Anteprima
Vedrai una selezione di 4 pagine su 15
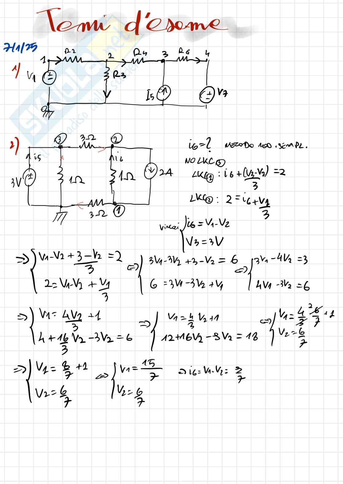
Temi esame svolti Circuiti elettrici per l'elettronica Pag. 1 Temi esame svolti Circuiti elettrici per l'elettronica Pag. 2
Anteprima di 4 pagg. su 15.
Scarica il documento per vederlo tutto.
Temi esame svolti Circuiti elettrici per l'elettronica Pag. 6
Anteprima di 4 pagg. su 15.
Scarica il documento per vederlo tutto.
Temi esame svolti Circuiti elettrici per l'elettronica Pag. 11
1 su 15
D/illustrazione/soddisfatti o rimborsati
Acquista con carta o PayPal
Scarica i documenti tutte le volte che vuoi
Dettagli
SSD
Ingegneria industriale e dell'informazione ING-INF/01 Elettronica

I contenuti di questa pagina costituiscono rielaborazioni personali del Publisher alter.verse di informazioni apprese con la frequenza delle lezioni di Circuiti elettrici per l'elettronica e studio autonomo di eventuali libri di riferimento in preparazione dell'esame finale o della tesi. Non devono intendersi come materiale ufficiale dell'università Università degli Studi di Brescia o del prof Locatelli Andrea.
Appunti correlati Invia appunti e guadagna

Domande e risposte

Hai bisogno di aiuto?
Chiedi alla community