Estratto del documento

Risolvendo il coniugato trovo piano sferiche

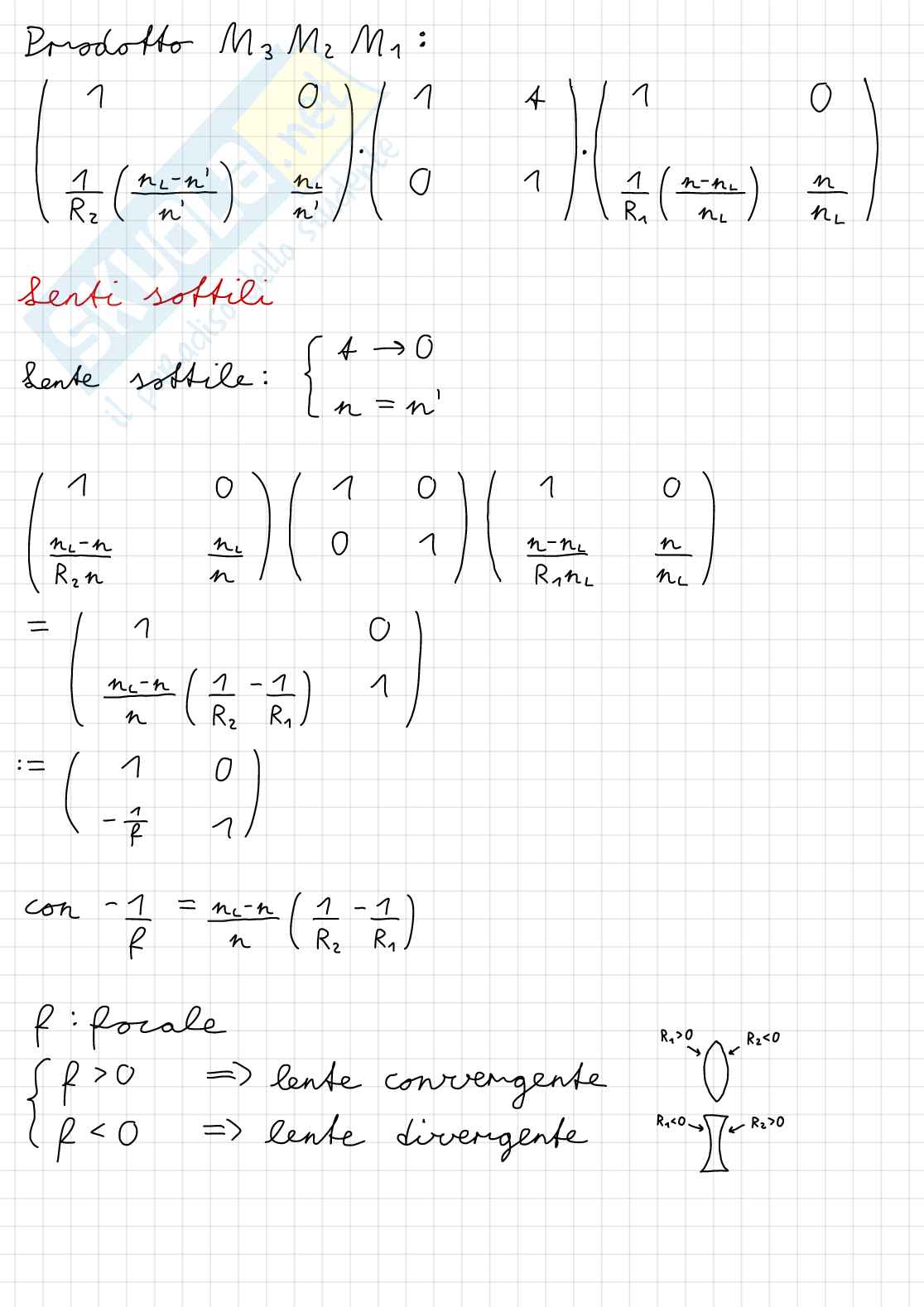
Propagazione onde descrivere sferiche anche ABCD onde le per serve "" . .. @OUTIN trasformazione RR -= = #¥. , X× fo BaoYf{ A += yo Eff=NÉC da ( d+ ¥= +× ye . . . sferica descrive BR e l'RnA + onda in ( d uscita Rn + cardinali sistema ottico ABCD i dipunti e un÷i!. : : mia lente sottile bruti cardinali :!; rinominare po .÷÷pp,: cardinale H punto Èppi' principale piano ,.÷. Ha punti Ha nodali, Impareremo trovarli ABCD con a 10111120 cardinali Relazioni nodali punti A bed e, pp! pp ,,' ' NfNo I l' l' lII 'Nn' Ne:{Fa , ottico•asse• ••• • Hiµ faS,, .In I i .fa W,,< fz'I 'vp i ,' ' 9, IN OUTÀdestra distanze INEOUT Il di 70→a Convenzione distanze INEOUT L Asinistra di app! mi,, { Ayotbxo! A =yf- -.- .-- - .-.....,• . DX, 0 ( t=→ N' yo% . ..• [Ha =Fa ' yo - ×

op Ì hanno ef. ao=I ,IIN OUTfa = Xo= - Xo BA= #- -Lo# B= - dettiAd BC= =- C( nel= CNf faso =ppov. -poco pe*- Xo )f- (f) day fape == -- -⇐ . .=pÈ E-n . d- E:= c ( Dao= txp yo" DX(✓ t=afa a> × yo. iaiia .." Nn Ne ve ¥¥ = --% -... . Xo7 vedeIN (OUTtroviamo relazionianalogamente le OUTperKemp ppa•!pp ,,' I Mfa.aiNo ' ,' I' lII 'Nn' NeFa ", otticoi asse••µ fas,| .In I i .fa W,,< fz'I 'vp i ,' ' 9,IN OUTIN OUTIpel eq = - CC :÷CCÈ Èf- 1== -,a CCle = :neno Ha Nn==vin NeHa =s = wfa fa= - 12111120EsercitazioneEsercizio 1 2am RLente 4cmLepiano =convessa , ,2=n ,a) ABCDCalcolare!no;:miµ -1 1n an == ,.):÷:. :)Ii÷a- !e.it Il:to← ÷I" ÷:%.Ia- :b) Posizione cardinalidei punti .¥F. fa fa E:: = =p D=D=Ha N =: : v=su , C( fe¥ fa I:: = =q -- eHe Ne w=É: = :sInserendo :5=p con4cm=q - ( )1= = vin con f-

  1. O= ws unf- 4= cona 4f- = - cone ÷!'| '| I| I, cosi,÷,±,,, .n" .' II llI I| ', .IN OUTi II I| pppp ,,lic) ingrandimentocalcoli posizione edidell' oggetto postoimmagine aundistanza D= 3cm dellasinistraalente .i{l/ l③① M' ;. !cui{;oggetto , , ?,li' i, I| OUTIN libere)Mai MiMa (Mann Ma propagazioni= ,Ii :D :::=p Il:* et ( )immagineImponiamo D= O : per arene4+9=0 2am=× -Ingrandimento A :E1A -1= )emimpinislitai immagine dirittaz= IMMAGINE ., ,oggi ,o:IINd) verificaredei cardinalipuntianalisil'con risultati ottenutigeometricamente i) lui( 1M ! detta? vnei= =notevolittei÷disegniamo alcuni raggi :i'÷, Immagine' i-i . §., È virtuale' i,- -- -' l- -, . cani÷i: i. .' II l' I' I| ', .IN OUTi II I| pppp ,,Immagine virtuale i ragginon sono all'che convengonoimmagine ilma,prolungamentoloroindietroall' . 13/11/20(Esercitazione )seguitoEsercizio
  1. l'cheSente arialmenisco separaspessoasinistra dall' destraacquaa a .i:punti cardinalitrovarea) ?immagineb)tetra ÷ riarsaIN OUT
  2. Mea) M NnN = , ilil :÷= ÷÷ :. )( EE= ÷ ÷I IMdei ✓ok÷=Fuochi : ¥4,15 2,15E = = == q -p - amcon(Ha PpdHa pp :e e, 2,150,85 ¥ === s-=un am-cmnodaliPunti : 0,15 1,15¥= = =✓ =w - amunfa ( ppfa Ppe ) :e e,È f-3,5 4,5cmf- {= == =-un ,a (Ia-←i.:\)IMMAGINE VIRTUALE2- . INi§|i9t=OUT-- -- -- ---- -- - l. -i l- ,I 'i - ..' i' ,": s ,, , ,,,Fa fa' , '' '' \II Il I' . ..i 1I I!| 'i 9- - ---. --- .-- .- .-,ipp pp ,,( IIIÈnn = immaginedell'4) OB = ×ingrandimento)Acx 16111120Esercitazione1EsercizioLente Rn 30lato : =spessa consx -con dx 10cmRelato : =1,5ne Le 1spessore un§:'(;!" ° convenzioniEon Resignora ,Calcolare Nasaa) 15D=li oggetto una ?ImmagineMaMasa MaMe= in=L I : ÷÷:ii..

in% :% &divide; )(= &divide;&divide;Controllo :del Mar 1 == nonfIN!m&ograve;OUT' 1) %Ma MMr 3 I.' i. !': &lArr; son' Il I\ Il::Dil=L ::;%( &Egrave; /% &divide;.= + +&divide;:&divide;Blx 5 IF immagine )virtualeFO) =&times;= - am, )diritta) IAl 0,99FFS rimpicciolita= e- unEsercizio 2 )( semisferaLente 5cmRio REspessa con -,5 1,5L = =ncon ABCDa) Matrice raggile ho parallelidei doveb) si?intersecano la lentedopo③① &larr;②, 5cmRnMe MaM Ma= sici.:D %: ::"i: nel(Mdel v1= =noCalcolo fuochi : )I (e Fi rispetto IN= =p con- a3( ( )10 misfattofa&yen; OUT= =q - am aC)"57:ii ' I'l Ii| Ii FeF, 'Rn i, I| toutiIn Pfn pp= , faparalleli finisconoitutti inraggicardinaliSenza punti : puntoinI paralleliraggi convengono unmatricela A ONsa ha =i ;:|iI:;)&times;05cm ,F, IRn ii:in ott-1n &divide;e i( &divide;1-= )&divide;&divide;- 1-1=0 Io O=-=) fa10= con&times;B 10== Bao 10Y = da=f )(O 0= =a . 17111120diffmattiraotticaTeoria della diffrazione&Egrave;{

intcri )Eli }Le èai =,Élr equazionesoddisfare Helmholtzdeve) l' di :TÈ Èlrici ti gennaioI oit ÷ )=chantant geometriail otticaO→le a # O : Ilelmholtzminerarie equazioni(devo 3yztscalari → × , diffrazione inlaFaremo teoria dellascalareregime :insituazioni la propagazionedurantecuiÈrimane polarizzatoil campolinearmente direzionenella stessa .ampiezzainteressa solo l'ciÈ (F) )
Anteprima
Vedrai una selezione di 20 pagine su 122
Appunti Digitali (apple pencil) di teoria ed esercitazioni per Ottica Fisica Pag. 1 Appunti Digitali (apple pencil) di teoria ed esercitazioni per Ottica Fisica Pag. 2
Anteprima di 20 pagg. su 122.
Scarica il documento per vederlo tutto.
Appunti Digitali (apple pencil) di teoria ed esercitazioni per Ottica Fisica Pag. 6
Anteprima di 20 pagg. su 122.
Scarica il documento per vederlo tutto.
Appunti Digitali (apple pencil) di teoria ed esercitazioni per Ottica Fisica Pag. 11
Anteprima di 20 pagg. su 122.
Scarica il documento per vederlo tutto.
Appunti Digitali (apple pencil) di teoria ed esercitazioni per Ottica Fisica Pag. 16
Anteprima di 20 pagg. su 122.
Scarica il documento per vederlo tutto.
Appunti Digitali (apple pencil) di teoria ed esercitazioni per Ottica Fisica Pag. 21
Anteprima di 20 pagg. su 122.
Scarica il documento per vederlo tutto.
Appunti Digitali (apple pencil) di teoria ed esercitazioni per Ottica Fisica Pag. 26
Anteprima di 20 pagg. su 122.
Scarica il documento per vederlo tutto.
Appunti Digitali (apple pencil) di teoria ed esercitazioni per Ottica Fisica Pag. 31
Anteprima di 20 pagg. su 122.
Scarica il documento per vederlo tutto.
Appunti Digitali (apple pencil) di teoria ed esercitazioni per Ottica Fisica Pag. 36
Anteprima di 20 pagg. su 122.
Scarica il documento per vederlo tutto.
Appunti Digitali (apple pencil) di teoria ed esercitazioni per Ottica Fisica Pag. 41
Anteprima di 20 pagg. su 122.
Scarica il documento per vederlo tutto.
Appunti Digitali (apple pencil) di teoria ed esercitazioni per Ottica Fisica Pag. 46
Anteprima di 20 pagg. su 122.
Scarica il documento per vederlo tutto.
Appunti Digitali (apple pencil) di teoria ed esercitazioni per Ottica Fisica Pag. 51
Anteprima di 20 pagg. su 122.
Scarica il documento per vederlo tutto.
Appunti Digitali (apple pencil) di teoria ed esercitazioni per Ottica Fisica Pag. 56
Anteprima di 20 pagg. su 122.
Scarica il documento per vederlo tutto.
Appunti Digitali (apple pencil) di teoria ed esercitazioni per Ottica Fisica Pag. 61
Anteprima di 20 pagg. su 122.
Scarica il documento per vederlo tutto.
Appunti Digitali (apple pencil) di teoria ed esercitazioni per Ottica Fisica Pag. 66
Anteprima di 20 pagg. su 122.
Scarica il documento per vederlo tutto.
Appunti Digitali (apple pencil) di teoria ed esercitazioni per Ottica Fisica Pag. 71
Anteprima di 20 pagg. su 122.
Scarica il documento per vederlo tutto.
Appunti Digitali (apple pencil) di teoria ed esercitazioni per Ottica Fisica Pag. 76
Anteprima di 20 pagg. su 122.
Scarica il documento per vederlo tutto.
Appunti Digitali (apple pencil) di teoria ed esercitazioni per Ottica Fisica Pag. 81
Anteprima di 20 pagg. su 122.
Scarica il documento per vederlo tutto.
Appunti Digitali (apple pencil) di teoria ed esercitazioni per Ottica Fisica Pag. 86
Anteprima di 20 pagg. su 122.
Scarica il documento per vederlo tutto.
Appunti Digitali (apple pencil) di teoria ed esercitazioni per Ottica Fisica Pag. 91
1 su 122
D/illustrazione/soddisfatti o rimborsati
Acquista con carta o PayPal
Scarica i documenti tutte le volte che vuoi
Dettagli
SSD
Scienze fisiche FIS/03 Fisica della materia

I contenuti di questa pagina costituiscono rielaborazioni personali del Publisher sergiosutti di informazioni apprese con la frequenza delle lezioni di Ottica fisica e studio autonomo di eventuali libri di riferimento in preparazione dell'esame finale o della tesi. Non devono intendersi come materiale ufficiale dell'università Politecnico di Milano o del prof De Silvestri Sandro.
Appunti correlati Invia appunti e guadagna

Domande e risposte

Hai bisogno di aiuto?
Chiedi alla community