Anteprima
Vedrai una selezione di 7 pagine su 26
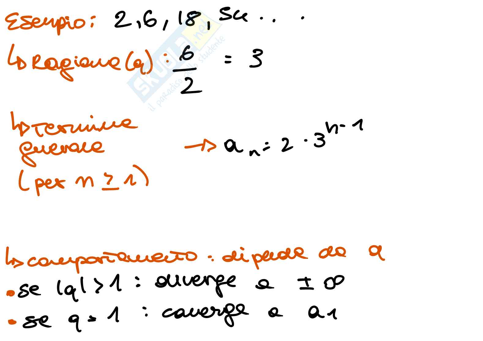
Principio di induzione e successioni  Pag. 1 Principio di induzione e successioni  Pag. 2
Anteprima di 7 pagg. su 26.
Scarica il documento per vederlo tutto.
Principio di induzione e successioni  Pag. 6
Anteprima di 7 pagg. su 26.
Scarica il documento per vederlo tutto.
Principio di induzione e successioni  Pag. 11
Anteprima di 7 pagg. su 26.
Scarica il documento per vederlo tutto.
Principio di induzione e successioni  Pag. 16
Anteprima di 7 pagg. su 26.
Scarica il documento per vederlo tutto.
Principio di induzione e successioni  Pag. 21
Anteprima di 7 pagg. su 26.
Scarica il documento per vederlo tutto.
Principio di induzione e successioni  Pag. 26
1 su 26
D/illustrazione/soddisfatti o rimborsati
Acquista con carta o PayPal
Scarica i documenti tutte le volte che vuoi
Dettagli
SSD
Scienze economiche e statistiche SECS-S/06 Metodi matematici dell'economia e delle scienze attuariali e finanziarie

I contenuti di questa pagina costituiscono rielaborazioni personali del Publisher valeentinaa.6 di informazioni apprese con la frequenza delle lezioni di Matematica per l’economia e studio autonomo di eventuali libri di riferimento in preparazione dell'esame finale o della tesi. Non devono intendersi come materiale ufficiale dell'università Università degli Studi di Bari o del prof Bufalo Michele.
Appunti correlati Invia appunti e guadagna

Domande e risposte

Hai bisogno di aiuto?
Chiedi alla community