Estratto del documento

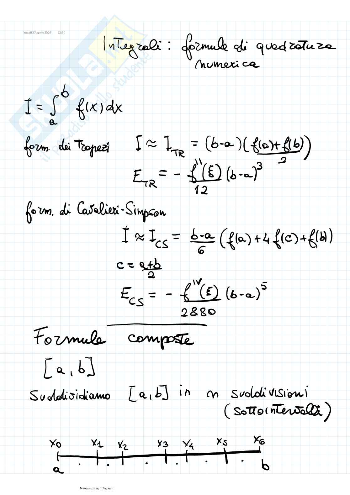
Integrali: formule di quadratura numerica

I = ∫ab f(x) dx

form. dei trapezi

∫ ≈ ITR = (b-a) (f(a)+f(b))/2

ETR = - f''(ξ)/12 (b-a)3

form. di Cavalieri-Simpson

I ≈ ICS = b-a/6 (f(a) + 4 f(c) + f(b))

c = a+b/2

ECS = - fIV(ξ)/2880 (b-a)5

Formule composte

[a, b]

Suddividiamo [a, b] in n suddivisioni (sottointervalli)

x0 x1 x2 x3 x4 x5 x6

a                                                         b

Integrali: formule di quadrature numerica

I = ∫ab f(x) dx

form. dei trapezi

I ≈ ITR = (b-a) (f(a)+f(b))/2

ETR = -f''(ξ)/12 (b-a)3

form. di Cavalieri-Simpson

I ≈ ICS = b-a/6 (f(a) + 4 f(c) + f(b))

c = a+b/2

ECS = -f⁽⁴⁾(ξ)/2880 (b-a)5

Formule composte

[a, b]

Suddividiamo [a,b] in n suddivisioni (sottointervalli)

x0 x1 x2 x3 x4 x5 x6

a b

abf(x)dx = ∫x0y1f(x)dx + ∫x1y2f(x)dx + … + ∫x5f(x)dx

Su ciascun sottointervallo applico la formula dei trapezi (oppure la form. di Cav.-Simpson)

Esempio con la form. dei trapezi

Su ciascun sottointervallo ∫xixi+1f(x)dx ≈

≈ (xi+1 - xi) (f(xi) + f(xi+1))/2

abf(x)dx ≈ ∑i=0m (xi+1 - xi)(f(xi) + f(xi+1))/2

Con Cavalieri-Simpson, invece,

abf(x)dx ≈ ∑i=0m (xi+1 - xi)/6 (f(xi) + 4 f(x*) + f(xi+1))

xi* = (xi + xi+1) / 2

Caso particolare: abbiamo n suddivisioni in parti uguali di [a, b]

L'ampiezza di ciascuna suddivisione è h = (b-a) / m

I ≈ ITR = ∑i=0m-1 (xi+1 - xi) (f(xi) + f(xi+1)) / 2

= ∑i=0m-1 h (f(xi) + f(xi+1)) / 2

= h (f(x0) / 2 + f(x1) + f(x2) + ... + f(xn-1) + f(xn) / 2)

Per l'errore, abbiamo da considerare la somma degli errori su ciascuna suddivisione

ETRcomp = ∑i=1m (-f''(ξi) / 12) h3

= - b3 / 12

  1. f" (ξi)

f è continua ed è di Classe C2 in [a;b]

Per le f" sappiamo che esiste massimo e minimo in [a;b]

∀ x ∈ [a;b] : m ≤ f" (x) ≤ M

∀ ogni ξi : m ≤ f" (ξi) ≤ M

Sommano ciascuna di queste relazioni :

m m ≤

  1. f" (ξi)
≤ m M

m ≤

  1. f" (ξi)
/ m ≤ M

Sì. Tra m e M, minimo e max delle f"

∃ ξ ∈ [a;b] (che non conosciamo) t.c.

f" (τ) =

  1. f" (ξi)

t.c.

ETACcomp = - h312mi=1 f""i)

= - h312 m ∑mi=1 f""i)

= - h312 m f""(ξ)

= - 112 ((b-a)m)3 m f""(ξ)

= - 112 ((b-a)m)3 f""(ξ)

= - 112 h2 (b-a) f""(ξ)

Per l'errore di Cav. Simpson composto

Anteprima
Vedrai una selezione di 3 pagine su 6
Integrali - Formule di quadratura numerica Pag. 1 Integrali - Formule di quadratura numerica Pag. 2
Anteprima di 3 pagg. su 6.
Scarica il documento per vederlo tutto.
Integrali - Formule di quadratura numerica Pag. 6
1 su 6
D/illustrazione/soddisfatti o rimborsati
Acquista con carta o PayPal
Scarica i documenti tutte le volte che vuoi
Dettagli
SSD
Scienze matematiche e informatiche INF/01 Informatica

I contenuti di questa pagina costituiscono rielaborazioni personali del Publisher davidd123 di informazioni apprese con la frequenza delle lezioni di Informatica e studio autonomo di eventuali libri di riferimento in preparazione dell'esame finale o della tesi. Non devono intendersi come materiale ufficiale dell'università Università degli Studi di Padova o del prof Mazzia Annamaria.
Appunti correlati Invia appunti e guadagna

Domande e risposte

Hai bisogno di aiuto?
Chiedi alla community