onde elettromagnetiche . . . . . . . . . . . . . . . . 94

9.3 Principio di Huygens-Fresnel e teorema di Kirchhoff . . . . . . . . . . . . . . . . 96

9.4 Interferenza . . . . . . . . . . . . . . . . . . . . . . . . . . . . . . . . . . . . . . 97

9.5 Diffrazione . . . . . . . . . . . . . . . . . . . . . . . . . . . . . . . . . . . . . . . 99

2

1 Elettrostatica nel vuoto

1.1 Carica elettrica e legge di Coulomb

In un sistema isolato, la somma delle cariche elettriche si mantiene costante nel tempo per la

legge di conservazione della carica. ⃗

Se due cariche puntiformi vengono disposte ad una certa distanza r nel vuoto, la forza f 21

che la carica q subisce dalla carica q è:

2 1 q q

1 2

⃗ r̂

f = k

21 E 2

r

21

dove k è la costante elettrica, che vale: 2

·

N m

9

∼ ·

k 8.9 10

E 2

C

Tale costante viene solitamente posta come: 1

k =

E 4πε

0

dove ε è la costante dielettrica nel vuoto, che descrive le proprietà del mezzo e vale:

0 2

C

−12

·

ε = 8.85 10

0 2

·

N m

Per cui la forza che agisce sulle cariche vale: 1 q q

1 2

f = r̂

21 2

4πε r

0

Dalla formula riusciamo a capire che se le cariche hanno lo stesso segno, la forza sarà positiva e

quindi repulsiva; se invece le due cariche hanno segno opposto, la forza sarà negativa e quindi

attrattiva.

L’unità di misura utilizzata per le cariche è il Coulomb C, definito come quella carica che

attraversa in un secondo un conduttore percorso dalla corrente di un Ampere A.

Esempi 1 q q

1 3

F = ⃗r

31 31

3

|⃗r |

4πε

0 31

⃗ ⃗ ⃗

F = F + F

3 31 32 1 q q

2 3

F = ⃗r

32 32

3

|⃗r |

4πε

0 32 3

Vediamo ora il caso per n cariche nello spazio.

n

1 q q

X i j

−⃗r −⃗r

⃗r = ⃗r F = (⃗r )

ji j i j j i

3

|⃗r − |

4πε ⃗r

0 j i

i=1

i̸ = j

Con j carica fissa e i una qualsiasi altra carica.

1.2 Campo elettrico

Lo spazio intorno ad una carica Q è sede di un campo elettrico, a simmetria sferica. Prendo una

carica campione q, piccola in modo tale che essa non interagisca con le altre cariche del campo

stesso, posso quindi dire che il rapporto tra la forza generata dalla carica Q, detta sorgente del

campo, ed il valore della carica q, equivale al valore del campo elettrico generato nella posizione

della carica q dalla carica Q: ⃗

F

E = lim q

q→0

Per l’esempio appena descritto abbiamo: 1

1 Qq Q

⃗ ′

r̂ E = (⃗r ⃗r )

F = ′

2 3

|⃗r − |

4πε r 4πε ⃗r

0 0

Il campo è calcolato in ⃗r , mentre ⃗r è la posizione della carica Q.

Per una carica j qualsiasi invece: n

⃗ 1

F q

X

j i

⃗ −

=

E = (⃗r ⃗r )

j j i

3

|⃗r − |

q 4πε ⃗r

j 0 j i

i=j

i̸ = j

La formula generica è: n −

1 Q (⃗r ⃗r )

X X i i

⃗ ⃗

E (⃗r ) = E (⃗r ) =

tot i 3

|⃗r − |

4πε ⃗r

0 i

i i=1

Misurando il vettore E riusciamo a capire la configurazione spaziale del campo stesso, che può

essere disegnata tramite le linee di flusso. 4

1.3 Distribuzioni di carica continue

Densità volumica

Come possiamo vedere dal grafico abbiamo un vol-

ume τ sul quale è disposta una carica totale Q in

maniera omogenea, quindi possiamo definire una

densità volumica di carica ρ:

′ C

dq [ρ] =

ρ(⃗r ) = ′ 3

dτ m

Quindi per il campo elettrico:

′ ′ ′

Z Z

dq ρ(⃗r )(⃗r ⃗r ) dτ

1 1

⃗ ⃗

′ ′ ′

E(⃗r ) = (⃗r ⃗r ) =⇒ dq = ρ(⃗r ) dτ =⇒ E(⃗

r ) =

′ ′

2 3

|⃗r − | |⃗r − |

4πε ⃗r 4πε ⃗r

0 0

τ τ

Tale integrale è esteso a tutto lo spazio, tenendo conto che ρ è nulla dove non c’è carica elettrica.

Densità superficiale

In questo caso abbiamo invece una superficie S sulla

quale è disposta omogeneamente una carica Q, defini-

amo la densità superficiale di carica σ:

dq C

σ(⃗r ) = [σ] =

′ 2

dS m

Per il campo elettrico si ha: ′ ′ ′

Z

1 σ(⃗r )(⃗r ⃗r ) dS

⃗ ′ ′ ′

E(⃗

r ) = perché dq = σ(⃗r ) dS

′ 3

|⃗r − |

4πε ⃗r

0 S

Densità lineica

Infine abbiamo il caso di un filo l sul quale è disposta

uniformemente una carica Q, definiamo la densità line-

ica di carica λ: ′ C

dq [λ] =

λ(⃗r ) = ′

dl m

In questo caso per il campo elettrico abbiamo:

′ ′ ′

Z

1 λ(⃗r )(⃗r ⃗r ) dl

⃗ ′ ′ ′

E(⃗r ) = perché dq = λ(⃗r ) dl

′ 3

|⃗r − |

4πε ⃗r

0 l

Quando la distribuzione è uniforme, i valori di ρ, σ e λ sono costanti.

5

Esercizio - Filo infinito

Consideriamo una distribuzione uniforme di carica

su un filo infinito, sia λ la densità lineare uniforme.

Calcolare il campo elettrico in un punto P a dis-

tanza R dal filo.

Possiamo considerare il campo come somma dei

campi elettrici dE generati dai singoli trattini dl .

Notiamo che per ogni elemento dl , ne esiste uno

simmetrico rispetto ad O, tali elementi generano

due contributi la cui somma è ortogonale al filo

stesso. ′ ′

′ −

(⃗r ⃗r ) 1

λ dl

λ dl =

dE = 2 dE cos θ =⇒ dE =

r ′ ′

3 2

|⃗r − | |⃗r − |

4πε ⃗r 4πε ⃗r

0 0

Consideriamo: r r

′ ′

|⃗r − |

⃗r = d = dl = dz = dθ r = d cos θ z = r tan θ

2

cos θ cos θ

Quindi: ′ 2

dl λ r dθ cos θ λ 1

λ

= = dθ

dE = 2

2 2

4πε d 4πε cos θ r 4πε 4

0 0 0

λ

dE = 2 dE cos θ = cos θ dθ

r 2πε r

0

Quindi il campo elettrico vale: π

Z

λ λ

2

E (r) = cos θ dθ =

r 2πε r 2πε r

0 0

0 6

Esercizio - Spira circolare

Calcoliamo il campo generato sull’asse da una dis-

tribuzione uniforme di carica distribuita su una

spira circolare. ′

Z λ(⃗r ⃗r )

⃗ dl

E (z ẑ) =

tot ′ 3

|⃗ − |

4πε r ⃗r

0

l

Come per l’esercizio precedente possiamo consid-

erare il campo la somma dei singoli contributi degli

elementi dl, quindi: √

′ 2 2

− R + r

(⃗r ⃗r ) λ dl

1

λ dl ⃗

⃗ √

|(d cos θ

=⇒ E)| =

d

E = dl,z

dl ′ 3

|⃗r − |

4πε ⃗r 4πε 2 2 3

( R + r )

0 0

Il campo generato dall’anello sull’asse sarà:

Z λ cos θ

λ cos θ 1

| |

E = dl = 2πR

tot

2 2 2 2

4πε

4πε R + z R + z

2 0

0 Anello

E poiché: λ Rz

z ⃗

√ | |

=⇒ E =

cos θ = tot 32

2 2

R + z 2 2

[R + z ]

0

Sapendo che: √ Q tot

2 2

R + z λ =

r = 2πR

Possiamo scrivere il campo nel seguente modo: Q z

tot

| |

E =

tot 3

4πε r

0

Esercizio - Piano infinito

Calcoliamo il campo elettrico generato da una distribuzione di carica uniformemente distribuita

su un piano infinito, ad una distanza x dal piano stesso.

Come nei casi precedenti consideriamo i singoli elementi dS.

1 σ dS (⃗r ⃗r ) 1 σ dS

⃗ ⃗

|d

d E = =⇒ E| = cos θ

dS dS

′ ′

3 2

|⃗r − | |⃗r − |

4πε ⃗r 4πε ⃗r

0 0

7

Possiamo dire che dS = dy dz = R dr dφ, perciò:

∞ ∞

2π Z

Z Z

1 1 4π R σ cos θ

√ √

| |

E = dφ cos θ dR = dR

tot 4πε 4πε

2 2 2 2

R + x R + r

0 0

0

0 0

Ma: ∞

Z

R 1

√ | |

sin θ = σ cos θ sin θ dR

=⇒ E =

tot 2ε

2 2

R + x 0 0

Cerchiamo di esprimere dR in funzione di θ: x

R = x tan θ =⇒ dR = x d(tan θ) = dθ

2

cos θ

Quindi possiamo scrivere: π

Z

1 σ x sin θ x

cos θ

2

⃗ √

| |

E = =⇒ cos θ =

tot 2ε 2 2

2 2 2 R + x

cos θ R + x

0 0 π

Z σ

σ 2 ⃗

sin dθ =⇒ E = x̂

=⇒ p,∞

2ε 2ε

0 0

0

Esercizio - Esame 09/25

Calcolare il campo per ogni x < a sull’asse.

p 1 c 1

|d dx

E| = 2

|x −

4πε x x|

0 p

|x − −

Poiché x < a e x > a, diciamo che x| = x x . Allora:

p p p ∞

Z

1 c 1

c

|d

E| = dx =⇒ dx

2 2

− −

4πε x(x x ) 4πε x(x x )

0 p 0 p

a

Risolviamo l’integrale:

Z 1 1 A B D

dx =⇒ = + + =

2 2 2

− − − −

(x x ) x(x x ) x (x x ) (x x )

p p p p

a  2 −D

x ) A =

2 

− −

A(x x ) + Bx + Dx(x x ) 1 

p p

= = =⇒ − −

x) 2A x + B D x = 0

p p

2 2

− −

x(x x ) x(x x )

p p  2

 A x = 1

 p

Quindi il campo elettrico vale: ∞

Z

x̂ 1 1 1 1 1

⃗ − −

E = c + dx =

2 2

− −

4πε x x x (x x ) x (x x )

0 p p p p

a p

x̂ 1 a 1 1

− −

= c ln

2 − −

4πε x a x x a x

0 p p

p 8

1.4 Teorema di Gauss ⃗

Prendiamo una superficie S immersa in un campo vettoriale A, e consideriamo positiva una

faccia di tale superficie. Per un elemento d S, definito come n̂ dS, dove n̂ è il versore normale

all’elemento stesso, con verso uscente dalla faccia positiva, definiamo il flusso elementare:

⃗ ·

dΦ = A n̂ dS = A cos θ dS

Il flusso di A attraverso tutta la superficie sarà definito come:

Z Z

⃗ ⃗ ⃗ ⃗

· ·

Φ ( A) = A n̂ dS = A d S

S S A

Per il teorema di Gauss il flusso del campo elettrostatico nel vuoto attraverso una superficie

chiusa qualunque è pari alla somma algebrica (o all’integrale) delle cariche contenute nella

superficie, divisa per ε :

0 int

Z Q

⃗ ⃗ ·

Φ (

E) = E n̂ dS =

S ε 0

S

Le cariche poste all’esterno della superficie chiusa non portano contributo al flusso.

Dimostrazione

Consideriamo il caso in cui all’interno di S vi sia soltanto una carica puntiforme Q, il flusso

sarà: 1 1

Q Q

⃗ ⃗ ·

dΦ(

E) = E n̂ dS = E cos θ dS = cos θ dS = dS

o

2 2

4πε r 4πε r

0 0

⃗ ⃗ 2

dove dS è il modulo del vettore d S proiettato sulla direzione di E. Il rapporto tra dS ed r

o o

definisce l’angolo solido dΩ del cono con vertice Q, quindi:

1

dΦ(

E) = Q dΩ

4πε

0

Ed integrando su tutta la superficie otteniamo: 4π

Z Z

1 1 Q Q

Φ(

E) = Q dΩ = Q dΩ = 4π =

4πε 4πε 4πε ε

0 0 0 0

Ω 0

Quindi supponendo che in S ci siano n cariche:

!

n n n

X X X

⃗ ⃗ ⃗ ⃗ ⃗ ⃗ ⃗

·

E d S = dϕ

dΦ(

Anteprima
Vedrai una selezione di 20 pagine su 100
Appunti di Fisica II Pag. 1 Appunti di Fisica II Pag. 2
Anteprima di 20 pagg. su 100.
Scarica il documento per vederlo tutto.
Appunti di Fisica II Pag. 6
Anteprima di 20 pagg. su 100.
Scarica il documento per vederlo tutto.
Appunti di Fisica II Pag. 11
Anteprima di 20 pagg. su 100.
Scarica il documento per vederlo tutto.
Appunti di Fisica II Pag. 16
Anteprima di 20 pagg. su 100.
Scarica il documento per vederlo tutto.
Appunti di Fisica II Pag. 21
Anteprima di 20 pagg. su 100.
Scarica il documento per vederlo tutto.
Appunti di Fisica II Pag. 26
Anteprima di 20 pagg. su 100.
Scarica il documento per vederlo tutto.
Appunti di Fisica II Pag. 31
Anteprima di 20 pagg. su 100.
Scarica il documento per vederlo tutto.
Appunti di Fisica II Pag. 36
Anteprima di 20 pagg. su 100.
Scarica il documento per vederlo tutto.
Appunti di Fisica II Pag. 41
Anteprima di 20 pagg. su 100.
Scarica il documento per vederlo tutto.
Appunti di Fisica II Pag. 46
Anteprima di 20 pagg. su 100.
Scarica il documento per vederlo tutto.
Appunti di Fisica II Pag. 51
Anteprima di 20 pagg. su 100.
Scarica il documento per vederlo tutto.
Appunti di Fisica II Pag. 56
Anteprima di 20 pagg. su 100.
Scarica il documento per vederlo tutto.
Appunti di Fisica II Pag. 61
Anteprima di 20 pagg. su 100.
Scarica il documento per vederlo tutto.
Appunti di Fisica II Pag. 66
Anteprima di 20 pagg. su 100.
Scarica il documento per vederlo tutto.
Appunti di Fisica II Pag. 71
Anteprima di 20 pagg. su 100.
Scarica il documento per vederlo tutto.
Appunti di Fisica II Pag. 76
Anteprima di 20 pagg. su 100.
Scarica il documento per vederlo tutto.
Appunti di Fisica II Pag. 81
Anteprima di 20 pagg. su 100.
Scarica il documento per vederlo tutto.
Appunti di Fisica II Pag. 86
Anteprima di 20 pagg. su 100.
Scarica il documento per vederlo tutto.
Appunti di Fisica II Pag. 91
1 su 100
D/illustrazione/soddisfatti o rimborsati
Acquista con carta o PayPal
Scarica i documenti tutte le volte che vuoi
Dettagli
SSD
Scienze fisiche FIS/02 Fisica teorica, modelli e metodi matematici

I contenuti di questa pagina costituiscono rielaborazioni personali del Publisher dc_ di informazioni apprese con la frequenza delle lezioni di Fisica II e studio autonomo di eventuali libri di riferimento in preparazione dell'esame finale o della tesi. Non devono intendersi come materiale ufficiale dell'università Università degli Studi di Roma La Sapienza o del prof Palumbo Luigi.
Appunti correlati Invia appunti e guadagna

Domande e risposte

Hai bisogno di aiuto?
Chiedi alla community