Estratto del documento

AISI 1020

Le sigle "1020" indica che siamo in presenza di un acciaio al carbonio e che la concentrazione iniziale del carbonio nel ferro era 0,20.

  • Dati:
  • C0 = 0,2 % wt
  • T = 927 °C
  • x = 0,5 mm
  • Cx = 0,40 % wt
  • CS = 0,90 % wt
  • DC-Fe = 1,28∙10-10 m2/s

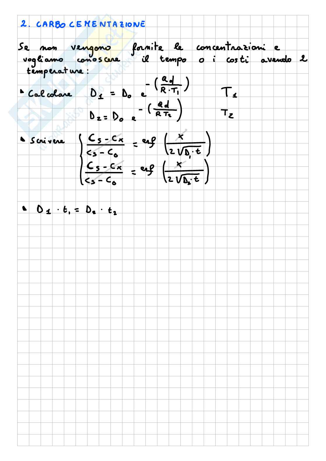
Calcolare il tempo in min per aumentare il contenuto di carbonio allo 0,40 % ad una profondità di 0,5 mm di distanza dalla superficie.

Se non avessimo avuto 1,28∙10-10, possiamo calcolarla utilizzando la tabella e sapendo che D è Fey - C, conosciando la T trovando D0, Q (KT), si applica legge di Arrhenius e si trova logf.

Soluzione

CS - Cx / CS - C0 = erf(x / 2 √DC-Fe t) =

AISI 1020

Le sigle "1020" indica che siamo in presenza di un acciaio al carbonio e che la concentrazione iniziale del carbonio nel forno era 0,20.

  • Co = 0,2 % wt
  • T = 927 °C
  • x = 0,5 mm
  • Cx = 0,40 % wt
  • Cs = 0,90 % wt
  • Do-Fe-cfe = 1,28·10-11 m2/s

Calcolare il tempo in min per aumentare il contenuto di carbonio allo 0,40 % ad una profondità di 0,5 mm di distanza dalla superficie.

Se non avessimo avuto 1,28·10-11, possiamo calcolarla utilizzando la tabella e sapendo che D è Fey-C, conoscendo la T, trovando Do e Q ( KT), si applica legge di Arrhenius e si trova logf.

Soluzione

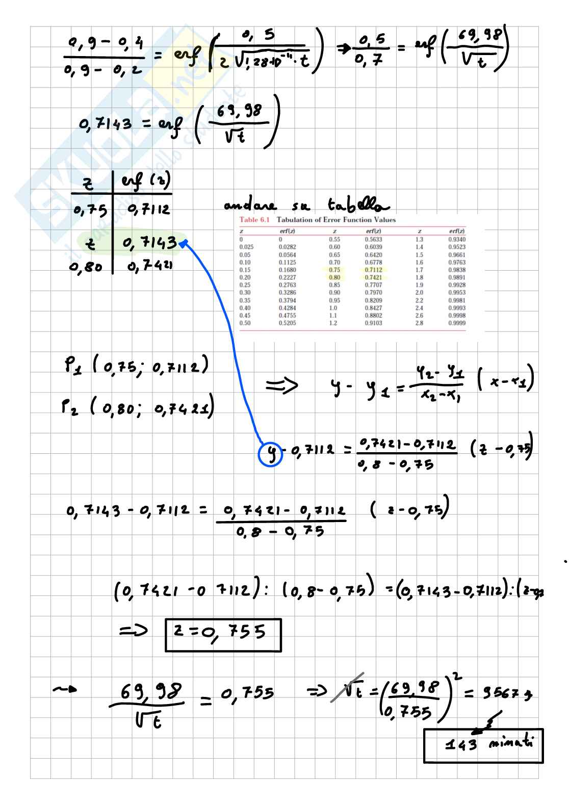
(Cs - Cx) / (Cs - Co) = erf(x/2√Dot)

2,9 - 0,4 0,9 - 0,2 = erf   ( 0,5 2 √1,28×10-4×t )

⟹  0,5 = erf ( 69,98 √t)

0,7143 = erf ( 69,98 √t )

pz (0,75 ; 0,7112)

pz2 (0,80 ; 0,7421)

⟹   y - y =   y2 - y1 x2 - x1 (x - x1)

y 0,7112 =0,7421 - 0,7112 0,8 - 0,75  (z - 0,75)

0,7143 - 0,7112 =   0,7421 - 0,7112 0,8 - 0,75  (z - 0,75)

(0,7421 - 0,7112) : (0,8 - 0,75) = (0,7143 - 0,7112) : (z - 0,75)

⟹ z = 0,755

█████ = 0,755 ⟹ √t = (69,98) (n0,755) 2 = 856x

143 minuti

Esercizio 2

Abbiamo un acciaio che deve operare ad una temperatura di 920 °C. L'acciaio ha un contenuto in carbonio iniziale pari allo 0,40% in peso. Per arrivare ad una temperatura di 920°C impiega 2h. Quale profondità x del pezzo avrà una concentrazione di carbonio pari a 0,36%.

Dati:

  • T = 920 °C
  • C0 = 0,4 %
  • t = 2 h
  • Cx = 0,36 %
  • x = ?

Essendo in aria ed essendo Cx < C0 ⇒ allora Cs ≈ 0

D (920 °C) = 1,617·10-12 m2/s

Soluzione

Cs - Cx    =    erf       (       x       )        =    0 - 0,36

Cs - C0          2 √ D0-Fe t        0 - 0,40

0,9 = erf (z)

z = 1,165

zerf(z)1,10,8802z0,91,20,9103

P1(1,1 ; 0,8802)

P2(1,2 ; 0,9103)

y - y1 = y2 - y1(x - x1)

     x2 - x1

0,9 - 0,8802 = 0,9103 - 0,8802(z - x1)

          0,2

 0,0198 = 0,1505 (z - x1) => z = 1,165

Quindi

         x

1,165 = √    ⇒ x = 5,46 · 10-4 m

  2  -12

  

Anteprima
Vedrai una selezione di 5 pagine su 20
Esercizi su Carbocementazione Pag. 1 Esercizi su Carbocementazione Pag. 2
Anteprima di 5 pagg. su 20.
Scarica il documento per vederlo tutto.
Esercizi su Carbocementazione Pag. 6
Anteprima di 5 pagg. su 20.
Scarica il documento per vederlo tutto.
Esercizi su Carbocementazione Pag. 11
Anteprima di 5 pagg. su 20.
Scarica il documento per vederlo tutto.
Esercizi su Carbocementazione Pag. 16
1 su 20
D/illustrazione/soddisfatti o rimborsati
Acquista con carta o PayPal
Scarica i documenti tutte le volte che vuoi
Dettagli
SSD
Ingegneria industriale e dell'informazione ING-IND/22 Scienza e tecnologia dei materiali

I contenuti di questa pagina costituiscono rielaborazioni personali del Publisher MAriomit13 di informazioni apprese con la frequenza delle lezioni di scienze dei materiali e studio autonomo di eventuali libri di riferimento in preparazione dell'esame finale o della tesi. Non devono intendersi come materiale ufficiale dell'università Università della Calabria o del prof Candamano Sebastiano.
Appunti correlati Invia appunti e guadagna

Domande e risposte

Hai bisogno di aiuto?
Chiedi alla community