Anteprima
Vedrai una selezione di 4 pagine su 14
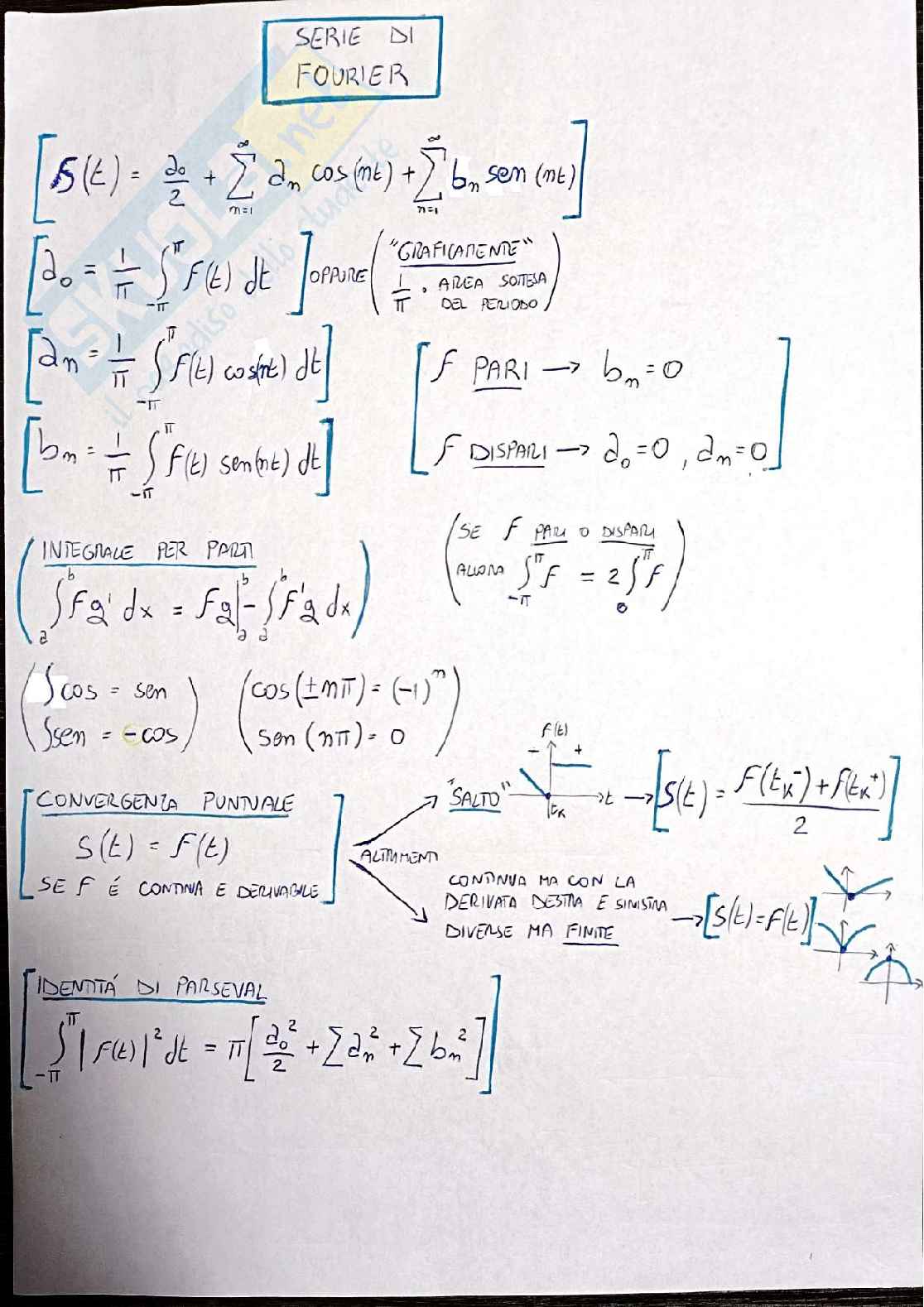
Formulario completo + domande di teoria più quotate di Metodi matematici Pag. 1 Formulario completo + domande di teoria più quotate di Metodi matematici Pag. 2
Anteprima di 4 pagg. su 14.
Scarica il documento per vederlo tutto.
Formulario completo + domande di teoria più quotate di Metodi matematici Pag. 6
Anteprima di 4 pagg. su 14.
Scarica il documento per vederlo tutto.
Formulario completo + domande di teoria più quotate di Metodi matematici Pag. 11
1 su 14
D/illustrazione/soddisfatti o rimborsati
Acquista con carta o PayPal
Scarica i documenti tutte le volte che vuoi
Dettagli
SSD
Scienze economiche e statistiche SECS-S/06 Metodi matematici dell'economia e delle scienze attuariali e finanziarie

I contenuti di questa pagina costituiscono rielaborazioni personali del Publisher LucaXruggiero di informazioni apprese con la frequenza delle lezioni di Metodi matematici e studio autonomo di eventuali libri di riferimento in preparazione dell'esame finale o della tesi. Non devono intendersi come materiale ufficiale dell'università Università degli Studi di Pavia o del prof Giannazza Ugo.
Appunti correlati Invia appunti e guadagna

Domande e risposte

Hai bisogno di aiuto?
Chiedi alla community