Estratto del documento

Teoria dei Segnali (Ing. Informatica ed Elettronica)

APPELLO - 10 Settembre 2021

Esercizio 1

Sia data la variabile aleatoria X Gaussiana con media 4 e deviazione standard 2.

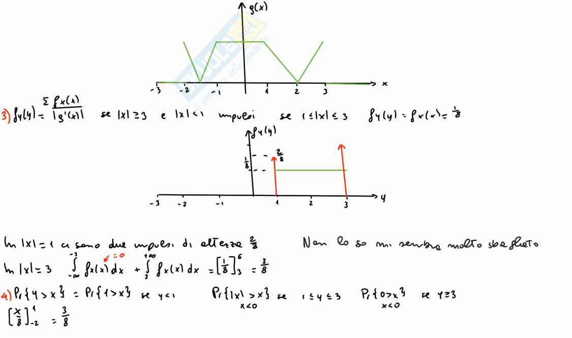
Sia data la trasformazione Y=g(X) mostrata in figura, per x in [ ∞; ∞].

- +

y

1. Calcolare la Pr(X≤0) = F (0)

x

2. Calcolare e disegnare la pdf di Y, f (y)

Y 4 6 x

Sia data inoltre la variabile aleatoria discreta Z avente pdf come in figura con

Pr(Z=4) = Pr(Z=6) = 2*Pr(Z=0). Sia Z indipendente dalla variabile X. f Z(z)

3. Calcolare il valor medio di Z

4. Calcolare la Pr(X≤Z)

5. Calcolare il valor medio di una nuova variabile

aleatoria W=X*Z, E(W). 0 4 6 z

La parte annerita nella gaussiana sottostante rappresenta cosa rappresentano i dati in tabella

≤ X ≤=)

ovvero, ad es., Pr(0

2

E(Y ) =

y2

e = 4/9 

y2

da cui si ottiene facendo i calcoli = 4/45

3) la probabilità che Y sia compresa nell’intervallo [0.2, 0.5] [2 punti]

2

Per prima cosa disegniamo la legge di trasformazione y=1-x

Si tratta di una parabola rovesciata e traslata del valore 1. La parabola incontra l’asse delle x nei

valori -1 e 1. Y=0,5

Y=0,2

X X

1 2

Come si evince dalla f (x) data nel testo, X assume valori nell’intervallo [-1, 1] visto che per valori

X

al di fuori di questo intervallo la X non ha alcuna probabilita’ di esistere; dalla figura vediamo che

quando X varia tra -1 e 1 la Y varia tra 0 e 1: ne consegue che Y assume valori in [0, 1]. In particolare

le linee azzurre tracciate sul diagramma che descrive la nostra legge di trasformazione

rappresentano i valori y=0,2 e y=0,5 richiesti dal quesito.

Dal disegno si evince che se X varia tra X1 e X2 la Y varia tra 0,2 e 0,5. Vista la simmetria lo stesso

accade quando la X varia tra –X1 e –X2.

Quindi possiamo dire che la probabilita’ Y sia compresa nell’intervallo [0.2, 0.5] e’ uguale alla

probailita’ che X appartenga a [X1, X2] + la probabilita’ che X appartenga a [-X1, -X2]

Poiche la X e’ uniformemente distribuita, la probailita’ che X appartenga a [X1, X2] e’ uguale alla

probabilita’ che X appartenga a [-X1, -X2]. Quindi la probabilita’ che Y sia compresa nell’intervallo

[0.2, 0.5] e’ uguale a due volte la probailita’ che X appartenga a [X1, X2]. Troviamo quindi i valori X1

e X2. 2 2

Dalla legge 0,2)

Y = 1-X invertendola otteniamo che X =1-Y, e quindi X1 e’ uguale alla radice quadrata di (1-

mentre X2 e’ uguale alla radice quadrata di (1-0,5). Si noti che non prendiamo le soluzioni negative

2

della equazione inversa che X appartenga a [X1, X2],

X =1-Y poiche’ stiamo cercando la probabilita’ che

che e’ un intervallo di valori positivi!

Facendo i calcoli si trova X1=0,707 e X2=0,89. Quindi dalla distribuzione uniforme della X possiamo

calcolare la probailita’ che X appartenga a [X1, X2] come (0,89-0,707) 1/2.

x

La probabilita’ Y sia compresa nell’intervallo [0.2, 0.5] e’ pari quindi a due volte quanto sopra

trovato, ovvero (0,89-0,707)= 0,183

Teoria dei Segnali - Prof.ss

Anteprima
Vedrai una selezione di 10 pagine su 41
Esercizi teoria della probabilità e variabili aleatorie - Parte 2 Pag. 1 Esercizi teoria della probabilità e variabili aleatorie - Parte 2 Pag. 2
Anteprima di 10 pagg. su 41.
Scarica il documento per vederlo tutto.
Esercizi teoria della probabilità e variabili aleatorie - Parte 2 Pag. 6
Anteprima di 10 pagg. su 41.
Scarica il documento per vederlo tutto.
Esercizi teoria della probabilità e variabili aleatorie - Parte 2 Pag. 11
Anteprima di 10 pagg. su 41.
Scarica il documento per vederlo tutto.
Esercizi teoria della probabilità e variabili aleatorie - Parte 2 Pag. 16
Anteprima di 10 pagg. su 41.
Scarica il documento per vederlo tutto.
Esercizi teoria della probabilità e variabili aleatorie - Parte 2 Pag. 21
Anteprima di 10 pagg. su 41.
Scarica il documento per vederlo tutto.
Esercizi teoria della probabilità e variabili aleatorie - Parte 2 Pag. 26
Anteprima di 10 pagg. su 41.
Scarica il documento per vederlo tutto.
Esercizi teoria della probabilità e variabili aleatorie - Parte 2 Pag. 31
Anteprima di 10 pagg. su 41.
Scarica il documento per vederlo tutto.
Esercizi teoria della probabilità e variabili aleatorie - Parte 2 Pag. 36
Anteprima di 10 pagg. su 41.
Scarica il documento per vederlo tutto.
Esercizi teoria della probabilità e variabili aleatorie - Parte 2 Pag. 41
1 su 41
D/illustrazione/soddisfatti o rimborsati
Acquista con carta o PayPal
Scarica i documenti tutte le volte che vuoi
Dettagli
SSD
Ingegneria industriale e dell'informazione ING-INF/05 Sistemi di elaborazione delle informazioni

I contenuti di questa pagina costituiscono rielaborazioni personali del Publisher Luca_HD di informazioni apprese con la frequenza delle lezioni di Teoria dei segnali e studio autonomo di eventuali libri di riferimento in preparazione dell'esame finale o della tesi. Non devono intendersi come materiale ufficiale dell'università Università degli Studi di Catania o del prof Morabito Giacomo.
Appunti correlati Invia appunti e guadagna

Domande e risposte

Hai bisogno di aiuto?
Chiedi alla community