Estratto del documento

Esercizio 1 !!!!! !!!!!

!!

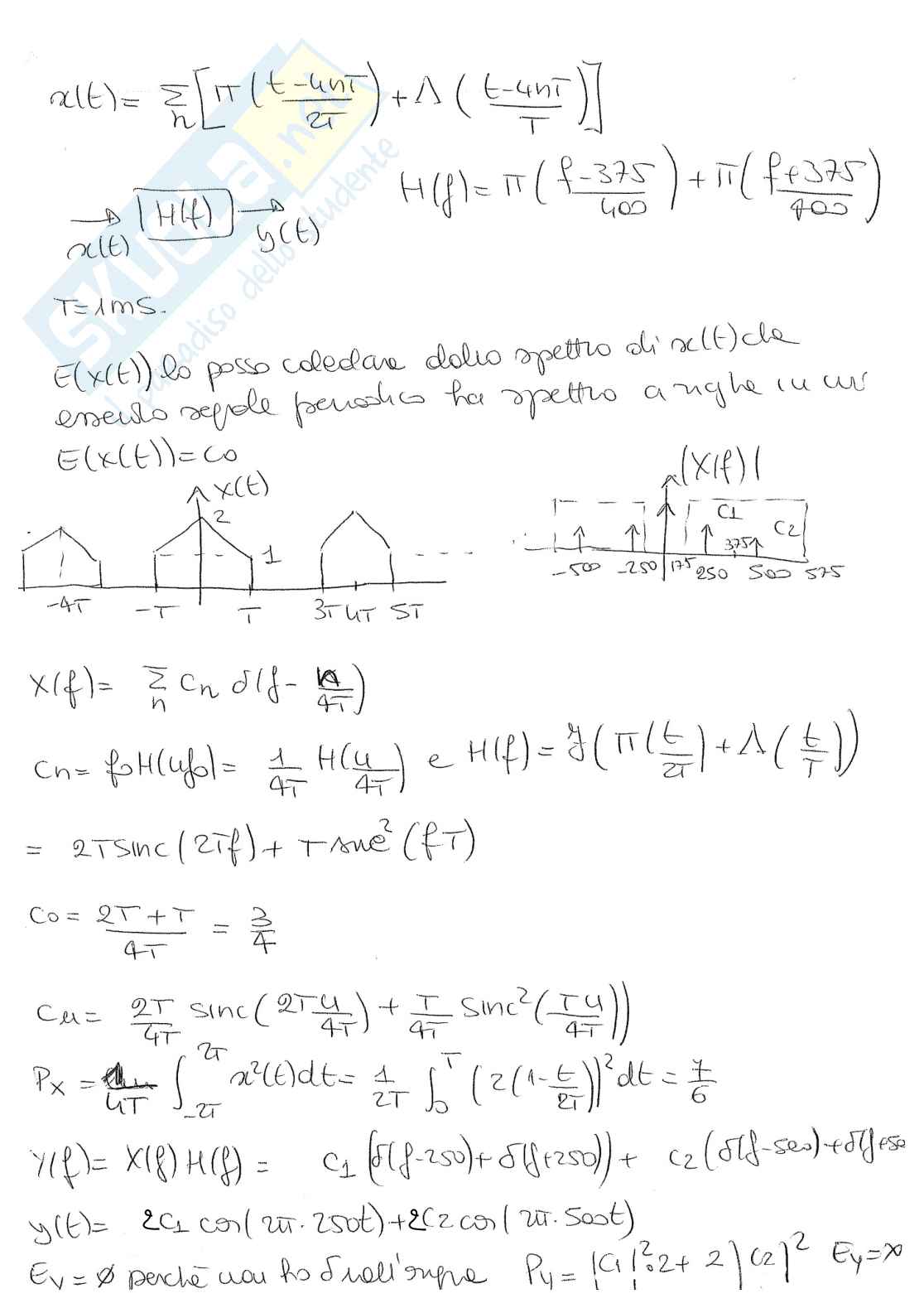
Sia dato il segnale e si supponga che questo vada in un

! ! = !"#$ + !"#$%&

!!!! !! ! !!!"# !!!"#

filtro ideale passa-banda la cui funzione di trasferimento è e sia il

! ! = !"#$ + !"#$ ! !

!"" !""

segnale in uscita. Assumendo che T=1ms, calcolare

1. il valore atteso di x(t)

2. la potenza media del segnale x(t)

3. l’espressione nel tempo della y(t)

4. il valor atteso di y(t)

5. la potenza e l’energia di y(t).

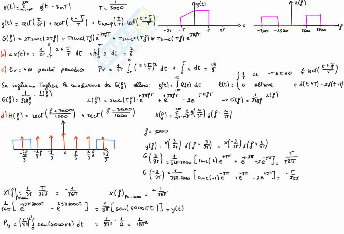
Esercizio 2 ( ) ( ) ( ) ( )

Si consideri il segnale , dove il simbolo ‘*’ indica l’operatore convoluzione e .

s (

t ) x t * x t T 2 x t A t T

= − = ⋅ Π

Calcolare:

1) Lo spettro bilatero di s (t )

2) L’espressione analitica e il grafico dello spettro delle ampiezze di s (t )

3) L’espressione analitica e il grafico dello spettro delle fasi di s (t )

4) L’espressione analitica della densità spettrale di energia di s (t )

5) L’energia di s (t )

6) Lo spettro bilatero del segnale ottenuto periodicizzando con periodo di replica pari a

w

(t ) s (t ) T 4 T

= ⋅

W

7) La media temporale, l’energia e la potenza del segnale w

(t )

soluzione

1) Lo spettro bilatero di è:

s (t ) ( )

2 2 2 j f T

S ( f ) A T sinc f T e π

= ⋅

2) L’espressione analitica e il grafico dello spettro delle ampiezze di è:

s (t )

( )

2 2 2

S ( f ) A T sinc f T

= { }

S ( f ) f T

3) L’espressione analitica e il grafico dello spettro delle fasi di è:

s (t ) π

Φ = −

:

4) L’espressione analitica della densità spettrale di energia di s (t )

2 ( )

4 4 4

DSE ( f ) S ( f ) A T sinc f T

= =

5) L’energia di si calcola dal segnale , ottenuto come antitrasformata di :

s (t ) s (t ) S ( f )

2

t T 2

⎛ ⎞ +∞ 4 3

E A T

2

E s (

t ) dt

à à

2

s (

t ) A T =

= ∫

= Λ ⎜ ⎟ S

S 3

T −

⎝ ⎠

6) Lo spettro bilatero del segnale ottenuto periodicizzando con periodo di replica pari a è:

w

(t ) s (t ) T 4 T

= ⋅

W

1 1

+∞ ( ) dove: e

W ( f ) c f n F F

∑ δ

= − = =

n W W T 4 T

n = −∞ W 2

A T n

2

1 n A T n

n ⎛ ⎞

⎛ ⎞ ⎛ ⎞

j T

π

( ) 2 j n 4

c sinc e

à

2 2 2 2 j n 4

c F S n F A T sinc T e sinc e π

π

4 T = ⋅

= ⋅ = ⋅ = ⋅ ⎜ ⎟

⎜ ⎟ ⎜ ⎟ n

n W W 4 4

4 T 4 T 4 4

⋅ ⋅ ⎝ ⎠

⎝ ⎠ ⎝ ⎠

7) La media temporale, l’energia e la potenza del segnale w

(t )

2

A T

La media temporale è: w

(

t ) c

= =

0 4

L’energia è infinita perché il segnale è periodico, e dunque di potenza.

4 3

A T

4

Anteprima
Vedrai una selezione di 7 pagine su 26
Esercizi di Teoria dei segnali  sui segnali determinati - Parte 1 Pag. 1 Esercizi di Teoria dei segnali  sui segnali determinati - Parte 1 Pag. 2
Anteprima di 7 pagg. su 26.
Scarica il documento per vederlo tutto.
Esercizi di Teoria dei segnali  sui segnali determinati - Parte 1 Pag. 6
Anteprima di 7 pagg. su 26.
Scarica il documento per vederlo tutto.
Esercizi di Teoria dei segnali  sui segnali determinati - Parte 1 Pag. 11
Anteprima di 7 pagg. su 26.
Scarica il documento per vederlo tutto.
Esercizi di Teoria dei segnali  sui segnali determinati - Parte 1 Pag. 16
Anteprima di 7 pagg. su 26.
Scarica il documento per vederlo tutto.
Esercizi di Teoria dei segnali  sui segnali determinati - Parte 1 Pag. 21
Anteprima di 7 pagg. su 26.
Scarica il documento per vederlo tutto.
Esercizi di Teoria dei segnali  sui segnali determinati - Parte 1 Pag. 26
1 su 26
D/illustrazione/soddisfatti o rimborsati
Acquista con carta o PayPal
Scarica i documenti tutte le volte che vuoi
Dettagli
SSD
Ingegneria industriale e dell'informazione ING-INF/05 Sistemi di elaborazione delle informazioni

I contenuti di questa pagina costituiscono rielaborazioni personali del Publisher Luca_HD di informazioni apprese con la frequenza delle lezioni di Teoria dei segnali e studio autonomo di eventuali libri di riferimento in preparazione dell'esame finale o della tesi. Non devono intendersi come materiale ufficiale dell'università Università degli Studi di Catania o del prof Morabito Giacomo.
Appunti correlati Invia appunti e guadagna

Domande e risposte

Hai bisogno di aiuto?
Chiedi alla community