Estratto del documento

Esercizi svolti Teoria dei Segnali

Teoria della probabilità e variabili aleatorie

Esercizio 1

Si consideri una variabile aleatoria X Gaussiana a media pari a 0 e deviazione standard 6. Essa viene

trasformata nella variabile aleatoria Y secondo la legge riportata in figura dove A=10.

Y=g(X)

A X

-A -A/2 A/2 A

-A

Calcolare:

1. La probabilità che X assuma un valore minore o uguale a 1;

2. Calcolare la f (y)

Y

3. Calcolare la F (y)

Y

4. Calcolare la probabilità che Y assuma un valore maggiore o uguale a 1

5. Calcolare la probabilità che Y assuma un valore minore o uguale a 6

3. supponendo di aver trovato un agente che ha superato il test, calcolare la probabilità che abbia

ottenuto buone vendite;

4. supponendo di aver trovato un agente che non ha superato il test, calcolare la probabilità che non

abbia ottenuto buone vendite;

5. supponendo di aver trovato un agente che non ha superato il test, calcolare la probabilità che

abbia ottenuto buone vendite.

Esercizio 3

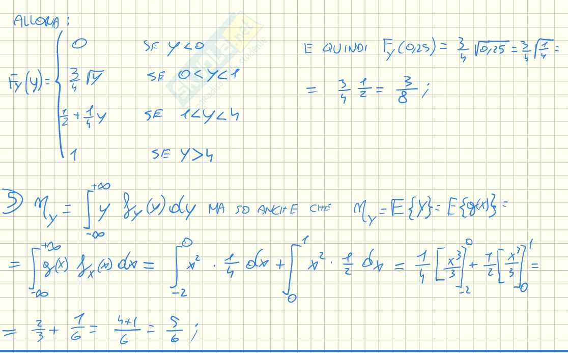
Si consideri una variabile aleatoria X Gaussiana standard a media pari a 0 e deviazione standard 6. Essa

viene trasformata nella variabile aleatoria Y secondo la legge riportata in figura.

Y=g(X)

2

1 X

-7 -2 2 7

Calcolare:

1. La probabilità che X assuma un valore minore o uguale a 1;

2. Calcolare la f (y)

Y

3. Calcolare F (y)

Y

4. Calcolare la probabilità che Y assuma un valore maggiore o uguale a 1

5. Calcolare la probabilità che Y assuma un valore minore o uguale a 6

0.4954

Esercizio 4

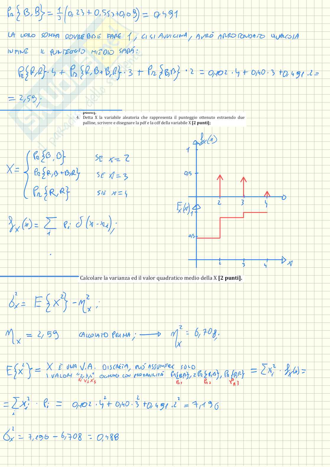
Un’urna contiene 6 palline numerate da 1 a 6. Un esperimento aleatorio consiste nell’estrazione di 2 palline

con re-immissione. Sia M la variabile aleatoria che indica il più alto numero nell’esperimento di doppia

estrazione, e Z la variabile che indica il numero più basso. Calcolare:

1. La probabilità che il risultato dell’esperimento sia: (3,4)

2. La funzione densità di probabilità (pdf) della variabile aleatoria discreta M

3. La funzione densità di probabilità (pdf) della variabile aleatoria discreta Z

4. La probabilità che il risultato non sia fatto da due numeri uguali

5. La probabilità che la seconda estrazione dia un numero maggiore o uguale a 4, dato per

certo che la prima estrazione abbia dato come risultato 3

Esercizio 5

In Italia ci sono 82882 cittadini che hanno cognome Rossi e 34685 che hanno cognome Bianchi. Assumendo che in

Italia vi siano 55 milioni di abitanti e nel mondo 6 miliardi di abitanti e che di essi l’1% si chiami di cognome Bianchi e

lo 0.5% si chiami Rossi, preso a caso un cittadino del mondo avente un singolo cognome, si valuti:

1) la probabilità che sia un cittadino italiano e non si chiami Bianchi

2) la probabilità che sia un cittadino italiano e si chiami Rossi o Bianchi

3) la probabilità che, dato per certo che si chiami Bianchi, sia italiano

4) la probabilità che, dato per certo che non sia italiano, si chiami Rossi

5) la probabilità che, dato per certo che non si chiami Rossi, non sia italiano

SOLUZIONE

1)

Anteprima
Vedrai una selezione di 10 pagine su 44
Esercizi teoria della probabilità e variabili aleatorie - Parte 1 Pag. 1 Esercizi teoria della probabilità e variabili aleatorie - Parte 1 Pag. 2
Anteprima di 10 pagg. su 44.
Scarica il documento per vederlo tutto.
Esercizi teoria della probabilità e variabili aleatorie - Parte 1 Pag. 6
Anteprima di 10 pagg. su 44.
Scarica il documento per vederlo tutto.
Esercizi teoria della probabilità e variabili aleatorie - Parte 1 Pag. 11
Anteprima di 10 pagg. su 44.
Scarica il documento per vederlo tutto.
Esercizi teoria della probabilità e variabili aleatorie - Parte 1 Pag. 16
Anteprima di 10 pagg. su 44.
Scarica il documento per vederlo tutto.
Esercizi teoria della probabilità e variabili aleatorie - Parte 1 Pag. 21
Anteprima di 10 pagg. su 44.
Scarica il documento per vederlo tutto.
Esercizi teoria della probabilità e variabili aleatorie - Parte 1 Pag. 26
Anteprima di 10 pagg. su 44.
Scarica il documento per vederlo tutto.
Esercizi teoria della probabilità e variabili aleatorie - Parte 1 Pag. 31
Anteprima di 10 pagg. su 44.
Scarica il documento per vederlo tutto.
Esercizi teoria della probabilità e variabili aleatorie - Parte 1 Pag. 36
Anteprima di 10 pagg. su 44.
Scarica il documento per vederlo tutto.
Esercizi teoria della probabilità e variabili aleatorie - Parte 1 Pag. 41
1 su 44
D/illustrazione/soddisfatti o rimborsati
Acquista con carta o PayPal
Scarica i documenti tutte le volte che vuoi
Dettagli
SSD
Ingegneria industriale e dell'informazione ING-INF/05 Sistemi di elaborazione delle informazioni

I contenuti di questa pagina costituiscono rielaborazioni personali del Publisher Luca_HD di informazioni apprese con la frequenza delle lezioni di Teoria dei segnali e studio autonomo di eventuali libri di riferimento in preparazione dell'esame finale o della tesi. Non devono intendersi come materiale ufficiale dell'università Università degli Studi di Catania o del prof Morabito Giacomo.
Appunti correlati Invia appunti e guadagna

Domande e risposte

Hai bisogno di aiuto?
Chiedi alla community