Estratto del documento

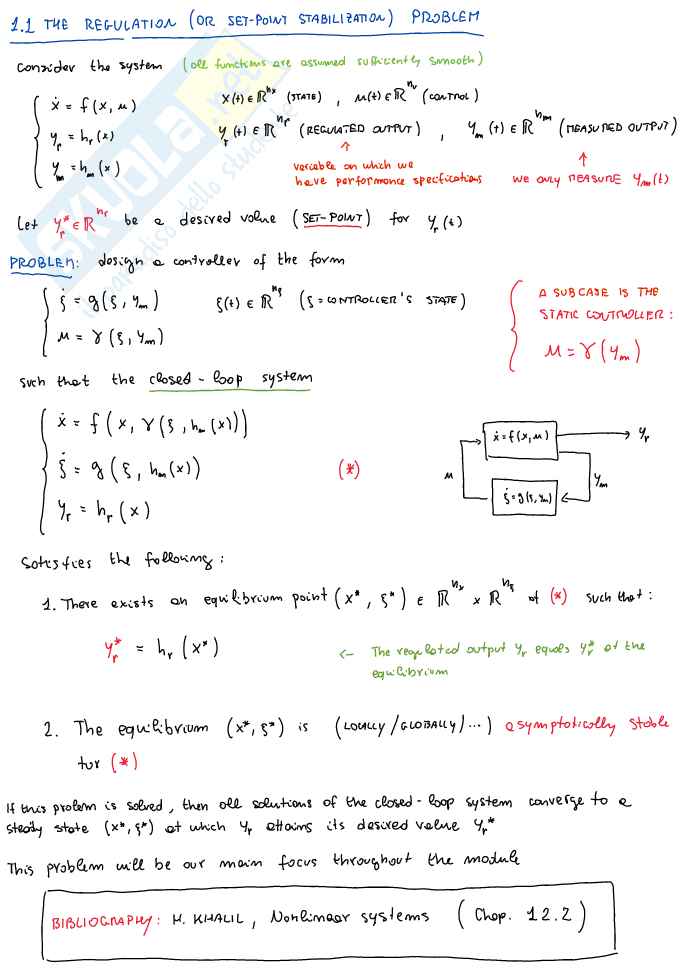
1.1 The Regulation (or Set-point Stabilization) Problem

Consider the system (all functions are assumed sufficiently smooth)

\[\begin{align*}\dot{x} & = f(x, u) \\x(t) & \in \mathbb{R}^{n_{x}} \, (\text{state}), \, u(t) \in \mathbb{R}^{n_{u}} \, (\text{control}) \\y_{r} & = h_{r}(x) \\y_{r}(t) & \in \mathbb{R}^{n_{r}} \, (\text{regulated output}), \\y_{m} & = h_{m}(x) \\y_{m} & \in \mathbb{R}^{n_{m}} \, (\text{measured output})\end{align*}\]

Let \( y_{r}^{*} \in \mathbb{R}^{n_{r}} \) be a desired value (set-point) for \( y_{r}(t) \)

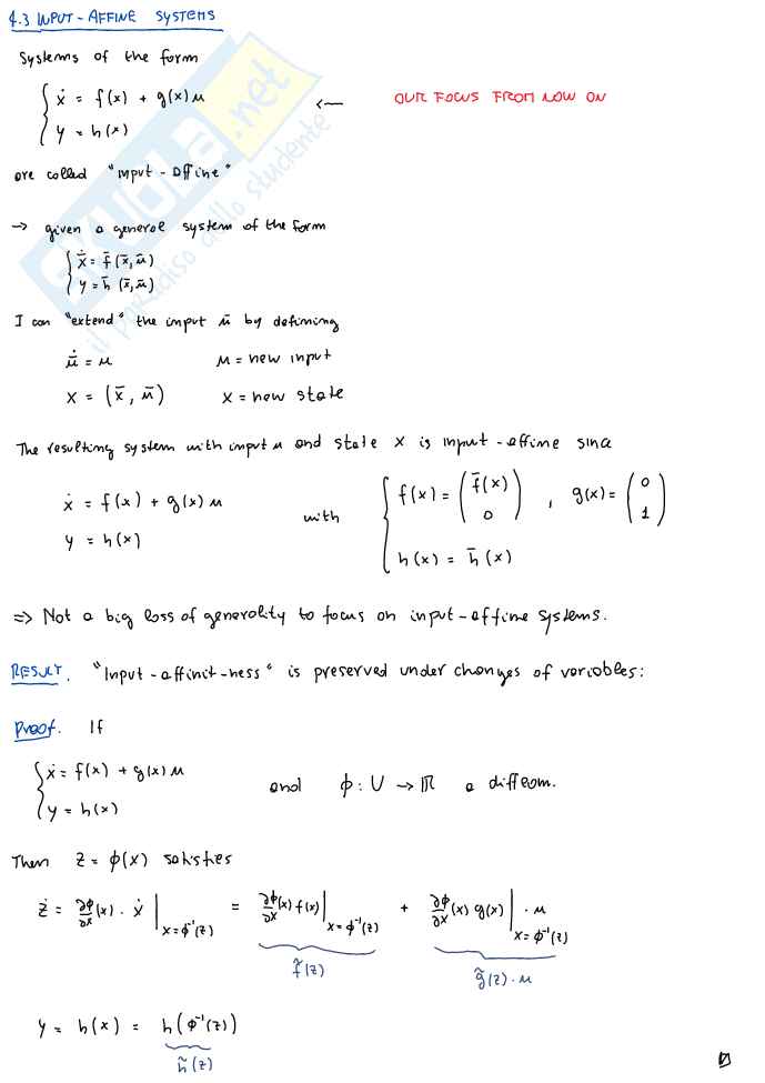
Problem: Design a controller of the form

\[\begin{align*}\dot{\xi} & = g(\xi, y_{m}) \\\xi(t) & \in \mathbb{R}^{n_{s}} (\xi - \text{controller's state}) \\u & = \gamma(\xi, y_{m})\end{align*}\]

such that the closed-loop system

\[\begin{align*}\dot{x} & = f(x, \gamma(\xi, h_{m}(x))) \\\dot{\xi} & = g(\xi, h_{m}(x)) \\y_{r} & = h_{r}(x)\end{align*}\tag{*}\]

satisfies the following:

  1. There exists an equilibrium point \((x^{*}, \xi^{*}) \in \mathbb{R}^{n_{x}} \times \mathbb{R}^{n_{s}}\) of \((*)\) such that:

\[y_{r}^{*} = h_{r}(x^{*})\]

The regulated output \( y_{r} \) equals \( y_{r}^{*} \) at the equilibrium

  1. The equilibrium \((x^{*}, \xi^{*}) \text{ is (locally/globally/...) asymptotically stable for (*)}

If this problem is solved, then all solutions of the closed-loop system converge to a steady state \((x^{*}, \xi^{*})\) at which \( y_{r} \) attains its desired value \( y_{r}^{*} \)

This problem will be our main focus throughout the module.

Bibliography: H. Khalil, Nonlinear Systems (Chap. 12.2)

1.1 The Regulation (or Set-Point Stabilization) Problem

Consider the system (all functions are assumed sufficiently smooth)

  • \(\dot{x} = f(x, u)\)

  • \(y_r = h_r(x)\)

  • \(y_m = h_m(x)\)

\(x(t) \in \mathbb{R}^{n_x} \, (state)\),\(u(t) \in \mathbb{R}^{n_u} \, (control)\)

\(y_r(t) \in \mathbb{R}^{n_y} \, (regulated \, output)\), \(y_m(t) \in \mathbb{R}^{n_m} \, (measured \, output)\)

variable on which we have performance specifications

we only measure \(y_m(t)\)

Let \(y_r^* \in \mathbb{R}^{n_y}\) be a desired value (set-point) for \(y_r(t)\)

Problem: design a controller of the form

  • \(\dot{\xi} = g(\xi, y_m)\)

  • \(u = \gamma (\xi, y_m)\)

\(\xi(t) \in \mathbb{R}^{n_\xi}\) \( (\xi - controller's \, state)\)

A subcase is the static controller:

\(u = \gamma \left( y_m \right)\)

such that the closed-loop system

  • \(\dot{x} = f \left( x, \gamma \left( \xi, h_m(x) \right) \right)\)

  • \(\dot{\xi} = g\left( \xi, h_m(x) \right)\)

  • \(y_r = h_r(x)\)

\((\ast)\)

satisfies the following:

  • There exists an equilibrium point \((x^*, \xi^*) \in \mathbb{R}^{n_x} \times \mathbb{R}^{n_\xi}\) of \((\ast)\) such that:

    • \(y_r^* = h_r \left(x^*\right)\)

Anteprima
Vedrai una selezione di 20 pagine su 95
System theory and avanced control - Appunti di Controllo nonlineare: regolazione (Set-Point Stabilization), equazioni di Solvibilità, linearizzazione, Gain Scheduling e controllo integrale Pag. 1 System theory and avanced control - Appunti di Controllo nonlineare: regolazione (Set-Point Stabilization), equazioni di Solvibilità, linearizzazione, Gain Scheduling e controllo integrale Pag. 2
Anteprima di 20 pagg. su 95.
Scarica il documento per vederlo tutto.
System theory and avanced control - Appunti di Controllo nonlineare: regolazione (Set-Point Stabilization), equazioni di Solvibilità, linearizzazione, Gain Scheduling e controllo integrale Pag. 6
Anteprima di 20 pagg. su 95.
Scarica il documento per vederlo tutto.
System theory and avanced control - Appunti di Controllo nonlineare: regolazione (Set-Point Stabilization), equazioni di Solvibilità, linearizzazione, Gain Scheduling e controllo integrale Pag. 11
Anteprima di 20 pagg. su 95.
Scarica il documento per vederlo tutto.
System theory and avanced control - Appunti di Controllo nonlineare: regolazione (Set-Point Stabilization), equazioni di Solvibilità, linearizzazione, Gain Scheduling e controllo integrale Pag. 16
Anteprima di 20 pagg. su 95.
Scarica il documento per vederlo tutto.
System theory and avanced control - Appunti di Controllo nonlineare: regolazione (Set-Point Stabilization), equazioni di Solvibilità, linearizzazione, Gain Scheduling e controllo integrale Pag. 21
Anteprima di 20 pagg. su 95.
Scarica il documento per vederlo tutto.
System theory and avanced control - Appunti di Controllo nonlineare: regolazione (Set-Point Stabilization), equazioni di Solvibilità, linearizzazione, Gain Scheduling e controllo integrale Pag. 26
Anteprima di 20 pagg. su 95.
Scarica il documento per vederlo tutto.
System theory and avanced control - Appunti di Controllo nonlineare: regolazione (Set-Point Stabilization), equazioni di Solvibilità, linearizzazione, Gain Scheduling e controllo integrale Pag. 31
Anteprima di 20 pagg. su 95.
Scarica il documento per vederlo tutto.
System theory and avanced control - Appunti di Controllo nonlineare: regolazione (Set-Point Stabilization), equazioni di Solvibilità, linearizzazione, Gain Scheduling e controllo integrale Pag. 36
Anteprima di 20 pagg. su 95.
Scarica il documento per vederlo tutto.
System theory and avanced control - Appunti di Controllo nonlineare: regolazione (Set-Point Stabilization), equazioni di Solvibilità, linearizzazione, Gain Scheduling e controllo integrale Pag. 41
Anteprima di 20 pagg. su 95.
Scarica il documento per vederlo tutto.
System theory and avanced control - Appunti di Controllo nonlineare: regolazione (Set-Point Stabilization), equazioni di Solvibilità, linearizzazione, Gain Scheduling e controllo integrale Pag. 46
Anteprima di 20 pagg. su 95.
Scarica il documento per vederlo tutto.
System theory and avanced control - Appunti di Controllo nonlineare: regolazione (Set-Point Stabilization), equazioni di Solvibilità, linearizzazione, Gain Scheduling e controllo integrale Pag. 51
Anteprima di 20 pagg. su 95.
Scarica il documento per vederlo tutto.
System theory and avanced control - Appunti di Controllo nonlineare: regolazione (Set-Point Stabilization), equazioni di Solvibilità, linearizzazione, Gain Scheduling e controllo integrale Pag. 56
Anteprima di 20 pagg. su 95.
Scarica il documento per vederlo tutto.
System theory and avanced control - Appunti di Controllo nonlineare: regolazione (Set-Point Stabilization), equazioni di Solvibilità, linearizzazione, Gain Scheduling e controllo integrale Pag. 61
Anteprima di 20 pagg. su 95.
Scarica il documento per vederlo tutto.
System theory and avanced control - Appunti di Controllo nonlineare: regolazione (Set-Point Stabilization), equazioni di Solvibilità, linearizzazione, Gain Scheduling e controllo integrale Pag. 66
Anteprima di 20 pagg. su 95.
Scarica il documento per vederlo tutto.
System theory and avanced control - Appunti di Controllo nonlineare: regolazione (Set-Point Stabilization), equazioni di Solvibilità, linearizzazione, Gain Scheduling e controllo integrale Pag. 71
Anteprima di 20 pagg. su 95.
Scarica il documento per vederlo tutto.
System theory and avanced control - Appunti di Controllo nonlineare: regolazione (Set-Point Stabilization), equazioni di Solvibilità, linearizzazione, Gain Scheduling e controllo integrale Pag. 76
Anteprima di 20 pagg. su 95.
Scarica il documento per vederlo tutto.
System theory and avanced control - Appunti di Controllo nonlineare: regolazione (Set-Point Stabilization), equazioni di Solvibilità, linearizzazione, Gain Scheduling e controllo integrale Pag. 81
Anteprima di 20 pagg. su 95.
Scarica il documento per vederlo tutto.
System theory and avanced control - Appunti di Controllo nonlineare: regolazione (Set-Point Stabilization), equazioni di Solvibilità, linearizzazione, Gain Scheduling e controllo integrale Pag. 86
Anteprima di 20 pagg. su 95.
Scarica il documento per vederlo tutto.
System theory and avanced control - Appunti di Controllo nonlineare: regolazione (Set-Point Stabilization), equazioni di Solvibilità, linearizzazione, Gain Scheduling e controllo integrale Pag. 91
1 su 95
D/illustrazione/soddisfatti o rimborsati
Acquista con carta o PayPal
Scarica i documenti tutte le volte che vuoi
Dettagli
SSD
Ingegneria industriale e dell'informazione ING-INF/05 Sistemi di elaborazione delle informazioni

I contenuti di questa pagina costituiscono rielaborazioni personali del Publisher NoteNinja di informazioni apprese con la frequenza delle lezioni di System theory and advaced control e studio autonomo di eventuali libri di riferimento in preparazione dell'esame finale o della tesi. Non devono intendersi come materiale ufficiale dell'università Università degli Studi di Bologna o del prof Gradoni Lorenzo.
Appunti correlati Invia appunti e guadagna

Domande e risposte

Hai bisogno di aiuto?
Chiedi alla community