Estratto del documento

ESERCIZIO 1

A = \[\begin{bmatrix}2 & -1 & 0 \\0 & -2 & 3 \\-1 & 4 & -2 \end{bmatrix}\]b = \[\begin{bmatrix}0 \\5 \\1 \end{bmatrix}\]

  1. Verificare le ipotesi del teorema per l'esistenza della fattorizzazione di Choleski
  2. Trovare una matrice di permutazione per cui la matrice B ( = A permutata) soddisfi le ipotesi
  3. Trovare la fattorizzazione \(B = LL^T\)
  4. Risolvere \(By = c\) e ritrovare la soluzione x di Ax=b
  5. Calcolare il determinante: \(det \left( A^3 \right)\)

Soluzione

  1. Considero i minori di A :\[ A_1 = 2 , \quad A_2 = \begin{bmatrix}2 & -1 \\0 & -2 \end{bmatrix}\quad \Rightarrow \quad det A_2 = -4 < 0 \\\]

    Inoltre, A NON è simmetrica

  2. Scambiando le colonne 2 e la colonna 3 ottengo :\[B =\begin{bmatrix}2 & 0 & -1 \\0 & 3 & -2 \\-1 & -2 & 4 \end{bmatrix}=AP = A\begin{bmatrix}1 & 0 & 0 \\0 & 0 & 1 \\0 & 1 & 0 \end{bmatrix}\]

    Osserviamo:

    • B è simmetrica
    • \[B_1 = 2 , \quad B_2 = \begin{bmatrix}2 & 0 \\0 & 3\end{bmatrix}, \quad det B_2 = 6 > 0\]
    • \[ B_3 = B , \quad det B = 13 > 0\]

    \(\Rightarrow\) possiamo calcolare \(B = LL^T\)

ESERCIZIO 1

A = [ 2 -1 0 -0 2 -3 -1 4 2 ]     b = [ 0 5 1 ]

(A) Verificare le ipotesi del teorema per l'esistenza della fattorizzazione di Choleski

(B) Trovare una matrice di permutazione per cui la matrice B (= A permutata) soddisfi le ipotesi

(C) Trovare la fattorizzazione B = LLT

(D) Risolvere By = c e ritrovare la soluzione x di Ax = b

(E) Calcolare il determinante: det(A3)

Soluzione

A) Considero i minori di A:

A1 = 2 ,    A2 = [ 2 -1 0 -2 ]      det A2 = -4 < 0

Inoltre, A NON è simmetrica

B) Scambiando le colonne 2 e la colonna 3 ottengo:

B = [ 2 0 -1 0 3 -2 -1 -2 4 ]   = AP = A [ 1 0 0 0 0 1 0 1 0 ]

Osserviamo:

  • B è simmetrica
  • BA = 2 ,    B2 = [ 2 0 0 3 ] , det B2 = 6 > 0
  • B3 = B, det B = 13 > 0
  • => possiamo calcolare B = LLT

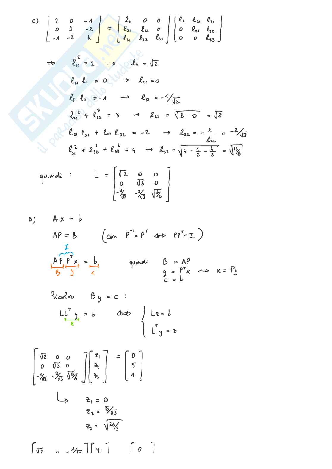
c)

2  2      0      -1    =      |     l11   0   0    |    | l11 l21 l31 |

0   3   -2            |   l21 l22   0    |    |    0  l22 l32 |

-1 -2    4  | l31 l32 l33|   |    0  l32 l33 |

     ⇒      l112 = 2    ⇒  l11 = √2

     l21 l11 = 0    ⇒  l21 = 0

     l31 l11 = -1   ⇒  l31 = -1/√2

    l222 + l222 = 3   ⇒  l22 = √3-0    = \sqrt{3}

     l21 l31 + l21 l32 = -2   ⇒  l32 = -2/l22    = -2/√3

    l312 + l322 + l332 = 4  ⇒  l33 = \sqrt{4-1/2-4/3}= √13/6

quindi:    L = \left[\begin{matrix} \sqrt{2}     0      0\\ 0  \sqrt{3}   0\\ -\frac{1}{\sqrt{2}}  \frac{-1}{\sqrt{3}}  \frac{1}{\sqrt{6}} \end{matrix}\right]

d)

  A\, x\, = b

  AP = B    (con\quad p\cdot = p^{t}\quad\quad\Longleftrightarrow\quad\quad p p^{t}=i)

\left(\begin{matrix}A\; P\; P^{t}\;  x\end{matrix}\right)\quad=\; \begin{pmatrix}b\; \begin{Vmatrix}b&\ y&\ ;\\ \end{Vmatrix}\begin{matrix} & c \end{\begin{pmatrix}

\Rightarr;       B = AP

  y = P^tx\

  c = b\,\,\,\ \Rightarr;\ x\ = Py

Rijadro\quad By = c :

       L L^{t}\;  \begin{Vmatrix}y\\ z \end{Vmatrix}& = & b

 \Rightarr;\quad\begin{cases} Lz = b\\ L^ty = z\\ \end{cases}

\left(\begin{Vmatrix} \sqrt{2} & \quad 0 \quad \quad 0\\ &\sqrt{3} \quad 0\\ -\frac{1}{2} & -\frac{1}{\sqrt{3}} & \frac{1}{\sqrt{6}}\\ \begin{Vmatrix}z_{1}\\ z_{2}\\ z_{3}\\ \end{matrix}\right)=\left(0\right)

L \quad\;& z_{1} = 0

& \quad\normalsize ;z_{2} = \frac{5}{\sqrt{3}}

z_{3} =&\sqrt{\frac{26}{3}}

Anteprima
Vedrai una selezione di 3 pagine su 6
Esercizi fattorizzazione Calcolo numerico Pag. 1 Esercizi fattorizzazione Calcolo numerico Pag. 2
Anteprima di 3 pagg. su 6.
Scarica il documento per vederlo tutto.
Esercizi fattorizzazione Calcolo numerico Pag. 6
1 su 6
D/illustrazione/soddisfatti o rimborsati
Acquista con carta o PayPal
Scarica i documenti tutte le volte che vuoi
Dettagli
SSD
Scienze matematiche e informatiche MAT/08 Analisi numerica

I contenuti di questa pagina costituiscono rielaborazioni personali del Publisher FrAaa005. di informazioni apprese con la frequenza delle lezioni di Calcolo numerico e studio autonomo di eventuali libri di riferimento in preparazione dell'esame finale o della tesi. Non devono intendersi come materiale ufficiale dell'università Università degli Studi di Padova o del prof Bachini Elena.
Appunti correlati Invia appunti e guadagna

Domande e risposte

Hai bisogno di aiuto?
Chiedi alla community