Anteprima
Vedrai una selezione di 4 pagine su 13
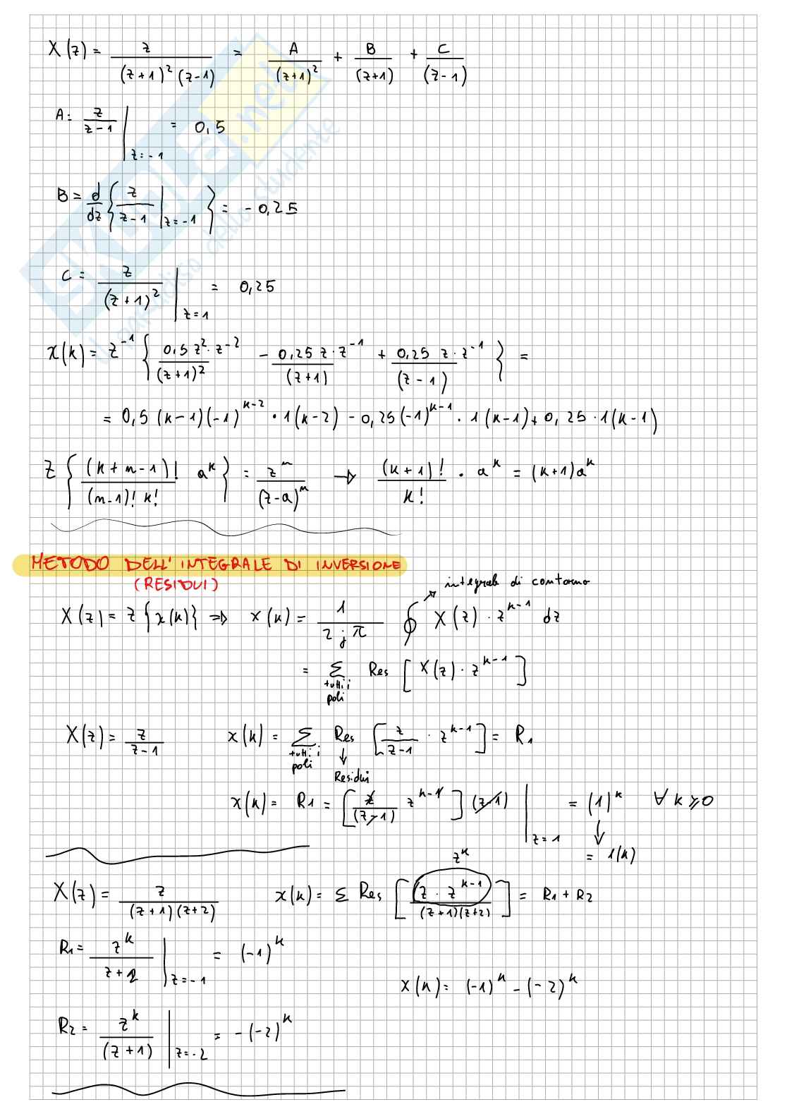
Appunti Controllo digitale - parte 1  Pag. 1 Appunti Controllo digitale - parte 1  Pag. 2
Anteprima di 4 pagg. su 13.
Scarica il documento per vederlo tutto.
Appunti Controllo digitale - parte 1  Pag. 6
Anteprima di 4 pagg. su 13.
Scarica il documento per vederlo tutto.
Appunti Controllo digitale - parte 1  Pag. 11
1 su 13
D/illustrazione/soddisfatti o rimborsati
Acquista con carta o PayPal
Scarica i documenti tutte le volte che vuoi
Dettagli
SSD
Scienze matematiche e informatiche INF/01 Informatica

I contenuti di questa pagina costituiscono rielaborazioni personali del Publisher Jjketamein di informazioni apprese con la frequenza delle lezioni di Controllo digitale e studio autonomo di eventuali libri di riferimento in preparazione dell'esame finale o della tesi. Non devono intendersi come materiale ufficiale dell'università Politecnico di Bari o del prof Lino Paolo.
Appunti correlati Invia appunti e guadagna

Domande e risposte

Hai bisogno di aiuto?
Chiedi alla community