Estratto del documento

Esame di ELETTROTECNICA del 16-09-2015

C.d.L. Ingegneria Industriale, C.d.L. Ingegneria Informatica

2) Calcolare le tensioni ab, ac, bc.

  • ab=75(√3 + j)V
  • ac=50(√3 - j)V
  • bc=-25(√3 + j5)V

1 = 200⟨30° V terna simmetrica diretta

R1 = R2 = 10 Ω, R3 = 5 Ω, R4 = 15 Ω, R = 20 Ω, X = -20 Ω

Esame di ELETTROTECNICA del 16-09-2015

C.d.L. Ingegneria Industriale, C.d.L. Ingegneria Informatica

  1. Calcolare le tensioni ab, ac, bc.

ab=75(√3 + j)V; ac = 50(√3 - j)V; bc = -25(√3 + j5)V⟩

E1 = 200∠30° V terna simmetrica diretta

  • R1 = R2 = 10 Ω
  • R3 = 5 Ω
  • R4 = 15 Ω
  • R = 20 Ω
  • X = -20 Ω

2)

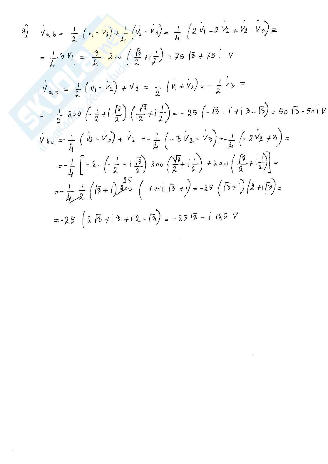
ab = 12 (V̅i - V̅2) + 14 (V̅2 - V̅3) = 14 (2 V̅i - 2 V̅2 + V̅2 - V̅3) =

= 14 3 V̅i = 34 200 (√32 + i 12) = 75 √3 + 75 i V

ac = 12 (V̅i - V̅2) + V̅2 = 12 (V̅i + V̅2) = -123 =

= -12 200 (-12 + i √32) = -25 (-√3 - i + i √3) = 50 √3 - 50 i V

bc = -14 (V̅2 - V̅3) + V̅2 = -14 (-3 V̅2 - V̅I) = -14 (-2 V̅2 + V̅I) =

= -14 [ -2(-12 - i √32) 200 (√32 + i 12) + 200 (√32 + i 12)] =

= -142 ( √3 + i) 25 200 (1 + i (√3 + 1) - 25 (√3 + i) (2 + i √3) =

= -25 (2 √3 + i 3 + i 2 - √3) = -25 √3 - i 125 V

Esame di ELETTROTECNICA del 15-3-2016

2) Calcolare la potenza dissipata sul resistore R0 del circuito in regime sinusoidale di figura 2.

V12 = 4ejπ/3 V, Ė1 = 1V, Ė1, Ė2, Ė3 t.s.d., V̇12, V̇23, V̇31 t.s.d., R0 = 5Ω, R = 2Ω, XL = 3Ω, XC = -6Ω

Fig. 2

E'1

E'2

E'3

XL

XL

XL

Vo

R

R

R

XC / 3

XC / 3

XC / 3

E'i = |V|/√3 ej(ψV12-π/6) = 2(1 + j√3/3) V

V̇₀ = V̇₁₀ - V̇₂₀

V̇₁₀ = Ẽ₁ R + Ẽ₁ jXL

1 R + 1 jXL + 3 jXL

V̇₂₀ = V̇₁₀ e j 2π

eq = 2 1

1 R + 3 jXL + 1 jXL

R₀ = 2 - j 0.63 V

XL = 18 5 - j 6 5 Ω

R₀ = RR₀ R₀+ŻXL

PR₀ = |VR₀R

PR = 879 mW

Esame di ELETTROTECNICA del 18-06-2021

C. d. L. Ingegneria Industriale

2) Calcolare la somma delle potenze reali assorbite dai resistori

  • E1, E2, E3 terna simmetrica diretta E1= 200∠0° V
  • R1=5 Ω, X1= 5 Ω, R=10 Ω, X=-10 Ω

2)

v1

i1

R1

XC

R1 = 5 Ω

R = 10 Ω

XL = 5 Ω

XC = -10 Ω

V1, V2, V3 f.s.d.

V1 = 200 V

v0 = 0

1 = V1 / (R1 + Z̅ρ)

ρ = 1 / Y̅ρ

ρ = (1 / iXL) + (1 / iXC) + (1 / R) = i / 5 + i / 10 + 1 / 10 = -i / 10 + i / 10 = 1 / 10 $

ρ = 10 / 2 (1+i) = 5 (1+i) Ω

1 = 2 * i / 5 (2+i) = (2 * i) / 5 * 5 = (2-i) A

1 = 1 / 2 * 2 * i^2 * 2*(2+i) = 200 (2+i) V·A

P feltab = 3, 1600 = 41.8 kW

Esame di ELETTROTECNICA del 19-11-2021

C.d.L. Ingegneria Industriale

2) Calcolare il fasore della corrente ĩ in modulo e fase.

R=10 Ω, X=10 Ω, Ẑ1=5 + j5 Ω, Ẑ2=30 + j30 Ω, Ṽg=600∠90° VĒ1, Ē2, Ē3 terna simmetrica diretta con Ē1=300∠0° V

Fig. 2

2)

R = 10Ω, X = 10Ω

Z1 = 5(jH)Ω, Z2 = 30(jH)Ω

Vd = 600∠12V, Vi = 300V t.s.d.

I = 10 + &frac20;⁄3(j14)

= &frac10;⁄3(5+j2)A

I = −30⁄1 + (1 − j)(14)

= 10A

X ⁄&subZ;

I&subR; = ViR &frac30;⁄Z2R + X ⁄Z2

= 300 ⁄10(jH)

= &frac10;⁄10 + &frac10;⁄10 (jH)

Id' = −I&subR;R(IX)Z2

Zq = R(IX) ⁄R + IX + Z23

= 10+(10) + 10(jH)

= 10(j14,j(1+1)⁄10(H)

I' = I (I − 1)(j11)A

= &frac3;⁄310(14) + 5(H)Ω

= ZqVx = I'⁄VfI

= &frac32;⁄2Vd

= &frac20;⁄3(H)

Prova scritta di ELETTROTECNICA del 23-02-2023

2. Nella rete elettrica di figura 2 si calcolino la tensione VAB e la potenza attiva assorbita dal resistore di resistenza R2.

R1 = R2 = R3 = 5 Ω, XL = 10 Ω, XC = −10 Ω, Z = 15(1 + i 2) Ω

Ig = 10ei π A, V˙1, V2, V3 t.s.d., V1 = 100ei 3 π V.

2) Calcolare VAD e PR2

R1 = R2 = R3 = R

R = 5Ω, Z = 15 (1+j2)Ω

XL = XL = 10Ω, XC = -10Ω

PR2 ? VAD ?

V1, V2, V3, terna simmetrica diretta V = 100 ej π / 2 V IΦ = 10

VAD = VAO - VΦ0

VΦ0 = Vs (1 - α2 + α + α2 - α2) = 2 V1

VAO' = α2 V1 / (R + Z/3)

VAD'' = 0

V12 = 2/√3 ej π/6 V1 = 2/√3 ej π/6 100 V

VAO' = VAO' + VAO''

ΑΡΑ = α2 V1 [ 5(1+ ι2)/β +5(1+ ι2) + 2 ] = 100 [ 1+ ι2/2 (1+ ι1) + 2 ] =

= 100 [ 1/4 (1+ ι2)(1- ι) + 2 ] = 100 [ 1/4 (1- ι + ( ι2 + 2) + 2 ) =

= 100 ( 3/4 + 1/4 + 2 ) = 25 (11+ ι) V

VCA = VCP - V̇ΑΡΑ = V2 - V̇ΒΡΙ - V̇ΑΡΑ = α2 V1 + 2α2 V1 - 25 (11+ ι) =

= 300 - 275 - 125 = 25 (1- ι) V

Γ = 1/2 1/5 | 25 (1- ι)2 | + 25 W

VCA = V2 - V̇ΑΡΑ = 100 [ 1 - 5 (1+ ι2)/5 + 5(1+ ι2) ] =

= 100 2 + ι2 - ι1 ι2/2 (1+ ι) = 100/4 (1- ι ) = 25 (1- ι) V

ΑXL = - 1/2 β1 | V12 |2 = - 1/2 ( - 1/10 ) 3 . 105 = 1,5 10 ΚVAR

C.d.L. in Ingegneria Industriale

Prova scritta di ELETTROTECNICA del 22-02-2023.

  1. Nella rete elettrica di figura 2 si calcolino la tensione VAB e la potenza attiva assorbita dal resistore di resistenza R2.

    R1 = R2 = R3 = 5 Ω, XL = 10 Ω, XC = –10 Ω, ZZ = 15(1 + i 2) Ω

    Ig = 10 ei π/2 A, V1, V2, V3 t.s.d., V1 = 100 ei 2/3 π V.

Figura 2.

2)

R1 = R2 = R3 = RR = 5Ω, = 15 (1+j2) ΩXL = X = 10Ω, XC = -10Ω = 2

Vi, V2, V3 terna simmetrica diretta VI = 100 ej VI = 100 A

VAD = VA - VD

VI! XL + 2 XC + + XL

VBD = (-1)(2 + + XL)

(1 – 2 + + XL) = 2XL

VAO = 2VI!

V12 = √3β e I

(VI) = √3β e

Anteprima
Vedrai una selezione di 5 pagine su 18
Esercizi svolti di Elettrotecnica sui sistemi trifase Pag. 1 Esercizi svolti di Elettrotecnica sui sistemi trifase Pag. 2
Anteprima di 5 pagg. su 18.
Scarica il documento per vederlo tutto.
Esercizi svolti di Elettrotecnica sui sistemi trifase Pag. 6
Anteprima di 5 pagg. su 18.
Scarica il documento per vederlo tutto.
Esercizi svolti di Elettrotecnica sui sistemi trifase Pag. 11
Anteprima di 5 pagg. su 18.
Scarica il documento per vederlo tutto.
Esercizi svolti di Elettrotecnica sui sistemi trifase Pag. 16
1 su 18
D/illustrazione/soddisfatti o rimborsati
Acquista con carta o PayPal
Scarica i documenti tutte le volte che vuoi
Dettagli
SSD
Ingegneria industriale e dell'informazione ING-IND/31 Elettrotecnica

I contenuti di questa pagina costituiscono rielaborazioni personali del Publisher PataScotty di informazioni apprese con la frequenza delle lezioni di Elettrotecnica e studio autonomo di eventuali libri di riferimento in preparazione dell'esame finale o della tesi. Non devono intendersi come materiale ufficiale dell'università Università degli Studi di Catania o del prof Aiello Giovanni.
Appunti correlati Invia appunti e guadagna

Domande e risposte

Hai bisogno di aiuto?
Chiedi alla community