Estratto del documento

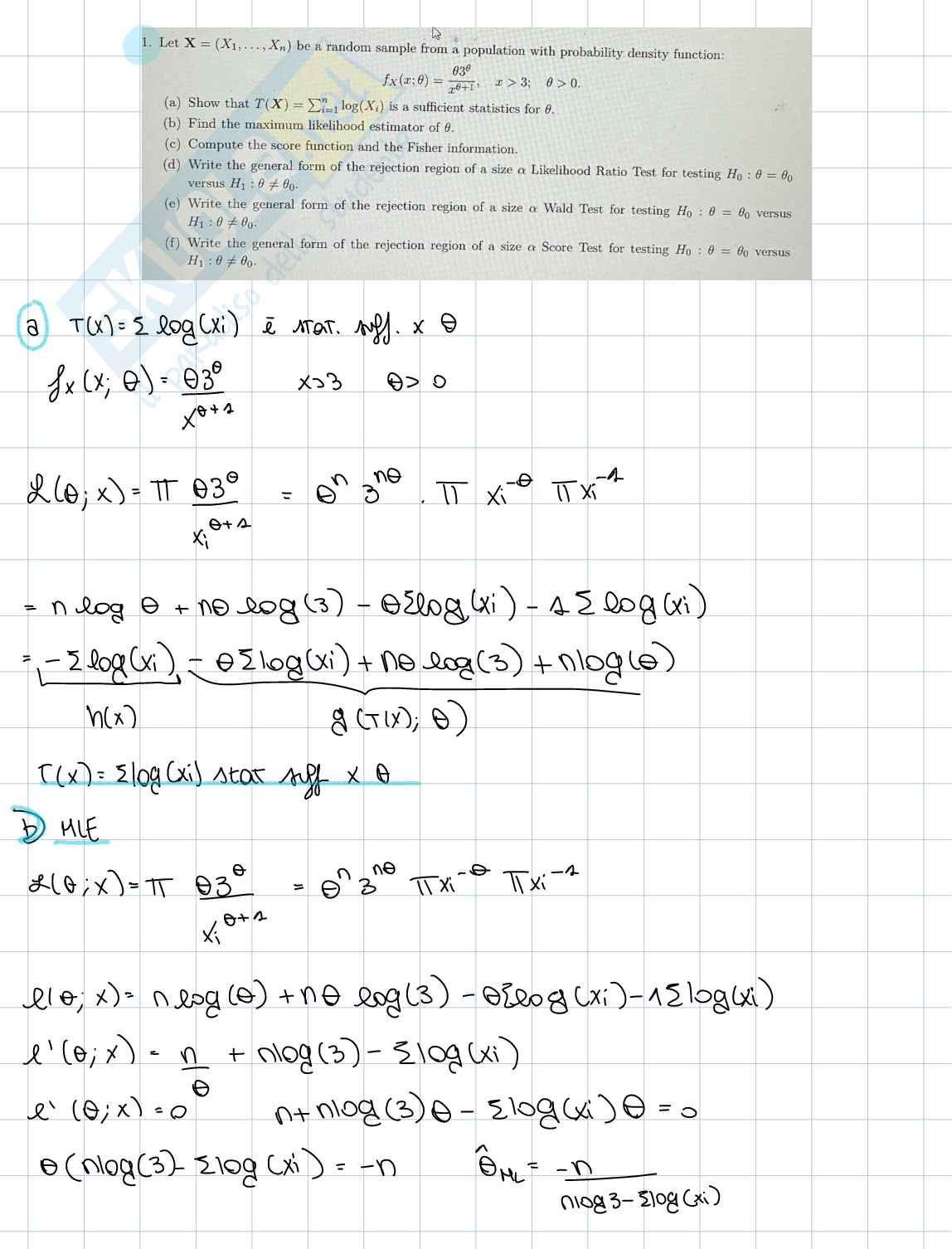
TIM Xi è

log suff

stat

fx A 33 030

3ʳᵈ

210 IN

IT

TELE Ologhi loghi

A

3

nlog no log

IIII.ee

ee T

ElogCxilstatsiff

X

ME

b IN

210 TK

3

X T 0

0,31 loghi

12

Oflag

3

no

a

l Xi

log

0 neog Hi

1 3 2109

Nog

o I

A Eloghi

10 3 0

nanlog

e 0 0

XI

3

Nog n

2109 MI IgIogli

ÉML IL Mogi

e co

_fa

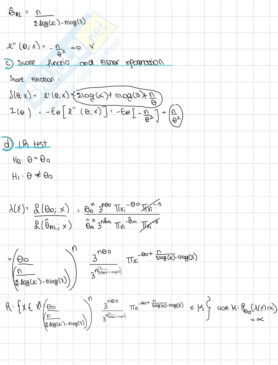
D and Fisher

Suore functio information

Score Function

Sto fNOGGHa

10

l i

EE

X X

Eo

Ilo Ee

e 0 X 20

f

DI LA test

00

0

Ho 00

O

H TITTI

O 3

LEEI 3ʳᵈ

È III

Tx Dogg

s

MEI

mogio

3

noi L

R E i B

k conk

no

me EEe

I

www.EI

N IL 3

Mog

ER

R Ww Zz

INLA

Poo a

ZE Ww

WWW

Poo X

Poo a

7g

ZE

fswrfoia NON

WSCA.SE Xi

3 2109

Nog I

Ws

EN

2 USCI 7012

USCI

1Pa a

Zz

I Poo

1Pa Us Zz X

Ws Zz a

G

02

02

03 Hi

0

HO ELXI M

O'M

a fx EXP

aye

E expfeo.EE

LEI FA 101 E Xi

exp Ex

E xp E

R EA Kil

K

Eni con

E

xp

e

2 EA Ex

Elog E ElogLK

E

R A E

blog

Exielgik

f 2

E E

Exi 72

2 21091

EA voglia se E

101 1100 01

00

se

A 22

R Ex k

E 00 cos

se

EXIZEK oosas

se

pa K'fa

LEXIE se Focas

0,02

NN

UNCAS

ZINA

EXIN telefigeggiEG

erxiaI

xer.sn

R In

R EA Xi INI

spiegazione all

kxieokn.ae a

Rima

sai Uman

1

0303

02

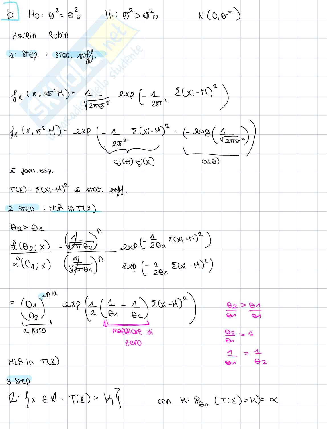
b Hi

Ho 0,02

0 N

Kaulin Rubin

stat

Step

si suff ELXI M

O'M

fx EXP

Gea

nome IIe

è esp

fan MI stata

E è suff

TCI XI

MLR TLI

IN

2 Step

02 01 E.EC

i

exl

N exP

IIII M

24

20 1172

24

exp E

e E'E

VETRI

Fisso a

zero E

MLR TLI

in

3 Step Ed

R K KF

TI 1 K a

TCI

Poo

con

A M

R K

E Xi

02

INNIO D

CO

NN

in Ah

EIII

MIN 52A

Xi Ma

ERI

MI

R EX EHI a

a interval

Now unknown

is

that Find

assume confidence

M a method

level for the

using

at quantity

pivotal

a

1 van

a C Q

<
Anteprima
Vedrai una selezione di 3 pagine su 8
Scritto svolto di Inferenza statistica Pag. 1 Scritto svolto di Inferenza statistica Pag. 2
Anteprima di 3 pagg. su 8.
Scarica il documento per vederlo tutto.
Scritto svolto di Inferenza statistica Pag. 6
1 su 8
D/illustrazione/soddisfatti o rimborsati
Acquista con carta o PayPal
Scarica i documenti tutte le volte che vuoi
Dettagli
SSD
Scienze economiche e statistiche SECS-S/01 Statistica

I contenuti di questa pagina costituiscono rielaborazioni personali del Publisher Martinafrosali di informazioni apprese con la frequenza delle lezioni di Inferenza statistica e studio autonomo di eventuali libri di riferimento in preparazione dell'esame finale o della tesi. Non devono intendersi come materiale ufficiale dell'università Università degli Studi di Firenze o del prof Panzera Agnese.
Appunti correlati Invia appunti e guadagna

Domande e risposte

Hai bisogno di aiuto?
Chiedi alla community