Estratto del documento

ESI 5210

A It cosa

Me A

a A CA

10400

RR 101

29 F Ietf

La

4 Hot

0,14

MI B C 100µF

sii aestanadis

A Pa Qe

i È Vasta

Van 15,7

j

ke lato

1485

GIA y

PÙ Xuottterrtritare o

PEAR d Anna

9 Te

Meo 302 2,441

Ytottletra A

Ratti t.nl

Prai 10 150,74 n

Xetti Van

Qe 480,1

Notte

Rit Xettret

Variare 107,91 71,79

r

Varietà 129,6

III 33,68 0,587m

acto

t 129,652

Van Wt 0,587

cos

Tra

R 100 1013,02

A

Vac

Va 2,441

69,8 U

26,68

Tanti 264J

698

Aa VA

a vadis

314

me

Es a 52200

Alti CANE

127 127 20000

se

e

alti la Catti cascata

3L 52200

gr R 2004450

Ez

M op 0,2h

4 REISS La

G

51

Qu

Pea Pra Re

Pea C 500µF

faje 6,37

j

I

A

II Xe

i certi.gg 8 xu

e ha

San GIÙ

E E

tot

Ratta o

13,78

16.06

Vaga 1 Ittf

Rita

Trovati E Vad

Natante 3,2611

0,72

Zante

En

VAB Zatta

Ai État VA

3,265 164 6521

0,72

200 144 Cui

Per

ta

Trovo II 1,27J E

1.59

TE

Ta

Van Zatta a

Ital test

Ra 5

Pare Cui

20,76

5

trovo 28

ti

v5 5 2,01

Tittì CA

tutta

l FI

Qui 62,8 585,86 VAR

Erto

Aere 45,25 7608,11J VA

45,25

Per n

3

ES FIOCO OH

Celti CU

Il CUI

100

E

GIA

Di Elocoscotte

Catti v

fra

e 100

Ei U

Re 0,3h

L

Reredos

ti 400µF

C

Catti inetti

la

Qe

Per

Pet

A

Il al

v1 Jul 94,2g

e A

z

e Lg

tutte 7,96g

Xe

HI E

Er Eater

trattato CD

11,95g

6,38

Vade zhtxetf.tt

Trovata Zu'HITE

E

Van Enter Van A

Ti 1,75J

1,06

Zinta

À TI

È va

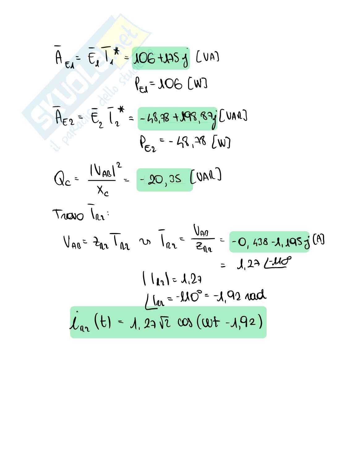
1067175J

en NI

Pei 106

TI

Er E Van

48,78 198,87J

48,78

Per n

var

Y

Qc 20,35

Tra

trovo YE

Tre la

Tra

Vari 1,195J

Zii 0

a 438

1,27410

ln 1.27 1,92rad

1100

in t ut 1,92

1,2752 cos

Anteprima
Vedrai una selezione di 3 pagine su 6
Esercitazione circuiti elettrici Pag. 1 Esercitazione circuiti elettrici Pag. 2
Anteprima di 3 pagg. su 6.
Scarica il documento per vederlo tutto.
Esercitazione circuiti elettrici Pag. 6
1 su 6
D/illustrazione/soddisfatti o rimborsati
Acquista con carta o PayPal
Scarica i documenti tutte le volte che vuoi
Dettagli
SSD
Ingegneria industriale e dell'informazione ING-IND/31 Elettrotecnica

I contenuti di questa pagina costituiscono rielaborazioni personali del Publisher pinguu1 di informazioni apprese con la frequenza delle lezioni di Elettrotecnica e macchine elettriche e studio autonomo di eventuali libri di riferimento in preparazione dell'esame finale o della tesi. Non devono intendersi come materiale ufficiale dell'università Università degli Studi di Modena e Reggio Emilia o del prof Bianchini Claudio.
Appunti correlati Invia appunti e guadagna

Domande e risposte

Hai bisogno di aiuto?
Chiedi alla community