Equazioni esponenziali e logaritmiche: 1/3 log (9x+8-x^3 )=log (2-x)
Validato da
Daniele Grassucci
1 min
Esperto
Vota
Contenuto verificato e approvato dal Team di Esperti di Skuola.net
Processo di Validazione
Ogni contenuto pubblicato su Skuola.net è sottoposto a un processo di validazione in tre fasi, per garantirne originalità, accuratezza e qualità:
- Anti-plagio - verifica automatica dell'originalità tramite software
- Rilevamento AI – Verifichiamo che i testi non siano generati da intelligenze artificiali utilizzando appositi sistemi di rilevamento.
- Revisione del Team di Esperti – approvazione finale da un professionista della materia
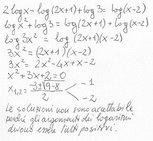
1/3 log (9x+8-x^3 )=log (2-x) log (9x+8-x^3 )= log((2-x)^3) 9x+8-x^3=8-x^3-12x+6x^2 -12x+6x^2-9x=0 -4x+2x^2-3x=0 x(2x-7)=0 x=0 ?x=7/2 x=7/2 non accettabile x=0
[math]1/3 \\log (9x+8-x^3 )=\\log (2-x)[/math]
[math]\\log (9x+8-x^3 )=\\log((2-x)^3)[/math]
[math]9x+8-x^3=8-x^3-12x+6x^2[/math]
[math]-12x+6x^2-9x=0[/math]
[math]-4x+2x^2-3x=0[/math]
[math]x(2x-7)=0[/math]
[math]x=0 ?x=7/2[/math]
[math]x=7/2[/math]
non accettabile
[math]x=0[/math]
Appunti correlati
-
Equazioni esponenziali e logaritmiche: log(sqrt(3*x^(1/2)))-log(sqrt((9x)^(1/3)))=0
-
Equazioni esponenziali e logaritmiche: [math] {2}\cdot \log{{x}}- \log{{\left({2}{x}+{1}\right)}}+ \log{{3}}= \log{{\left({x}-{2}\right)}} [/math]
-
Equazioni esponenziali e logaritmiche: [math] \frac{6}{{{\left( \log{{x}}\right)}^{2}-{1}}}+\frac{3}{{ \log{{x}}+{1}}}=\frac{{ \log{{x}}+{1}}}{{ \log{{x}}-{1}}} [/math]
-
Equazioni esponenziali e logaritmiche: 2logx=3+log(x/(10))